Lý thuyết, Bài tập Toán 8 Chương 3 (sách mới)
Bài viết Tổng hợp Lý thuyết, Bài tập Toán 8 Chương 3 sách mới Cánh diều, Kết nối tri thức, Chân trời sáng tạo lớp 8 hay, chi tiết giúp bạn nắm vững kiến thức trọng tâm Toán 8 Chương 3.
Lý thuyết, Bài tập Toán 8 Chương 3 (sách mới)
(199k) Xem Khóa học Toán 8 KNTTXem Khóa học Toán 8 CTSTXem Khóa học Toán 8 CD
(Chân trời sáng tạo) Lý thuyết Toán 8 Chương 3: Định lí Pythagore. Các loại tứ giác thường gặp
Lời giải bài tập Toán 8 Chương 3 sách mới:
(Chân trời sáng tạo) Giải Toán 8 Chương 3: Định lí Pythagore. Các loại tứ giác thường gặp
Lưu trữ: Lý thuyết, Bài tập Toán 8 Chương 3 (sách cũ)
Bài giảng: Ôn tập chương 3 (Đại số) - Cô Vương Thị Hạnh (Giáo viên VietJack)
A. Lý thuyết
1. Định nghĩa về phương trình một ẩn
+ Một phương trình với ẩn x là hệ thức có dạng A( x ) = B( x ), trong đó A( x ) gọi là vế trái, B( x ) gọi là vế phải.
+ Nghiệm của phương trình là giá trị của ẩn x thoả mãn (hay nghiệm đúng) phương trình.
2. Định nghĩa về phương trình bậc nhất một ẩn
Phương trình có dạng ax + b = 0, với a và b là hai số đã cho và a ≠ 0, được gọi là phương trình bậc nhất một ẩn.
3. Các quy tắc biến đổi phương trình
a) Quy tắc chuyển vế
Trong một phương trình ta có thể chuyển một hạng tử từ vế này sang vế kia và đổi dấu hạng tử đó.
b) Quy tắc nhân với một số
Trong một phương trình, ta có thể nhân cả hai vế với cùng một số khác 0.
4. Cách giải phương trình bâc nhất một ẩn
Cách giải:
Bước 1: Chuyển vế ax = - b.
Bước 2: Chia hai vế cho a ta được: x = - b/a.
Bước 3: Kết luận nghiệm: S = - b/a .
Ta có thể trình bày ngắn gọn như sau:
ax + b = 0 ⇔ ax = - b ⇔ x = - b/a.
Vậy phương trình có tập nghiệm là S = - b/a .
5. Cách giải phương trình đưa về dạng: ax + b = 0
Để giải các phương trình đưa được về ax + b = 0 ta thường biến đổi phương trình như sau:
Bước 1: Quy đồng mẫu hai vế và khử mẫu (nếu có)
Bước 2: Thực hiện phép tính để bỏ dấu ngoặc và chuyển vế các hạng tử để đưa phương trình về dạng ax = c.
Bước 3: Tìm x
Chú ý: Quá trình biến đổi phương trình về dạng ax = c có thể dẫn đến trường hợp đặc biệt là hệ số của ẩn bằng 0 nếu:
0x = c thì phương trình vô nghiệm S = { Ø } .
0x = 0 thì phương trình nghiệm đúng với mọi x hay vô số nghiệm S = R.
6. Phương trình tích và cách giải
Phương trình tích có dạng A( x ).B( x ) = 0
Cách giải phương trình tích A( x ).B( x ) = 0 ⇔
Cách bước giải phương trình tích
Bước 1: Đưa phương trình đã cho về dạng tổng quát A(x).B(x) = 0 bằng cách:
Chuyển tất cả các hạng tử của phương trình về vế trái. Khi đó vế phải bằng 0.
Phân tích đa thức ở vế phải thành nhân tử
Bước 2: Giải phương trình và kết luận
7. Phương trình chứa ẩn ở mẫu
a) Điều kiện xác định
Điều kiện xác định của phương trình là tập hợp các giá trị của ẩn làm cho tất cả các mẫu trong phương trình đều khác 0.
Điều kiện xác định của phương trình viết tắt là ĐKXĐ.
b) Cách giải
Ta thường qua các bước:
Bước 1: Tìm điều kiện xác định của phương trình
Bước 2: Quy đồng mẫu hai vế rồi khử mẫu.
Bước 3: Giải phương trình tìm được.
Bước 4: Kết luận.
8. Cách giải bài toán bằng cách lập phương trình
Các bước giải toán bằng cách lập phương trình:
Bước 1: Lập phương trình
+ Chọn ẩn số và đặt điều kiện thích hợp cho ẩn số.
+ Biểu diễn các đại lượng chưa biết khác theo ẩn và các đại lượng đã biết.
+ Lập phương trình biểu thị mối quan hệ giữa các đại lượng.
Bước 2: Giải phương trình
Bước 3: Trả lời
Kiểm tra xem trong các nghiệm của phương trình, nghiệm nào thoả mãn điều kiện của ẩn, nghiệm nào không, rồi kết luận.
B. Trắc nghiệm & Tự luận
I. Bài tập trắc nghiệm
Bài 1: Một phương trình bậc nhất một ẩn có mấy nghiệm?
A. Vô nghiệm
B. Luôn có 1 nghiệm duy nhất
C. Có vô số nghiệm
D. Cả 3 phương án trên
Lời giải:
Một phương trình bậc nhất một ẩn luôn có một nghiệm duy nhất.
