Lý thuyết Bất phương trình bậc nhất một ẩn lớp 8 (hay, chi tiết)
Bài viết Lý thuyết Bất phương trình bậc nhất một ẩn lớp 8 hay, chi tiết giúp bạn nắm vững kiến thức trọng tâm Lý thuyết Bất phương trình bậc nhất một ẩn.
Lý thuyết Bất phương trình bậc nhất một ẩn
(199k) Xem Khóa học Toán 8 KNTTXem Khóa học Toán 8 CTSTXem Khóa học Toán 8 CD
Bài giảng: Bài 4: Bất phương trình bậc nhất một ẩn - Cô Vương Thị Hạnh (Giáo viên VietJack)
A. Lý thuyết
1. Định nghĩa
Bất phương trình dạng ax + b < 0 (hoặc ax + b > 0, ax + b < 0, ax + b ≤ 0, ax + b ≥ 0 ) trong đó a và b là hai số đã cho, a \ne 0 , được gọi là bất phương trình bậc nhất một ẩn.
Ví dụ:
Các bất phương trình bậc nhất một ẩn như: 2x + 3 > 0; 3 - x ≤ 0; x + 2 < 0; 4x + 7 ≥ 0; ...
2. Hai quy tắc biến đổi bất phương trình
a) Quy tắc chuyển vế
Khi chuyển một hạng tử của bất phương trình từ vế này sang vế kia ta đổi dấu hạng tử đó.
Ví dụ: Giải bất phương trình x - 3 < 4.
Lời giải:
Ta có x - 3 < 4
⇔ x < 4 + 3 (chuyển vế - 3 và đổi dấu thành 3)
⇔ x < 7.
Vậy tập nghiệm của bất phương trình là { x| x < 7 }.
b) Quy tắc nhân với một số.
Khi nhân hai vế của bất phương trình với cùng một số khác 0, ta phải:
Giữ nguyên chiều bất phương trình nếu số đó dương.
Đổi chiều bất phương trình nếu số đó âm.
Ví dụ 1: Giải bất phương trình (x - 1)/3 ≥ 2.
Lời giải:
Ta có: (x - 1)/3 ≥ 2
⇔ (x - 1)/3.3 ≥ 2.3 (nhân cả hai vế với 3)
⇔ x - 1 ≥ 6 ⇔ x ≥ 7.
Vậy tập nghiệm của bất phương trình là { x| x ≥ 7 }.
Ví dụ 2: Giải bất phương trình 1 - 2/3x ≤ - 1.
Lời giải:
Ta có: 1 - 2/3x ≤ - 1 ⇔ - 2/3x ≤ - 2
⇔ - 2/3x.( - 3 ) ≥ ( - 2 )( - 3 ) (nhân cả hai vế với - 3 và đổi chiều)
⇔ 2x ≥ 6 ⇔ x ≥ 3.
Vậy bất phương trình có tập nghiệm là { x| x ≥ 3 }.
3. Giải bất phương trình một ẩn
Áp dụng hai quy tắc biến đổi trên, ta giải bất phương trình bậc nhất một ẩn như sau:
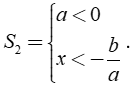
Dạng ax + b > 0 ⇔ ax > - b
⇔ x > - b/a nếu a > 0 hoặc x < - b/a nếu a < 0.
Vậy bất phương trình có tập nghiệm là
hoặc
Các dạng toán như ax + b < 0, ax + b ≤ 0, ax + b ≥ 0 tương tự như trên
Ví dụ 1: Giải bất phương trình 2x - 3 > 0
Lời giải:
Ta có: 2x - 3 > 0
⇔ 2x > 3 (chuyển - 3 sang VP và đổi dấu)
⇔ 2x:2 > 3:2 (chia cả hai vế cho 2)
⇔ x > 3/2.
Vậy bất phương trình đã cho có tập nghiệm là { x| x > 3/2 }.
Ví dụ 2: Giải bất phương trình 2x - 1 ≤ 3x - 7
Lời giải:
Ta có: 2x - 1 ≤ 3x - 7 ⇔ - 1 + 7 ≤ 3x - 2x
⇔ x ≥ 6.
Vậy bất phương trình đã cho có tập nghiệm là { x| x ≥ 6 }.
B. Bài tập tự luyện
Bài 1: Tìm tập nghiệm của các bất phương trình sau:
a) ( x + √ 3 )2 ≥ ( x - √ 3 )2 + 2
b) x + √ x < ( 2√ x + 3 )( √ x - 1 )
c) (x - 3)√(x - 2) ≥ 0
Lời giải:
a) Ta có: ( x + √ 3 )2 ≥ ( x - √ 3 )2 + 2
⇔ x2 + 2√ 3 x + 3 ≥ x2 - 2√ 3 x + 3 + 2
⇔ 4√3x ≥ 2 ⇔ x ≥ √3/6
Vậy bất phương trình đã cho có tập nghiệm là S = [ √ 3 /6; + ∞ )
b) Ta có: x + √ x < ( 2√ x + 3 )( √ x - 1 )
Điều kiện: x ≥ 0
⇔ x + √ x < 2x - 2√ x + 3√ x - 3
⇔ - x < - 3 ⇔ x > 3
Kết hợp điều kiện, tập nghiệm bất phương trình là: x > 3
Vậy bất phương trình đã cho có tập nghiệm là x > 3
c) Ta có: (x - 3)√(x - 2) ≥ 0
Điều kiện: x ≥ 2
Bất phương trình tương đương là
Vậy tập nghiệm của bất phương trình là x = 2 hoặc x ≥ 3
Bài 2: Có bao nhiêu giá trị thực của tham số m để bất phương trình ( m2 - m )x < m vô nghiệm là?
