Lý thuyết, Bài tập Toán 8 Chương 2 (sách mới)
Bài viết Tổng hợp Lý thuyết, Bài tập Toán 8 Chương 2 sách mới Cánh diều, Kết nối tri thức, Chân trời sáng tạo lớp 8 hay, chi tiết giúp bạn nắm vững kiến thức trọng tâm Toán 8 Chương 2.
Lý thuyết, Bài tập Toán 8 Chương 2 (sách mới)
(199k) Xem Khóa học Toán 8 KNTTXem Khóa học Toán 8 CTSTXem Khóa học Toán 8 CD
(Kết nối tri thức) Lý thuyết Toán 8 Chương 2: Hằng đẳng thức đáng nhớ và ứng dụng
(Chân trời sáng tạo) Lý thuyết Toán 8 Chương 2: Các hình khối trong thực tiễn
Lời giải bài tập Toán 8 Chương 2 sách mới:
(Kết nối tri thức) Giải Toán 8 Chương 2: Hằng đẳng thức đáng nhớ và ứng dụng
(Chân trời sáng tạo) Giải Toán 8 Chương 2: Các hình khối trong thực tiễn
Lưu trữ: Lý thuyết, Bài tập Toán 8 Chương 2 (sách cũ)
Bài giảng: Ôn tập chương 2 - Cô Vương Thị Hạnh (Giáo viên VietJack)
A. Lý thuyết
1. Định nghĩa về phân thức đại số
Một phân thức đại số (hay nói gọn là phân thức) là một biểu thức có dạng A/B, trong đó A, B là những đa thức và B khác đa thức 0.
Trong đó:
+ A được gọi là tử thức (hay gọi là tử).
+ B được gọi là mẫu thức (hay gọi là mẫu).
2. Hai phân thức bằng nhau
Hai phân thức A/B và C/D được gọi là bằng nhau nếu: A.D = B.C
Ta viết: A/B = C/D nếu A.D = B.C .
3. Tính chất cơ bản của phân thức
+ Nếu nhân cả tử và mẫu của một phân thức với cùng một đa thức khác đa thức không thì được một phân thức bằng phân thức đã cho.
A/B = (A.M)/(B.M) (M là một đa thức khác đa thức 0)
+ Nếu chia cả tử và mẫu của một phân thức với cùng một đa thức khác đa thức không thì được một phân thức bằng phân thức đã cho.
A/B = (A:M)/(B:M) (M là một đa thức khác đa thức 0)
+ Quy tắc đổi dấu.
Nếu đổi dấu cả tử và mẫu của một phân thức thì nhận được phân thức mới bằng phân thức đã cho.
Ta có thể viết như sau: A/B = (-A)/(-B)
4. Quy tắc rút gọn phân thức
Muốn rút gọn một phân thức đại số ta cần phải:
+ Đặt điều kiện xác định cho mẫu thức.
+ Phân tích tử và mẫu thành nhân tử (nếu cần) để tìm nhân tử chung
+ Chia cả tử và mẫu cho nhân tử chung giống nhau
Chú ý:
+ Có khi cần đổi dấu tử hoặc mẫu thức để xuất hiện nhân tử chung.
+ Cần chú ý tính chất A = -(-A)
5. Quy đồng mẫu thức nhiều phân thức
a) Quy tắc tìm mẫu thức chung
Khi quy đồng mẫu thức nhiều phân thức, muốn tìm mẫu thức chung ta có thể theo hướng như sau:
+ Phân tích mẫu thức của các phân thức đã cho thành nhân tử.
+ Mẫu thức chung cần tìm là một tích mà các nhân tử được chọn như sau:
Nhân tử bằng số của mẫu thức chung là tích các nhân tử bằng số ở các mẫu thức của các phân thức đã học. (Nếu các nhân tử bằng số ở các mẫu thức là những số nguyên dương thì nhân tử bằng số của mẫu thức chung là BCNN của chúng).