(lưu ý vì đây là phương trình bậc nhất một ẩn nên a ≠ 0, do đó phương trình luôn có một nghiệm duy nhất. Không có trường hợp a = 0.)
Chọn đáp án B.
Bài 2: Trong các phương trình sau, phương trình nào là phương trình một ẩn?
A. x = x + 1.
B. x + 2y = 2x
C. 3a + 2b = 5.
D. xyz = x
Lời giải:
+ Một phương trình với ẩn x là hệ thức có dạng A( x ) = B( x ), trong đó A( x ) gọi là vế trái, B( x ) gọi là vế phải.
+ Nghiệm của phương trình là giá trị của ẩn x thoả mãn (hay nghiệm đúng) phương trình.
Nhận xét:
+ Đáp án A: là phương trình một ẩn là x
+ Đáp án B: là phương trình hai ẩn là x,y
+ Đáp án C: là phương trình hai ẩn là a,b
+ Đáp án D: là phương trình ba ẩn là x,y,z
Chọn đáp án A.
Bài 3: Nghiệm x = 2 là nghiệm của phương trình ?
A. 5x + 1 = 11.
B. - 5x = 10
C. 4x - 10 = 0
D. 3x - 1 = x + 7
Lời giải:
+ Đáp án A: 5x + 1 = 11 ⇔ 5x = 10 ⇔ x = 10/5 = 2 → Đáp án A đúng.
+ Đáp án B: - 5x = 10 ⇔ x = 10/ - 5 = - 2 → Đáp án B sai.
+ Đáp án C: 4x - 10 = 0 ⇔ 4x = 10 ⇔ x = 5/2 → Đáp án C sai.
+ Đáp án D: 3x - 1 = x + 7 ⇔ 3x - x = 7 + 1 ⇔ 2x = 8 ⇔ x = 4 → Đáp án D sai.
Chọn đáp án A.
Bài 4: Trong các phương trình sau, cặp phương trình nào tương đương?
A. x = 2 và x( x - 2 ) = 0
B. x - 2 = 0 và 2x - 4 = 0
C. 3x = 0 và 4x - 2 = 0
D. x2 - 9 = 0 và 2x - 8 = 0
Lời giải:
Hai phương trình tương đương nếu chúng có cùng một tập hợp nghiệm.
Đáp án A:
+ Phương trình x = 2 có tập nghiệm S = { 2 }
+ Phương trình x( x - 2 ) = 0 ⇔
có tập nghiệm là S = { 0;2 }
→ Hai phương trình không tương đương.
Đáp án B:
+ Phương trình x - 2 = 0 có tập nghiệm S = { 2 }
+ Phương trình 2x - 4 = 0 có tập nghiệm là S = { 2 }
Hai phương trình tương đương.
Đáp án C:
+ Phương trình 3x = 0 có tập nghiệm là S = { 0 }
+ Phương trình 4x - 2 = 0 có tập nghiệm là S = { 1/2 }
→ Hai phương trình không tương đương.
Đáp án D:
+ Phương trình x2 - 9 = 0 ⇔ x = ± 3 có tập nghiệm là S = { ± 3 }
+ Phương trình 2x - 8 = 0 có tập nghiệm là S = { 4 }
→ Hai phương trình không tương đương.
Chọn đáp án B.
Bài 5: Tập nghiệm của phương trình 4x - 12 = 0 là ?
A. S = { 1 } B. S = { 2 }
C. S = { 3 } D. S = { - 3 }
Lời giải:
Ta có: 4x - 12 = 0 ⇔ 4x = 12 ⇔ x = 3
→ Phương trình có tập nghiệm là S = { 3 }
Chọn đáp án C.
Bài 6: Phương trình - 1/2x = 5 có nghiệm là ?
A. x = 15. B. x = - 10.
C. x = - 15. D. x = 10.
Lời giải:
Ta có: - 1/2x = 5 ⇔ x = 5/( - 1/2) = - 10.
Vậy phương trình có tập nghiệm là x = - 10.
Chọn đáp án B.
Bài 7: Nghiệm của phương trình 3x - 2 = - 7 là?
A. x = 5/3 B. x = - 5/3
C. x = 3 D. x = - 3.
Lời giải:
Ta có: 3x - 2 = - 7 ⇔ 3x = - 7 + 2 ⇔ 3x = - 5
⇔ x = - 5/3
Vậy nghiệm của phương trình là x = - 5/3
Chọn đáp án B.
Bài 8: Nghiệm của phương trình y/5 - 5 = - 5 là?
A. y = 5. B. y = - 5.
C. y = 0. D. y = - 1.
Lời giải:
Ta có: y/5 - 5 = - 5 ⇔ y/5 = - 5 - ( - 5) ⇔ y/5 = 0
⇔ y = 5.0 ⇔ y = 0.
Vậy nghiệm của phương trình là y = 0.
Chọn đáp án C.
Bài 9: Giá trị của m để phương trình 2x = m + 1 có nghiệm x = - 2 là?
A. m = 3. B. m = 1.
C. m = - 5 D. m = 2.
Lời giải:
Phương trình 2x = m + 1 có nghiệm x = - 2
Khi đó ta có: 2.( - 2 ) = m + 1 ⇔ m + 1 = - 4 ⇔ m = - 5.
Vậy m = - 5 là giá trị cần tìm.
Chọn đáp án C.
Bài 10: Tập nghiệm của phương trình - 4x + 7 = - 1 là?
