Lý thuyết Bất phương trình một ẩn lớp 8 (hay, chi tiết)
Bài viết Lý thuyết Bất phương trình một ẩn lớp 8 hay, chi tiết giúp bạn nắm vững kiến thức trọng tâm Lý thuyết Bất phương trình một ẩn.
Lý thuyết Bất phương trình một ẩn
(199k) Xem Khóa học Toán 8 KNTTXem Khóa học Toán 8 CTSTXem Khóa học Toán 8 CD
Bài giảng: Bài 3: Bất phương trình một ẩn - Cô Vương Thị Hạnh (Giáo viên VietJack)
A. Lý thuyết
1. Bất phương trình một ẩn
Bất phương trình ẩn x là hệ thức A( x ) > B( x ) hoặc A( x ) < B( x ) hoặc A( x ) ≥ B( x ) hoặc A( x ) ≤ B( x ).
Trong đó: A( x ) gọi là vế trái; B( x ) gọi là vế phải.
Nghiệm của bất phương trình là giá trị của ẩn thay vào bất phương trình ta được một khẳng định đúng.
Ví dụ:
Các phương trình một ẩn như: x - 1 < 2x - 3; (x + 1)/2 > - 3; 2( x - 1 ) ≤ 1 - 3x; 1 - x ≥ 2; ...
2. Tập nghiệm của bất phương trình
Tập hợp tất cả các nghiệm của bất phương trình được gọi là tập nghiệm của bất phương trình đó.
Giải bất phương trình là tìm tập nghiệm của bất phương trình đó.
Ví dụ 1: Tập nghiệm của bất phương trình x > 2 là tập hợp các số lớn hơn 2, tức là tập hợp { x| x > 2 }.
Để dễ hình dung, ta biểu diễn tập hợp này trên trục số như hình vẽ sau:
Ví dụ 2: Tập nghiệm của bất phương trình x ≤ 7 là tập hợp các số nhỏ hơn hoặc bằng 7, tức là tập hợp { x| x ≤ 7 } .
Để dễ hình dung, ta biểu diễn tập hợp này trên trục số như hình vẽ sau:
3. Bất phương trình tương đương
Hai bất phương trình tương đương là hai bất phương trình có cùng tập nghiệm.
Kí hiệu là "⇔".
Ví dụ: Bất phương trình x > 3 và bất phương trình 6 < 2x có cùng tập nghiệm là { x| x > 3 }.
B. Bài tập tự luyện
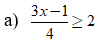
Bài 1: Giải bất phương trình sau và biểu diễn nghiệm trên trục số
Lời giải:
a) Ta có: ⇔ 3x - 1 > 8
⇔ 3x ≥ 9 ⇔ x ≥ 3
Vậy x ≥ 3 là nghiệm của bất phương trình.
Ta biểu diễn tập nghiệm trên trục số như sau:
b) Ta có: ⇔ 6 - 4x < 5
⇔ 4x > 1 ⇔ x > 1/4
Vậy x > 1/4 là nghiệm của bất phương trình đã cho.
Ta biểu diễn tập nghiệm trên trục số như sau:
Bài 2: Giải các bất phương trình sau:
a) 3x - 5 < 4
b) 3 - 4x ≥ 19
Lời giải:
a) Ta có: 3x - 5 < 4 ⇔ 3x < 9 ⇔ x < 3
Vậy x < 3 là nghiệm của bất phương trình đã cho.
b) Ta có: 3 - 4x ≥ 19 ⇔ 3 - 19 ≥ 4x ⇔ - 16 ≥ 4x ⇔ x ≤ - 4
Vậy x ≤ - 4 là nghiệm của bất phương trình đã cho.
(199k) Xem Khóa học Toán 8 KNTTXem Khóa học Toán 8 CTSTXem Khóa học Toán 8 CD
Xem thêm các phần lý thuyết, các dạng bài tập Toán lớp 8 có đáp án chi tiết hay khác:
- Bài tập Bất phương trình một ẩn
- Lý thuyết Bất phương trình bậc nhất một ẩn
- Bài tập Bất phương trình bậc nhất một ẩn
- Lý thuyết Phương trình chứa dấu giá trị tuyệt đối
- Bài tập Phương trình chứa dấu giá trị tuyệt đối
- Tổng hợp Lý thuyết & Bài tập Bất phương trình bậc nhất một ẩn
Xem thêm các loạt bài Để học tốt Toán lớp 8 hay khác:
Tủ sách VIETJACK shopee lớp 6-8 (2025):
Đã có app VietJack trên điện thoại, giải bài tập SGK, SBT Soạn văn, Văn mẫu, Thi online, Bài giảng....miễn phí. Tải ngay ứng dụng trên Android và iOS.
Theo dõi chúng tôi miễn phí trên mạng xã hội facebook và youtube:Loạt bài Lý thuyết & 700 Bài tập Toán lớp 8 có lời giải chi tiết có đầy đủ Lý thuyết và các dạng bài có lời giải chi tiết được biên soạn bám sát nội dung chương trình sgk Đại số 8 và Hình học 8.
Nếu thấy hay, hãy động viên và chia sẻ nhé! Các bình luận không phù hợp với nội quy bình luận trang web sẽ bị cấm bình luận vĩnh viễn.
- Giải Tiếng Anh 8 Global Success
- Giải sgk Tiếng Anh 8 Smart World
- Giải sgk Tiếng Anh 8 Friends plus
- Lớp 8 - Kết nối tri thức
- Soạn văn 8 (hay nhất) - KNTT
- Soạn văn 8 (ngắn nhất) KNTT
- Giải sgk Toán 8 - KNTT
- Giải sgk Khoa học tự nhiên 8 - KNTT
- Giải sgk Lịch Sử 8 - KNTT
- Giải sgk Địa Lí 8 - KNTT
- Giải sgk Giáo dục công dân 8 - KNTT
- Giải sgk Tin học 8 - KNTT
- Giải sgk Công nghệ 8 - KNTT
- Giải sgk Hoạt động trải nghiệm 8 - KNTT
- Giải sgk Âm nhạc 8 - KNTT
- Lớp 8 - Chân trời sáng tạo
- Soạn văn 8 (hay nhất) - CTST
- Soạn văn 8 (ngắn nhất) - CTST
- Giải sgk Toán 8 - CTST
- Giải sgk Khoa học tự nhiên 8 - CTST
- Giải sgk Lịch Sử 8 - CTST
- Giải sgk Địa Lí 8 - CTST
- Giải sgk Giáo dục công dân 8 - CTST
- Giải sgk Tin học 8 - CTST
- Giải sgk Công nghệ 8 - CTST
- Giải sgk Hoạt động trải nghiệm 8 - CTST
- Giải sgk Âm nhạc 8 - CTST
- Lớp 8 - Cánh diều
- Soạn văn 8 Cánh diều (hay nhất)
- Soạn văn 8 Cánh diều (ngắn nhất)
- Giải sgk Toán 8 - Cánh diều
- Giải sgk Khoa học tự nhiên 8 - Cánh diều
- Giải sgk Lịch Sử 8 - Cánh diều
- Giải sgk Địa Lí 8 - Cánh diều
- Giải sgk Giáo dục công dân 8 - Cánh diều
- Giải sgk Tin học 8 - Cánh diều
- Giải sgk Công nghệ 8 - Cánh diều
- Giải sgk Hoạt động trải nghiệm 8 - Cánh diều
- Giải sgk Âm nhạc 8 - Cánh diều


Giải bài tập SGK & SBT
Tài liệu giáo viên
Sách
Khóa học
Thi online
Hỏi đáp

