Lý thuyết Biến đổi các biểu thức hữu tỉ. Giá trị của phân thức lớp 8 (hay, chi tiết)
Bài viết Lý thuyết Biến đổi các biểu thức hữu tỉ. Giá trị của phân thức lớp 8 hay, chi tiết giúp bạn nắm vững kiến thức trọng tâm Lý thuyết Biến đổi các biểu thức hữu tỉ. Giá trị của phân thức.
Lý thuyết Biến đổi các biểu thức hữu tỉ. Giá trị của phân thức lớp 8 (hay, chi tiết)
(199k) Xem Khóa học Toán 8 KNTTXem Khóa học Toán 8 CTSTXem Khóa học Toán 8 CD
A. Lý thuyết
Bài giảng: Bài 9: Biến đổi các biểu thức hữu tỉ. Giá trị của phân thức - Cô Phạm Thị Huệ Chi (Giáo viên VietJack)
1. Biểu thức hữu tỉ
+ Một biểu thức chỉ chứa các phép toán cộng, trừ, nhân , chia trên những phân thức. Ta gọi những biểu thức như thế là những biểu thức hữu tỉ
Ví dụ: Các biểu thức hữu tỉ như
2. Biến đổi một biểu thức hữu tỉ thành một phân thức
Nhờ các quy tắc của phép toán cộng, trừ, nhân, chia các phân thức ta có thể biến đổi các biểu thức hữu tỉ thành một phân thức.
Ví dụ: Biến đổi biểu thức
thành một phân thức
Lời giải:
Ta có:
3. Giá trị của phân thức
Các bài toán liên quan đến giá trị của phân thức
+ Trước tiên, tìm điều kiện của biến để giá trị tương ứng của mẫu thức khác 0.
+ Nếu tại giá trị của biến mà giá trị của phân thức được xác định thì phân thức ấy và phân thức được rút gọn có cùng một giá trị .
Ví dụ: Cho phân thức
a) Tìm điều kiện để phân thức trên xác định.
b) Tính giá trị của phân thức tại
Lời giải:
a) Điều kiện để phân thức xác định là ( x + 1 )( x - 2 ) ≠ 0 ⇒ x ≠ - 1; x ≠ 2.
b) Vì x= 1 thỏa mãn điều kiệm xác định của phân thức nên giá trị của phân thức tại x = 1 là:
Ta có:
B. Bài tập tự luyện
Bài 1: Tìm giá trị của x để giá trị của mỗi phân thức sau được xác định:
Lời giải:
a) Giá trị của phân thức (3x + 2)/(2x2 - 6x) được xác định khi và chỉ khi 2x2 - 6x ≠ 0
⇔ 2x( x - 3 ) ≠ 0 hay x ≠ 0, x ≠ 3.
Vậy với x ≠ 0, x ≠ 3 thì giá trị của phân thức đã cho xác định.
b) Giá trị của phân thức 5/(x2 - 3) được xác định khi và chỉ khi x2 - 3 ≠ 0
hay x ≠ ± √3 .
Vậy với x ≠ ± √3 thì giá trị của phân thức đã cho xác định.
Bài 2: Cho biểu thức
a) Tìm điều kiện của x để giá trị của biểu thức được xác định.
b) Rút gọn biểu thức.
c) Tính giá trị của biểu thức tại x = 20040.
Lời giải:
a) Giá trị của biểu thức xác định khi mỗi giá trị của phân thức trong biểu thức đều được xác định.
Khi đó điều kiện xác định: x2 - 10x ≠ 0, x2 + 10x ≠ 0, x2 + 4 ≠ 0
+ x2 - 10x ≠ 0 ⇔ x( x - 10 ) ≠ 0 khi x ≠ 0 và x - 10 ≠ 0 hay x ≠ 0,x ≠ 10.
+ x2 + 10x ≠ 0 ⇔ x( x + 10 ) ≠ 0 khi x ≠ 0 và x + 10 ≠ 0 hay x ≠ 0, x ≠ - 10.
+ x2 + 4 > 0 với mọi giá trị của x.
Vậy điều kiện xác định của biểu thức là x ≠ 0, x ≠ ± 10.