A. S = { 2 }. B. S = { - 2 }.
C. S = { 3/2 }. D. S = { 3 }.
Lời giải:
Ta có: - 4x + 7 = - 1 ⇔ - 4x = - 1 - 7 ⇔ - 4x = - 8
⇔ x = - 8/ - 4 ⇔ x = 2.
Vậy phương trình có tập nghiệm là S = { 2 }.
Chọn đáp án A.
Bài 11: x = 1/3 là nghiệm của phương trình nào sau đây?
A. 3x - 2 = 1.
B. 3x - 1 = 0.
C. 4x + 3 = - 1.
D. 3x + 2 = - 1.
Lời giải:
+ Đáp án A: 3x - 2 = 1 ⇔ 3x = 3 ⇔ x = 1 → Loại.
+ Đáp án B: 3x - 1 = 0 ⇔ 3x = 1 ⇔ x = 1/3 → Chọn.
+ Đáp án C: 4x + 3 = - 1 ⇔ 4x = - 4 ⇔ x = - 1 → Loại.
+ Đáp án D: 3x + 2 = - 1 ⇔ 3x = - 3 ⇔ x = - 1 → Loại.
Chọn đáp án B.
Bài 12: Giá trị của m để cho phương trình sau nhận x = 2 làm nghiệm: 3x - 2m = x + 5 là:
A. m = - 1/2. B. m = 1.
C. m = - 5 D. m = 2.
Lời giải:
Phương trình 3x - 2m = x + 5 có nghiệm là x = 2
Khi đó ta có: 3.2 - 2m = 2 + 5 ⇔ 2m = - 1
⇔ m = - 1/2.
Vậy m = - 1/2 là giá trị cần tìm.
Chọn đáp án A.
Bài 13: Nghiệm của phương trình
là:
A. x = 1 B. x = 2
C. x = 3 D. x = 4
Lời giải:
Phương trình
Vậy phương trình có nghiệm là x = 1
Chọn đáp án A.
Bài 14: Nghiệm của phương trình
là:
A. x = - 2 B. x = 1
C. x = 2 D. x = - 1
Lời giải:
Phương trình
⇔ 3x2 + 8x + 4 - 3(x2 + 2x + 1) = x - 1
⇔ x + 2 = 0 ⇔ x = - 2
Vậy phương trình có nghiệm x = - 2
Chọn đáp án A.
Bài 15: Tập nghiệm của phương trình
là?
A. x = 1/3 B. x = - 1/3
C. x = 13/6 D. x = - 13/6
Lời giải:
Phương trình
⇔ 3(5x + 4) + 5(2x + 5) - 2(x - 7) + x + 1 = 0
⇔ 15x + 12 + 10x + 25 - 2x + 14 + x + 1 = 0
⇔ 24x + 52 = 0
⇔ x = - 13/6
Vậy phương trình có nghiệm x = - 13/6
Chọn đáp án D.
Bài 16: Nghiệm của phương trình
là?
A. x = 0. B. x = 1.
C. x = 2. D. x = 3.
Lời giải:
Phương trình
Vậy phương trình có nghiệm x = 1
Chọn đáp án B.
Bài 17: Nghiệm của phương trình - 8( 1,3 - 2x ) = 4( 5x + 1 ) là:
A. x = 1,2 B. x = - 1,2
C. x = - 18/5 D. x = 18/5
Lời giải:
Phương trình - 8( 1,3 - 2x ) = 4( 5x + 1 )
⇔ 4x + 72/5 = 0 ⇔ x = - 18/5
Vậy phương trình có nghiệm x = - 18/5
Chọn đáp án C.
Bài 18: Nghiệm của phương trình
là:
A. x = - 55/21. B. x = 55/21.
C. x = - 1. D. x = - 31/30.
Lời giải:
Phương trình
Vậy phương trình có nghiệm
Chọn đáp án A.
Bài 19: Nghiệm của phương trình
là:
A. x = 2 B. x = - 2
C. x = - 1 D. x = 1
Lời giải:
Phương trình
⇔ 8x + 5 - 2(3x + 1) = 2(2x + 1) + x + 4
⇔ 8x + 5 - 6x - 2 = 4x + 2 + x + 4
⇔ 2x + 3 = 5x + 6
⇔ - 3x - 3 = 0
⇔ x = - 1
Vậy phương trình có nghiệm x = - 1
Chọn đáp án C.
Bài 20: Nghiệm của phương trình
là:
A. Vô số nghiệm B. Vô nghiệm
C. x = 0 D. x = 1
Lời giải:
Phương trình
Vậy phương trình có vô số nghiệm.
Chọn đáp án A.
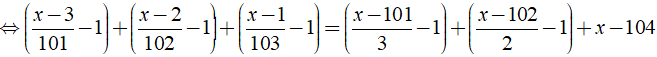
Bài 21: Nghiệm của phương trình
là:
A. x = 101 B. x = 102
C. x = 103 D. x = 104
Lời giải:
Phương trình
⇔ x = 104
Vậy phương trình có nghiệm x = 104
Chọn đáp án D.
Bài 22: Nghiệm của phương trình ( x - 2 )( x + 1 ) = 0 là:
A. x = 2 B. x = 1
C. x = - 1 D. x = 2;x = - 1
Lời giải:
Phương trình ( x - 2 )( x + 1 ) = 0
Vậy nghiệm của phương trình là x = 2;x = - 1
Chọn đáp án D.
