Lý thuyết Phương trình chứa ẩn ở mẫu lớp 8 (hay, chi tiết)
Bài viết Lý thuyết Phương trình chứa ẩn ở mẫu lớp 8 hay, chi tiết giúp bạn nắm vững kiến thức trọng tâm Lý thuyết Phương trình chứa ẩn ở mẫu.
Lý thuyết Phương trình chứa ẩn ở mẫu
(199k) Xem Khóa học Toán 8 KNTTXem Khóa học Toán 8 CTSTXem Khóa học Toán 8 CD
Bài giảng: Bài 5: Phương trình chứa ẩn ở mẫu - Cô Vương Thị Hạnh (Giáo viên VietJack)
A. Lý thuyết
1. Tìm điều kiện xác định của một phương trình
Điều kiện xác định của phương trình là tập hợp các giá trị của ẩn làm cho tất cả các mẫu trong phương trình đều khác 0.
Điều kiện xác định của phương trình viết tắt là ĐKXĐ.
Ví dụ: Tìm điều kiện xác định của các phương trình sau
a) (x - 1)/(x + 2) + 1 = 1/(x - 2).
b) (x - 1)/(1 - 2x) = 1.
Lời giải:
a) Ta thấy x + 2 ≠ 0 khi x ≠ - 2 và x - 2 ≠ 0 khi x ≠ 2.
Do đó ĐKXĐ của phương trình (x - 1)/(x + 2) + 1 = 1/(x - 2) là x ≠ ± 2.
b) Ta thấy 1 - 2x ≠ 0 khi x ≠ 1/2.
Do đó ĐKXĐ của phương trình (x - 1)/(1 - 2x) = 1 là x ≠ 1/2.
2. Giải phương trình chứa ẩn ở mẫu
Ta thường qua các bước:
Bước 1: Tìm điều kiện xác định của phương trình
Bước 2: Quy đồng mẫu hai vế rồi khử mẫu.
Bước 3: Giải phương trình tìm được.
Bước 4: Kết luận.
Nghiệm của phương trình là giá trị của ẩn thoả mãn ĐKXĐ của phương trình.
Ví dụ 1: Giải phương trình
Lời giải:
Bước 1: Điều kiện xác định: x ≠ 0; x ≠ 2.
Bước 2: Quy đồng mẫu hai vế rồi khử mẫu
Ta có:
⇒ 2( x - 2 )( x + 2 ) = x( 2x + 3 )
Bước 3: Giải phương trình
Ta có: 2( x - 2 )( x + 2 ) = x( 2x + 3 ) ⇔ 2( x2 - 4 ) = 2x2 + 3x
⇔ 2x2 - 8 = 2x2 + 3x ⇔ 3x = - 8 ⇔ x = - 8/3.
Bước 4: Kết luận
So sánh với ĐKXĐ, ta thấy x = - 8/3 thỏa mãn.
Vậy phương trình đã cho có tập nghiệm S = { - 8/3 }.
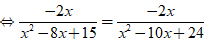
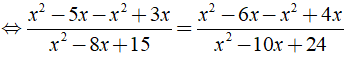
Ví dụ 2: Giải phương trình
Lời giải:
+ ĐKXĐ: x ≠ 0; x ≠ - 5.
+ Ta có:
⇒ ( 2x + 5 )( x + 5 ) - 2x2 = 0
⇔ 2x2 + 10x + 5x + 25 - 2x2 = 0 ⇔ 15x = - 25 ⇔ x = - 5/3.
+ So sánh với ĐKXĐ ta thấy x = - 5/3 thỏa mãn điều kiện.
Vậy phương trình đã cho có tập nghiệm là S = { - 5/3 }.
B. Bài tập tự luyện
Bài 1: Giải các phương trình sau:
Lời giải:
a) ĐKXĐ:
Ta có:
⇒ (x + 1)2 - (x - 1)2 = 16
⇔ ( x2 + 2x + 1 ) - ( x2 - 2x + 1 ) = 16
⇔ 4x = 16 ⇔ x = 4.
Vây phương trình đã cho có nghiệm x = 4.
b) ĐKXĐ:
Ta có:
⇒ 2( x2 + x - 2 ) = 2x2 + 2
⇔ 2x2 + 2x - 4 = 2x2 + 2
⇔ 2x = 6 ⇔ x = 3.
Vậy phương trình đã cho có nghiệm là x = 3.
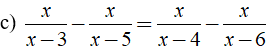
c) ĐKXĐ:
Bài 2: Giải các phương trình sau:
Lời giải:
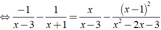
a) ĐKXĐ: x ≠ - 1;x ≠ 3.
Ta có:
⇒ - x - 1 - x + 3 = x2 + x - x2 + 2x - 1
⇔ -2x + 2 = 3x - 1
⇔ 5x = 3 ⇔ x = 3/5.