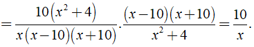
b) Ta có:
Vậy A = 10/x.
c) Với x = 20040, ta có: A = 10/20040 = 1/2004.
Vậy A = 1/2004 khi x = 20040.
Bài giảng: Bài 9: Biến đổi các biểu thức hữu tỉ. Giá trị của phân thức - Cô Vương Thị Hạnh (Giáo viên VietJack)
(199k) Xem Khóa học Toán 8 KNTTXem Khóa học Toán 8 CTSTXem Khóa học Toán 8 CD
Xem thêm các phần lý thuyết, các dạng bài tập Toán lớp 8 có đáp án chi tiết hay khác:
- Bài tập Biến đổi các biểu thức hữu tỉ. Giá trị của phân thức
- Tổng hợp Lý thuyết & Bài tập Phân thức đại số
- Lý thuyết Tứ giác
- Bài tập Tứ giác
- Lý thuyết Hình thang
- Bài tập Hình thang
Xem thêm các loạt bài Để học tốt Toán lớp 8 hay khác:
Tủ sách VIETJACK shopee lớp 6-8 (2025):
Đã có app VietJack trên điện thoại, giải bài tập SGK, SBT Soạn văn, Văn mẫu, Thi online, Bài giảng....miễn phí. Tải ngay ứng dụng trên Android và iOS.
Theo dõi chúng tôi miễn phí trên mạng xã hội facebook và youtube:Loạt bài Lý thuyết & 700 Bài tập Toán lớp 8 có lời giải chi tiết có đầy đủ Lý thuyết và các dạng bài có lời giải chi tiết được biên soạn bám sát nội dung chương trình sgk Đại số 8 và Hình học 8.
Nếu thấy hay, hãy động viên và chia sẻ nhé! Các bình luận không phù hợp với nội quy bình luận trang web sẽ bị cấm bình luận vĩnh viễn.
- Giải Tiếng Anh 8 Global Success
- Giải sgk Tiếng Anh 8 Smart World
- Giải sgk Tiếng Anh 8 Friends plus
- Lớp 8 - Kết nối tri thức
- Soạn văn 8 (hay nhất) - KNTT
- Soạn văn 8 (ngắn nhất) KNTT
- Giải sgk Toán 8 - KNTT
- Giải sgk Khoa học tự nhiên 8 - KNTT
- Giải sgk Lịch Sử 8 - KNTT
- Giải sgk Địa Lí 8 - KNTT
- Giải sgk Giáo dục công dân 8 - KNTT
- Giải sgk Tin học 8 - KNTT
- Giải sgk Công nghệ 8 - KNTT
- Giải sgk Hoạt động trải nghiệm 8 - KNTT
- Giải sgk Âm nhạc 8 - KNTT
- Lớp 8 - Chân trời sáng tạo
- Soạn văn 8 (hay nhất) - CTST
- Soạn văn 8 (ngắn nhất) - CTST
- Giải sgk Toán 8 - CTST
- Giải sgk Khoa học tự nhiên 8 - CTST
- Giải sgk Lịch Sử 8 - CTST
- Giải sgk Địa Lí 8 - CTST
- Giải sgk Giáo dục công dân 8 - CTST
- Giải sgk Tin học 8 - CTST
- Giải sgk Công nghệ 8 - CTST
- Giải sgk Hoạt động trải nghiệm 8 - CTST
- Giải sgk Âm nhạc 8 - CTST
- Lớp 8 - Cánh diều
- Soạn văn 8 Cánh diều (hay nhất)
- Soạn văn 8 Cánh diều (ngắn nhất)
- Giải sgk Toán 8 - Cánh diều
- Giải sgk Khoa học tự nhiên 8 - Cánh diều
- Giải sgk Lịch Sử 8 - Cánh diều
- Giải sgk Địa Lí 8 - Cánh diều
- Giải sgk Giáo dục công dân 8 - Cánh diều
- Giải sgk Tin học 8 - Cánh diều
- Giải sgk Công nghệ 8 - Cánh diều
- Giải sgk Hoạt động trải nghiệm 8 - Cánh diều
- Giải sgk Âm nhạc 8 - Cánh diều


Giải bài tập SGK & SBT
Tài liệu giáo viên
Sách
Khóa học
Thi online
Hỏi đáp