Bài 23: Nghiệm của phương trình 2x( x - 1 ) = x2 - 4x - 1 là:
A. x = 1 B. x = 0
C. x = ± 1 D. x = - 1
Lời giải:
Phương trình 2x( x - 1 ) = x2 - 4x - 1
⇔ 2x2 - 2x = x2 - 4x - 1
⇔ x2 + 2x + 1 = 0
⇔ (x + 1)2 = 0
⇔ x = - 1
Vậy phương trình có nghiệm x = - 1
Chọn đáp án D.
Bài 24: Tập nghiệm của phương trình x3 + (x + 1)3 = (2x + 1)3 là:
A. S = { 0; - 1 } B. S = { 0 }
C. S = { - 1/2; - 1 } D. S = { 0; - 1/2; - 1 }
Lời giải:
Phương trình x3 + (x + 1)3 = (2x + 1)3
⇔ x3 + (x + 1)3 = [ x + (x + 1) ]3
⇔ x3 + (x + 1)3 = x3 + (x + 1)3 + 3x(x + 1)(2x + 1)
⇔ 3x(x + 1)(2x + 1) = 0
Vậy tập nghiệm của phương trình là S = { 0; - 1/2; - 1 }
Chọn đáp án D.
Bài 25: Giá trị của m để phương trình ( x + 3 )( x + 1 - m ) = 4 có nghiệm x = 1 là?
A. m = 1 B. m = 0
C. m = ± 1 D. m = - 1
Lời giải:
Do phương trình ( x + 3 )( x + 1 - m ) = 4 có nghiệm x = 1 nên ta có:
(1 + 3)(1 + 1 - m) = 4
⇔ 4(2 - m) = 4
⇔ 2 - m = 1
⇔ m = 1
Vậy m = 1.
Chọn đáp án A.
Bài 26: Giá trị của m để phương trình x7 - x2 = x - m có nghiệm x = 0 là?
A. m = 1 B. m = 0
C. m = ± 1 D. m = - 1
Lời giải:
Do phương trình x7 - x2 = x - m có nghiệm x = 0 nên ta có:
07 - 02 = 0 - m
⇔ m = 0
Vậy m = 0
Chọn đáp án B.
Bài 27: Nghiệm của phương trình x5 - x4 + 3x3 + 3x2 - x + 1 = 0 là:
A. x = 1 B. x = -1
C. x = ± 1 D. x = 3
Lời giải:
Phương trình x5 - x4 + 3x3 + 3x2 - x + 1 = 0
⇔ x5 + x4 - 2x4 - 2x3 + 5x3 + 5x2 - 2x2 - 2x + x + 1 = 0
⇔ x4(x + 1) - 2x3(x + 1) + 5x2(x + 1) - 2x(x + 1) + (x + 1) = 0
⇔ (x + 1)(x4 - 2x3 + 5x2 - 2x + 1) = 0
⇔ x = - 1
Do x4 - 2x3 + 5x2 - 2x + 1 = (x2 - x)2 + 3x2 + (x - 1)2 > 0 ∀ x
Vậy phương trình có nghiệm x = - 1
Chọn đáp án B.
Bài 28: Nghiệm của phương trình x4 + (x - 4)4 = 82 là:
A. x = 1 B. x = -1;x = 3
C. x = ± 1 D. x = - 1
Lời giải:
Đặt x - 2 = t phương trình trở thành:
(t + 2)4 + (t - 2)4 = 82
⇔ (t4 + 8t3 + 24t2 + 32t + 16) + (t4 - 8t3 + 24t2 - 32t + 16) = 82
⇔ 2t4 + 48t2 - 50 = 0 ⇔ t4 + 24t2 - 25 = 0
⇔ (t2 - 1)(t2 + 25) = 0
⇔ t2 = 1 ⇔ t = ± 1
⇒ x = 3;x = 1
Vậy nghiệm của phương trình là x = 1;x = 3
Chọn đáp án B.
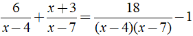
Bài 29: Nghiệm của phương trình
là:
A. x = - 1 B. x = 25/4
C. x = 1;x = - 4 D. x = 1/4
Lời giải:
ĐKXĐ: x ≠ 4;x ≠ 7
Phương trình
Vậy phương trình có nghiệm x = 25/4
Chọn đáp án B.
Bài 30: Nghiệm của phương trình
là:
A. x = 1 B. x = - 5/3
C. x = ± 5/3 D. x = - 1
Lời giải:
ĐKXĐ: x ≠ 1;x ≠ 3
Phương trình
Vậy phương trình có nghiệm x = - 5/3
Chọn đáp án B.
Bài 31: Giá trị của m để phương trình (2x - m)/(3x + 1) = 2 có nghiệm x = 1 là?
A. m = 4 B. m = - 6
C. m = 1 D. m = 2
Lời giải:
Phương trình (2x - m)/(3x + 1) = 2 có nghiệm x = 1 nên ta có:
(2.1 - m)/(3.1 + 1) = 2
⇔ (2 - m)/4 = 2
⇔ 2 - m = 8
⇔ m = - 6
Vậy m = - 6
Chọn đáp án B.
Bài 32: Nghiệm của phương trình
là:
A. x = - 1 B. x = 7/2
C. x = - 1;x = 7/2 D. x = 0
Lời giải:
ĐKXD: x ≠ {2, 3, 4, 5}
Phương trình
Vậy nghiệm của phương trình là x = - 1;x = 7/2
Chọn đáp án C.