Lời giải:
Rõ ràng nếu m2 - m ≠ 0 ⇔ thì bất phương trình luôn có nghiệm.
Với m = 0, bất phương trình trở thành 0x < 0: vô nghiệm.
Với m = 1, bất phương trình trở thành 0x < 1: luôn đúng với mọi x ∈ R
Vậy với m = 0 thì bất phương trình trên vô nghiệm.
(199k) Xem Khóa học Toán 8 KNTTXem Khóa học Toán 8 CTSTXem Khóa học Toán 8 CD
Xem thêm các phần lý thuyết, các dạng bài tập Toán lớp 8 có đáp án chi tiết hay khác:
- Lý thuyết Bất phương trình một ẩn
- Bài tập Bất phương trình một ẩn
- Bài tập Bất phương trình bậc nhất một ẩn
- Lý thuyết Phương trình chứa dấu giá trị tuyệt đối
- Bài tập Phương trình chứa dấu giá trị tuyệt đối
- Tổng hợp Lý thuyết & Bài tập Bất phương trình bậc nhất một ẩn
Xem thêm các loạt bài Để học tốt Toán lớp 8 hay khác:
Tủ sách VIETJACK shopee lớp 6-8 (2025):
Đã có app VietJack trên điện thoại, giải bài tập SGK, SBT Soạn văn, Văn mẫu, Thi online, Bài giảng....miễn phí. Tải ngay ứng dụng trên Android và iOS.
Theo dõi chúng tôi miễn phí trên mạng xã hội facebook và youtube:Loạt bài Lý thuyết & 700 Bài tập Toán lớp 8 có lời giải chi tiết có đầy đủ Lý thuyết và các dạng bài có lời giải chi tiết được biên soạn bám sát nội dung chương trình sgk Đại số 8 và Hình học 8.
Nếu thấy hay, hãy động viên và chia sẻ nhé! Các bình luận không phù hợp với nội quy bình luận trang web sẽ bị cấm bình luận vĩnh viễn.
- Giải Tiếng Anh 8 Global Success
- Giải sgk Tiếng Anh 8 Smart World
- Giải sgk Tiếng Anh 8 Friends plus
- Lớp 8 - Kết nối tri thức
- Soạn văn 8 (hay nhất) - KNTT
- Soạn văn 8 (ngắn nhất) KNTT
- Giải sgk Toán 8 - KNTT
- Giải sgk Khoa học tự nhiên 8 - KNTT
- Giải sgk Lịch Sử 8 - KNTT
- Giải sgk Địa Lí 8 - KNTT
- Giải sgk Giáo dục công dân 8 - KNTT
- Giải sgk Tin học 8 - KNTT
- Giải sgk Công nghệ 8 - KNTT
- Giải sgk Hoạt động trải nghiệm 8 - KNTT
- Giải sgk Âm nhạc 8 - KNTT
- Lớp 8 - Chân trời sáng tạo
- Soạn văn 8 (hay nhất) - CTST
- Soạn văn 8 (ngắn nhất) - CTST
- Giải sgk Toán 8 - CTST
- Giải sgk Khoa học tự nhiên 8 - CTST
- Giải sgk Lịch Sử 8 - CTST
- Giải sgk Địa Lí 8 - CTST
- Giải sgk Giáo dục công dân 8 - CTST
- Giải sgk Tin học 8 - CTST
- Giải sgk Công nghệ 8 - CTST
- Giải sgk Hoạt động trải nghiệm 8 - CTST
- Giải sgk Âm nhạc 8 - CTST
- Lớp 8 - Cánh diều
- Soạn văn 8 Cánh diều (hay nhất)
- Soạn văn 8 Cánh diều (ngắn nhất)
- Giải sgk Toán 8 - Cánh diều
- Giải sgk Khoa học tự nhiên 8 - Cánh diều
- Giải sgk Lịch Sử 8 - Cánh diều
- Giải sgk Địa Lí 8 - Cánh diều
- Giải sgk Giáo dục công dân 8 - Cánh diều
- Giải sgk Tin học 8 - Cánh diều
- Giải sgk Công nghệ 8 - Cánh diều
- Giải sgk Hoạt động trải nghiệm 8 - Cánh diều
- Giải sgk Âm nhạc 8 - Cánh diều


Giải bài tập SGK & SBT
Tài liệu giáo viên
Sách
Khóa học
Thi online
Hỏi đáp