Kết hợp điều kiện, vậy phương trình đã cho có nghiệm là x = 3/5.
b) ĐKXĐ: x ≠ 3, x ≠ 4, x ≠ 5, x ≠ 6.
Ta có:
Vậy phương trình đã cho có nghiệm là x = 0;x = 9/2.
c) ĐKXĐ: x ≠ 1 hoặc x = -1.
Ta có:
⇒ ( x2 - 1 )( x3 + 1 ) - ( x2 - 1 )( x3 - 1 ) = 2( x2 + 4x + 4 )
= 2(x2 + 4x + 4)
⇔ ( x5 + x2 - x3 - 1 ) - ( x5 - x2 - x3 + 1 ) = 2( x2 + 4x + 4 )
⇔ 2x2 - 2 = 2x2 + 8x + 8
⇔ 8x = - 10 ⇔ x = - 5/4.
Vậy phương trình đã cho có nghiệm là x = - 5/4.
(199k) Xem Khóa học Toán 8 KNTTXem Khóa học Toán 8 CTSTXem Khóa học Toán 8 CD
Xem thêm các phần lý thuyết, các dạng bài tập Toán lớp 8 có đáp án chi tiết hay khác:
- Lý thuyết Phương trình tích
- Bài tập Phương trình tích
- Bài tập Phương trình chứa ẩn ở mẫu
- Lý thuyết Giải bài toán bằng cách lập phương trình
- Bài tập Giải bài toán bằng cách lập phương trình
- Tổng hợp Lý thuyết & Bài tập Phương trình bậc nhất một ẩn
Xem thêm các loạt bài Để học tốt Toán lớp 8 hay khác:
Tủ sách VIETJACK shopee lớp 6-8 (2025):
Đã có app VietJack trên điện thoại, giải bài tập SGK, SBT Soạn văn, Văn mẫu, Thi online, Bài giảng....miễn phí. Tải ngay ứng dụng trên Android và iOS.
Theo dõi chúng tôi miễn phí trên mạng xã hội facebook và youtube:Loạt bài Lý thuyết & 700 Bài tập Toán lớp 8 có lời giải chi tiết có đầy đủ Lý thuyết và các dạng bài có lời giải chi tiết được biên soạn bám sát nội dung chương trình sgk Đại số 8 và Hình học 8.
Nếu thấy hay, hãy động viên và chia sẻ nhé! Các bình luận không phù hợp với nội quy bình luận trang web sẽ bị cấm bình luận vĩnh viễn.
- Giải Tiếng Anh 8 Global Success
- Giải sgk Tiếng Anh 8 Smart World
- Giải sgk Tiếng Anh 8 Friends plus
- Lớp 8 - Kết nối tri thức
- Soạn văn 8 (hay nhất) - KNTT
- Soạn văn 8 (ngắn nhất) KNTT
- Giải sgk Toán 8 - KNTT
- Giải sgk Khoa học tự nhiên 8 - KNTT
- Giải sgk Lịch Sử 8 - KNTT
- Giải sgk Địa Lí 8 - KNTT
- Giải sgk Giáo dục công dân 8 - KNTT
- Giải sgk Tin học 8 - KNTT
- Giải sgk Công nghệ 8 - KNTT
- Giải sgk Hoạt động trải nghiệm 8 - KNTT
- Giải sgk Âm nhạc 8 - KNTT
- Lớp 8 - Chân trời sáng tạo
- Soạn văn 8 (hay nhất) - CTST
- Soạn văn 8 (ngắn nhất) - CTST
- Giải sgk Toán 8 - CTST
- Giải sgk Khoa học tự nhiên 8 - CTST
- Giải sgk Lịch Sử 8 - CTST
- Giải sgk Địa Lí 8 - CTST
- Giải sgk Giáo dục công dân 8 - CTST
- Giải sgk Tin học 8 - CTST
- Giải sgk Công nghệ 8 - CTST
- Giải sgk Hoạt động trải nghiệm 8 - CTST
- Giải sgk Âm nhạc 8 - CTST
- Lớp 8 - Cánh diều
- Soạn văn 8 Cánh diều (hay nhất)
- Soạn văn 8 Cánh diều (ngắn nhất)
- Giải sgk Toán 8 - Cánh diều
- Giải sgk Khoa học tự nhiên 8 - Cánh diều
- Giải sgk Lịch Sử 8 - Cánh diều
- Giải sgk Địa Lí 8 - Cánh diều
- Giải sgk Giáo dục công dân 8 - Cánh diều
- Giải sgk Tin học 8 - Cánh diều
- Giải sgk Công nghệ 8 - Cánh diều
- Giải sgk Hoạt động trải nghiệm 8 - Cánh diều
- Giải sgk Âm nhạc 8 - Cánh diều


Giải bài tập SGK & SBT
Tài liệu giáo viên
Sách
Khóa học
Thi online
Hỏi đáp