Bài 33: Tìm hai số tự nhiên chẵn liên tiếp biết biết tích của chúng là 24 là:
A. 2;4 B. 4;6
C. 6;8 D. 8;10
Lời giải:
Gọi 2 số chẵn liên tiếp cần tìm là x;x + 2 (x > 0;x ∈ Z)
Theo bài ra ta có: x(x + 2) = 24 ⇔ x2 + 2x - 24 = 0
⇔x2 + 6x - 4x - 24 = 0
⇔x(x + 6) - 4(x + 6) = 0
⇔ (x - 4)(x + 6) = 0 ⇔ x = 4 (Do x + 6 > 0∀ x > 0 )
Vậy hai số cần tìm là 4;6.
Chọn đáp án B.
Bài 34: Một hình chữ nhật có chiều dài hơn chiều rộng 3cm. Chu vi hình chữ nhật là 100cm. Chiều rộng hình chữ nhật là:
A. 23,5cm B. 47cm
C. 100cm D. 3cm
Lời giải:
Gọi chiều rộng hình chữ nhật là x(cm) (x > 0)
→ Chiều dài hình chữ nhật là x + 3(cm)
Do chu vi hình chữ nhật là 100cm nên ta có:
2[ x + (x + 3) ] = 100 ⇔ 2x + 3 = 50 ⇔ x = 23,5
Vậy chiều rộng hình chữ nhật là 23,5cm
Chọn đáp án A.
Bài 35: Một xe đạp khởi hành từ điểm A, chạy với vận tốc 15 km/h. Sau đó 6 giờ, một xe hơi đuổi theo với vận tốc 60 km/h. Hỏi xe hơi chạy trong bao lâu thì đuổi kịp xe đạp?
A. 1h B. 2h
C. 3h D. 4h
Lời giải:
Gọi t ( h ) là thời gian từ lúc xe hơi chạy đến lúc đuổi kịp xe đạp; t > 0.
⇒ t + 6 ( h ) là thời gian kể từ lúc xe đạp đi đến lúc xe hơi đuổi kịp.
+ Quãng đường xe đạp đi được là s1 = 15( t + 6 ) km.
+ Quãng đường xe hơi đi được là s2 = 60t km.
Vì hai xe xuất phát tại điểm A nên khi gặp nhau s1 = s2.
Khi đó ta có: 15(t + 6) = 60t ⇔ 60t - 15t = 90 ⇔ t = 2(h) (thỏa mãn)
Vậy xe hơi chạy được 2 giờ thì đuổi kịp xe đạp.
Chọn đáp án B.
Bài 36: Một người đi từ A đến B. Trong nửa quãng đường đầu người đó đi với vận tốc 20km/h phần đường còn lại đi với tốc độ 30km/h. Vận tốc trung bình của người đó khi đi từ A đến B là:
A. 20km/h B. 24km/h
C. 25km/h D. 30km/h
Lời giải:
Gọi vận tốc trung bình của người đó là: x(km/h) (x > 0)
Gọi độ dài nửa quãng đường AB là: a(km)
Khi đó ta có:
+ Thời gian đi nửa quãng đường đầu là: a/20(h)
+ Thời gian đi nửa quãng đường sau là: a/30(h)
→ Thời gian đi cả quãng đường AB là:
Do đó ta có:
Vậy vận tốc cần tìm là 24km/h
Chọn đáp án B.
Bài 37: Hai lớp A và B của một trường trung học tổ chức cho học sinh tham gia một buổi meeting. Người ta xem xét số học sinh mà một học sinh lớp A nói chuyện với học sinh lớp B thì thấy rằng: Bạn Khiêm nói chuyện với 5 bạn, bạn Long nói chuyện với 6 bạn, bạn Tùng nói chuyện với 7 bạn,…và đến bạn Hải là nói chuyện với cả lớp B. Tính số học sinh lớp B biết 2 lớp có tổng cộng 80 học sinh.
A. 24 B. 42
C. 48 D. 50
Lời giải:
Gọi số học sinh lớp A là x (0 < x < 80, x ∈ N)
Bạn thứ nhất của lớp A (Khiêm) nói chuyện với 4 + 1 bạn
Bạn thứ hai của lớp A (Long) nói chuyện với 4 + 2 bạn
Bạn thứ ba của lớp A (Tùng) nói chuyện với 4 + 3 bạn
…………………
Bạn thứ x của lớp A (Hải) nói chuyện với bạn
Do đó số học sinh lớp B là 4 + x
Vì 2 lớp có tổng cộng 80 học sinh nên ta có:
x + (4 + x) = 80
⇔ 2x - 76 = 0
⇔ x = 38
Vậy số học sinh lớp B là: 80 - 38 = 42 (Học sinh)
Chọn đáp án B.
Bài 38: Khiêm đi từ nhà đến trường Khiêm thấy cứ 10 phút lại gặp một xe buýt đi theo hướng ngược lại. Biết rằng cứ 15 phút lại có 1 xe buýt đi từ nhà Khiêm đến trường là cũng 15 phút lại có 1 xe buýt đi theo chiều ngược lại. Các xe chuyển động với cùng vận tốc. Hỏi cứ sau bao nhiêu phút thì có 1 xe cùng chiều vượt qua Khiêm.