Với mỗi cơ số của luỹ thừa có mặt trong các mẫu thức ta chọn luỹ thừa với só mũ cao nhất.
b) Quy đồng phân thức
Muốn quy đồng mẫu thức nhiều phân thức ta có thể làm như sau:
+ Phân tích các mẫu thức thành nhân tử rồi tìm mẫu thức chung
+ Tìm nhân tử phụ của mỗi mẫu thức.
+ Nhân tử và mẫu của mỗi phânthức với nhân tử phụ tương ứng
6. Phép cộng các phân thức đại số
a) Cùng mẫu số
Muốn cộng hai phân thức cùng mẫu thức ta cộng các tử thức với nhau, giữ nguyên mẫu thức.
Ta có thể viết như sau: A/B + C/B = (A +C)/B
b) Khác mẫu
Muốn cộng hai phân thức có mẫu thức khác nhau, ta quy đồng mẫu thức rồi cộng các phân thức có cùng mẫu thức vừa tìm được.
Ta có thể viết như sau: A/B + C/D = (A.D)/(B.D) + (C.B)/(B.D) = (AD + BC)/BD
7. Phép trừ các phân thức đại số
a) Phân thức đối
Hai phân thức được gọi là phân thức đối nếu tổng của chúng bằng 0.
Tổng quát: A/B + (-A/B) = 0
+ Phân thức đối của phân thức A/B là -A/B
+ Phân thức đối của phân thức -A/B là A/B.
b) Quy tắc
Muốn trừ phân thức A/B cho phân thức C/D, ta cộng phân thức A/B cho phân thức đối của phân thức C/D.
Ta có thể viết như sau: A/B - C/D = A/B + (-C/D)
Kết quả của phép trừ A/B cho C/D được gọi là hiệu của A/B và C/D.
8. Phép nhân các phân thức đại số
Muốn nhân hai phân thức với nhân, ta nhân các tử thức với nhau, các mẫu thức với nhau.
Ta có thể viết như sau: A/B .CD = (A.C)/(B.D)
9. Phép chia các phân thức đại số
a) Phân thức nghịch đảo
Hai phân thức được gọi là nghịch đảo của nhau nếu tích của chúng bằng 1.
Tổng quát: A/B là một phân thức khác 0, ta có A/B . B/A =1
Do đó ta có:
B/A được gọi là phân thức nghịch đảo của phân thức A/B.
A/B được gọi là phân thức nghịch đảo của phân thức B/A.
b) Phép chia
Quy tắc: Muốn chia phân thức A/B cho phân thức C/D khác 0, ta nhân phân thức A/B với phân thức nghịch đảo của C/D
Ta có thể viết: A/B : C/D = A/B . D/C với C/D≠0
B. Trắc nghiệm & Tự luận
I. Bài tập trắc nghiệm
Bài 1: Điều kiện xác định của phân thức
là ?
A. x = ± 4/3. B. x ≠ ± 4/3.
C. - 4/3 < x < 4/3. D. x > 4/3.
Lời giải:
Ta có điều kiện xác định của phân thức
là 9x2 - 16 ≠ 0
⇔ 9x2 ≠ 16 ⇔ x2 ≠ 16/9 ⇔ x ≠ ± 43.
Chọn đáp án B.
Bài 2: Giá trị của x để phân thức
bằng 0 ?
A. x = ± 4. B. x ≠ 1.
C. x = 0. D. x = - 1.
Lời giải:
Để phân thức
bằng 0 ⇒
Chọn đáp án C.
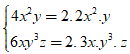
Bài 3: Cặp phân thức nào không bằng nhau ?
Lời giải:
+ Ta có
⇒ 16xy.3 = 24x.2y ⇔ (16xy)/(24x) = (2y)/3.
+ Ta có
⇒ 3.16xy = 2y.24x ⇔ 3/(24x) = (2y)/(16xy).
+ Ta có
⇒ - 16xy.3 = - 2y.24x ⇔ (- 16xy)/(24x) = (- 2y)/3.
+ Ta có
⇒ - x2y.3ykhông bằng xy.3xy.
⇒ (- x2y)/(3xy) không bằng (xy)/(3y).