A. 10 B. 20
C. 30 D. 40
Lời giải:
Gọi thời gian phải tìm là x (Phút)
Gọi thời gian Khiêm đi từ nhà đến trường là a (Phút)
Số xe Khiêm gặp khi đi từ nhà đến trường đi theo hướng ngược lại là: a/10
Số xe Khiêm gặp khi đi từ nhà đến trường đi theo hướng cùng chiều là: a/x
Số xe đi qua Khiêm khi Khiêm đi từ nhà đến trường cũng chính là số xe đã đi trên đoạn đường từ nhà Khiêm đến trường theo cả 2 chiều là:
Ta có phương trình:
Vậy cứ sau 30 phút lại có xe cùng chiều vượt qua Khiêm.
Chọn đáp án C.
Bài 39: Mẹ hơn con 24 tuổi. Sau 2 năm nữa thì tuổi mẹ gấp 3 lần tuổi con. Tuổi của con hiện nay là:
A. 5 B. 10
C. 15 D. 20
Lời giải:
Gọi số tuổi của con hiện tại là x (Tuổi) (x ∈ N*)
→ số tuổi của mẹ hiện nay là x + 24 (Tuổi)
Theo bài ra ta có: 3(x + 2) = x + 24 + 2
⇔ 2x - 20 = 0
⇔ x = 10
Vậy hiện tại tuổi của con là 10 tuổi.
Chọn đáp án B.
II. Bài tập tự luận
1. Nhận biết – Thông hiểu
Bài 1: Phương trình (1) và (2) có tương đương hay không?
(1) x - 1 = 4
(2) (x - 1)x = 4x
Lời giải:
Phương trình (1) x - 1 = 4 có tập nghiệm S1 = 5
Phương trình (2): (x - 1)x = 4x ⇔ (x - 1)x - 4x = 0 ⇔ (x - 5)x = 0
Phương trình (2) có tập nghiệm là S2 = 0;5
Vì S1 ≠ S2 nên hai phương trình (1) và (2) không tương đương.
Bài 2: Tìm điều kiện của m để phương trình sau là phương trình bậc nhất một ẩn:
a) (2m - 1)x + 3 - m = 0
b) (3m - 5)x + 1 - m = 0
Lời giải:
a, (2m - 1)x + 3 - m = 0 là phương trình bậc nhất một ẩn
⇔ 2m - 1 ≠ 0
⇔ m ≠ 1/2
b, Tương tự phần a ta được: m ≠ 5/3
Bài 3: Cho phương trình 2(x + 3) – 3 = 3 – x
a) x = - 3 có thỏa mãn phương trình không ?
b) x = 0 có là một nghiệm của phương trình không?
Lời giải:
a) Với x = -3 thì
VT = 2(x + 3) – 3 = 2(– 3 + 3) – 3 = 2. 0 – 3 = 0 – 3 = – 3
Ta có: VP = 3 – x = 3 – (– 3) = 6 ≠ – 3
Vậy x = - 3 không thỏa mãn phương trình
b) Với x = 0 thì
VT = 2(0 + 3) – 3 = 2.3 – 3 = 6 – 3 = 3
Ta có: VP = 3 – x = 3 – 0 = 3 = VT
⇒ x = 0 có là một nghiệm của phương trình
Vậy x = 0 là nghiệm của phương trình.
Bài 4:
a) Tìm giá trị của m sao cho phương trình sau nhận x = 2 làm nghiệm: 3x - 2m = x + 5.
b) Tìm giá trị của m, biết rằng phương trình: nhận x = 2 làm nghiệm: 5m - 7x = 3x
Lời giải:
a) Phương trình 3x - 2m = x + 5 nhận x = 2 làm nghiệm nên ta có:
3.2 - 2m = 2 + 5
⇔ 2m = - 1 ⇔ m = - 1/2
Vậy m = - 1/2
b) Phương trình 5m - 7x = 3x nhận x = 2 làm nghiệm nên ta có:
5m - 7.2 = 3.2 ⇔ 5m = 20 ⇔ m = 4
Vậy m = 4
Bài 5: Giải phương trình:
a) 3x + 1 = x + 2
b) (x - 1)2 = x2 + 6x - 3
c) x2 + 5 = 6x - 4
Lời giải:
a) Phương trình ⇔ 2x - 1 = 0 ⇔ x = 1/2
Vậy phương trình có nghiệm x = 1/2
b) Phương trình ⇔ x2 - 2x + 1 = x2 + 6x - 3
⇔ - 8x + 4 = 0
⇔ x = 1/2
Vậy phương trình có nghiệm x = 1/2
c) Phương trình ⇔ x2 - 6x + 9 = 0
⇔ (x - 3)2 = 0
⇔ x = 3
Vậy phương trình có nghiệm x = 3
Bài 6: Giải phương trình:
a, x(x + 3) = (3 - x)(1 + x)
b, x3 - 4x2 + 5x - 2 = 0
c, (x + 1)2(x + 2) + (x - 1)2(x - 2) = - 12
Lời giải:
a, Phương trình ⇔ x2 + 3x = 3 + 2x - x2
⇔ 2x2 + x - 3 = 0
⇔ 2x2 - 2x + 3x - 3 = 0
⇔ 2x(x - 1) + 3(x - 1) = 0
⇔ (x - 1)(2x + 3) = 0
Vậy tập nghiệm của phương trình là S = { - 3/2;1 }
b, Phương trình ⇔ x3 - 2x2 - 2x2 + 4x + x - 2 = 0
⇔ (x - 2)(x2 - 2x + 1) = 0
⇔ (x - 2)(x - 1)2 = 0
Vậy tập nghiệm của phương trình là S = { 1;2 }
c, Ta có
Vậy phương trình có nghiệm x = - 1
Bài 7: Giải các phương trình sau
Lời giải:
a, Ta có:
⇔ 5x + 1 = - 15 ⇔ x = - 16/5
Vậy tập nghiệm của phương trình là S = { - 16/5 }
b, Ta có:
Vậy tập nghiệm của phương trình là S = { - 8/7 }
Bài 8: Giải phương trình:
Lời giải:
ĐKXĐ: x ≠ ± 1;x ≠ ± 2
Phương trình
Vậy tập nghiệm của phương trình là S = { ± √ 2 }
Bài 9: Mẫu số của một phân số lớn hơn tử của nó là 5 đơn vị, nếu tăng cả tử thêm 2 đơn vị và mẫu thêm 4 đơn vị, thì được một phân số mới bằng phân số ban đầu . Tìm phân số cho ban đầu
Lời giải:
Gọi tử số của phân số ban đầu là a, theo bài ra ta có:
(Điều kiện: a ≠ - 5;a ≠ - 9 )
a(a + 9) = (a + 2)(a + 5)
⇔ a2 + 9a = a2 + 7a + 10
⇔ 2a = 10 ⇔ a = 5 (Thỏa mãn)
Vậy phân số cần tìm là: 5/10
Bài 10: Giải phương trình:
a, 2(x + 1)(8x + 7)2(4x + 3) = 9
b, (x2 - 4)2 = 8x + 1
Lời giải:
a, Phương trình: 2(x + 1)(8x + 7)2(4x + 3) = 9
⇔ 8(x + 1)(8x + 7)2.2(4x + 3) = 8.9
⇔ (8x + 8)(8x + 7)2(8x + 6) = 72
Đặt 8x + 7 = t, phương trình trở thành: (t + 1)t2(t - 1) = 72
⇔ t2(t2 - 1) - 72 = 0 ⇔
Với t = 3 ⇒ x = - 1/2
Với t = - 3 ⇒ x = - 5/4
Vậy tập nghiệm của phương trình là S = { - 1/2; - 5/4 }
b, Phương trình ⇔ (x2 - 4)2 + 16x2 = 16x2 + 8x + 1
⇔ (x2 + 4)2 = (4x + 1)2 ⇔
⇔ x2 - 4x + 3 = 0 (Do x2 + 4x + 5 = (x + 2)2 + 1 > 0 ∀ x )
Vậy tập nghiệm của phương trình là S = { 1;3 }
2. Vận dụng – Vận dụng cao
Bài 1: Giải phương trình:
a, x4 + x3 + x2 + x + 1 = 0
b, x5 = x4 + x3 + x2 + x + 2
Lời giải:
a, Ta thấy x = 1 không phải nghiệm của phương trình nên nhân 2 vế của phương trình với x - 1 ta có: (x - 1)(x4 + x3 + x2 + x + 1) = 0
⇔ x5 - 1 = 0
⇔ x = 1(KTM)
Vậy phương trình đã cho vô nghiệm.
b, Phương trình ⇔ x5 - 1 = x4 + x3 + x2 + x + 1
⇔ (x - 1)(x4 + x3 + x2 + x + 1) = x4 + x3 + x2 + x + 1
⇔ (x - 2)(x4 + x3 + x2 + x + 1) = 0
⇔ x = 2 (Vì theo phần a)
Vậy phương trình có nghiệm duy nhất x = 2
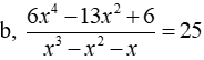
Bài 2: Giải các phương trình sau
a)
b)
Lời giải:
a) Ta có: Phương trình
⇔ x - 2020 = 0
⇔ x = 2020
Vậy phương trình có nghiệm là x = 2020
b) Ta có:
⇔ x - 64 = 0 ⇔ x = 64
Vậy phương trình đã cho có nghiệm là x = 64
Bài 3: Giải phương trình
Lời giải:
a, ĐKXĐ: x ≠ 1;x ≠ 2;x ≠ 3;x ≠ 4
Phương trình
Vậy tập nghiệm của phương trình là S = { 0;5/2 }
b, ĐKXĐ: x3 - x2 - x ≠ 0 ⇔ x( x2 - x - 1 ) ≠ 0
Phương trình(Chia cả tử mà mẫu cho x2 )
Đặt x - 1/x = t ⇒ t2 = x2 + 1/x2 - 2
Phương trình trở thành:
Với t = 8/3 ta có:
Làm tương tự với t = 3/2 ta có:
Vậy tập nghiệm của phương trình là S = { - 1/2; - 1/3;2;3 }
c, ĐKXĐ: x ∉ 2;3;4;5;6
Phương trình
⇔ (x - 6)(x - 2) = 12
⇔ x2 - 2x - 6x + 12 = 12 ⇔ x2 - 8x = 0
⇔ x(x - 8) = 0 ⇔
Vậy phương trình đã cho có tập nghiệm là S = { 0;8 }
Bài 4: Giải phương trình:
a) (x2 - 1)(x2 + 4x + 3) = - 3
b) (x + 4)3 - (x + 2)3 = 56
c) (x + 1)4 + (x + 3)4 = 16
Lời giải:
a, Phương trình ⇔ (x - 1)(x + 1)(x + 1)(x + 3) = - 3
⇔ (x2 + 2x - 3)(x2 + 2x + 1) + 3 = 0
Đặt x2 + 2x - 1 = t khi đó phương trình trở thành: (t - 2)(t + 2) + 3 = 0
⇔ t2 - 1 = 0 ⇔
Với t = 1 ta có: x2 + 2x - 1 = 1 ⇔ (x + 1)2 - 3 = 0 ⇔ x = - 1 ± √ 3
Với t = - 1 ta có: x2 + 2x - 1 = - 1 ⇔ x(x + 2) = 0
Vậy tập nghiêm của phương trình là S = { - 2;0; - 1 ± √ 3 }
b, Phương trình
⇔ (x + 4 - x - 2)[(x + 4)2 + (x + 4).(x + 2) + (x + 2)2] = 56
⇔ 2(x2 + 8x + 16 + x2 + 6x + 8 + x2 + 4x + 4) = 56
⇔ 2.(3x2 + 18x + 28) = 56 ⇔ 3x2 + 18x + 28 = 28
⇔ 3x2 + 18x = 0
Vậy tập nghiệm của phương trình là S = { - 18/3;0 }
`c, Đặt x + 2 = t, phương trình trở thành: (t - 1)4 + (t + 1)4 = 16
⇔ t4 - 4t3 + 6t2 - 4t + 1 + t4 + 4t3 + 6t2 + 4t + 1 = 16
⇔ 2t4 + 12t2 + 2 = 16 ⇔ t4 + 6t2 - 7 = 0
Với t2 = 1 ta có: (x + 2)2 = 1
Vậy tập nghiệm của phương trình là S = { - 3; - 1 }
(199k) Xem Khóa học Toán 8 KNTTXem Khóa học Toán 8 CTSTXem Khóa học Toán 8 CD
Xem thêm các phần lý thuyết, các dạng bài tập Toán lớp 8 có đáp án chi tiết hay khác:
- Lý thuyết Liên hệ giữa thứ tự và phép cộng
- Bài tập Liên hệ giữa thứ tự và phép cộng
- Lý thuyết Liên hệ giữa thứ tự và phép nhân
- Bài tập Liên hệ giữa thứ tự và phép nhân
- Lý thuyết Bất phương trình một ẩn
- Bài tập Bất phương trình một ẩn
Xem thêm các loạt bài Để học tốt Toán lớp 8 hay khác:
Tủ sách VIETJACK shopee lớp 6-8 (2025):
Đã có app VietJack trên điện thoại, giải bài tập SGK, SBT Soạn văn, Văn mẫu, Thi online, Bài giảng....miễn phí. Tải ngay ứng dụng trên Android và iOS.
Theo dõi chúng tôi miễn phí trên mạng xã hội facebook và youtube:Loạt bài Lý thuyết & 700 Bài tập Toán lớp 8 có lời giải chi tiết có đầy đủ Lý thuyết và các dạng bài có lời giải chi tiết được biên soạn bám sát nội dung chương trình sgk Đại số 8 và Hình học 8.
Nếu thấy hay, hãy động viên và chia sẻ nhé! Các bình luận không phù hợp với nội quy bình luận trang web sẽ bị cấm bình luận vĩnh viễn.
- Giải Tiếng Anh 8 Global Success
- Giải sgk Tiếng Anh 8 Smart World
- Giải sgk Tiếng Anh 8 Friends plus
- Lớp 8 - Kết nối tri thức
- Soạn văn 8 (hay nhất) - KNTT
- Soạn văn 8 (ngắn nhất) KNTT
- Giải sgk Toán 8 - KNTT
- Giải sgk Khoa học tự nhiên 8 - KNTT
- Giải sgk Lịch Sử 8 - KNTT
- Giải sgk Địa Lí 8 - KNTT
- Giải sgk Giáo dục công dân 8 - KNTT
- Giải sgk Tin học 8 - KNTT
- Giải sgk Công nghệ 8 - KNTT
- Giải sgk Hoạt động trải nghiệm 8 - KNTT
- Giải sgk Âm nhạc 8 - KNTT
- Lớp 8 - Chân trời sáng tạo
- Soạn văn 8 (hay nhất) - CTST
- Soạn văn 8 (ngắn nhất) - CTST
- Giải sgk Toán 8 - CTST
- Giải sgk Khoa học tự nhiên 8 - CTST
- Giải sgk Lịch Sử 8 - CTST
- Giải sgk Địa Lí 8 - CTST
- Giải sgk Giáo dục công dân 8 - CTST
- Giải sgk Tin học 8 - CTST
- Giải sgk Công nghệ 8 - CTST
- Giải sgk Hoạt động trải nghiệm 8 - CTST
- Giải sgk Âm nhạc 8 - CTST
- Lớp 8 - Cánh diều
- Soạn văn 8 Cánh diều (hay nhất)
- Soạn văn 8 Cánh diều (ngắn nhất)
- Giải sgk Toán 8 - Cánh diều
- Giải sgk Khoa học tự nhiên 8 - Cánh diều
- Giải sgk Lịch Sử 8 - Cánh diều
- Giải sgk Địa Lí 8 - Cánh diều
- Giải sgk Giáo dục công dân 8 - Cánh diều
- Giải sgk Tin học 8 - Cánh diều
- Giải sgk Công nghệ 8 - Cánh diều
- Giải sgk Hoạt động trải nghiệm 8 - Cánh diều
- Giải sgk Âm nhạc 8 - Cánh diều


Giải bài tập SGK & SBT
Tài liệu giáo viên
Sách
Khóa học
Thi online
Hỏi đáp