Chọn đáp án D.
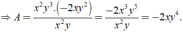
Bài 4: Tìm biểu thức A sao cho :
A. - 2x2y. B. x2y4.
C. - 2xy4. D. - x3y.
Lời giải:
Ta có:
⇔ x2y3.( - 2xy2 ) = x2y.A
Chọn đáp án C.
Bài 5: Biểu thức nào sau đây không phải là phân thức đại số ?
A. 1/(x2 + 1) B. (x + 1)/2
C. x2 - 5 D. (x + 1)/0
Lời giải:
Nhớ lại định nghĩa: Một phân thức đại số (hay nói gọn là phân thức) là một biểu thức có dạng A/B, trong đó A, B là những đa thức và B khác đa thức 0.
+ 1/(x2 + 1) có A = 1;B = x2 + 1 ≠ 0 ⇒ 1/(x2 + 1) là phân thức đại số.
+ (x + 1)/2 có A = x + 1;B = 2 ≠ 0 ⇒ (x + 1)/2 là phân thức đại số.
+ x2 - 5 có A = x2 - 5;B = 1 ⇒ x2 - 5 là phân thức đại số.
+ (x + 1)/0 có A = x + 1;B = 0 ⇒ (x + 1)/0 không phải là phân thức đại số .
Chọn đáp án D.
Bài 6: Cho phân thức 2/(x - 1), nhân cả tử và mẫu với đa thức ( x + 1 ) ta được phân thức mới là ?
Lời giải:
Nhân cả tử và mẫu với đa thức ( x + 1 ) ta được phân thức mới là
Ta có
(áp dụng hằng đẳng thức A2 - B2 = ( A - B )( A + B ) )
Chọn đáp án C.
Bài 7: Với giá trị nào của x thì hai phân thức (x - 2)/(x2 - 5x + 6) và 1/(x - 3) bằng nhau ?
A. x = 2 B. x = 3
C. x ≠ 2,x ≠ 3. D. x = 0.
Lời giải:
+ Giá trị của phân thức (x - 2)/(x2 - 5x + 6) được xác định khi và chỉ khi x2 - 5x + 6 ≠ 0
⇔ ( x - 3 )( x - 2 ) ≠ 0 hay x ≠ 2,x ≠ 3.
+ Giá trị của phân thức 1/(x - 3) được xác định khi và chỉ khi x - 3 ≠ 0 hay x ≠ 3.
Với x ≠ 2,x ≠ 3 ta có:
Vậy với x ≠ 2,x ≠ 3 ta có:
Chọn đáp án C.
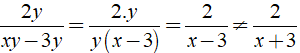
Bài 8: Phân thức 2/(x + 3) bằng với phân thưc nào dưới đây ?
Lời giải:
Ta có:
+
⇒ Đáp án A sai.
+
⇒ Đáp án B sai.
+
⇒ Đáp án C đúng.
+
⇒ Đáp án D sai.
Chọn đáp án C.
Bài 9: Điền vào chỗ trống đa thức sao cho
A. x2 - 4x. B. x2 + 4x.
C. x2 + 4. D. x2 - 4.
Lời giải:
Gọi A là đa thức cần tìm thỏa mãn A( x - 4 ) = x( x2 - 16 )
Ta có: A( x - 4 ) = x( x - 4 )( x + 4 ) ⇒ A = x( x + 4 ) = x2 + 4x
Chọn đáp án B.
Bài 10: Kết quả của rút gọn biểu thức (6x2y2)/(8xy5) là ?
A. 6/8 B. (3x)/(4y3)
C. 2xy2 D. (x2y2)/(xy5)
Lời giải:
Điều kiện xác định là x ≠ 0;y ≠ 0.
Ta có (6x2y2)/(8xy5) = (2.3.xy2.x)/(2.4.xy2.y3) = (3x)/(4y3).
Chọn đáp án B.
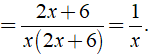
Bài 11: Kết quả của rút gọn biểu thức (x2 - 16)/(4x - x2)( x ≠ 0,x ≠ 4 ) là ?
A. (x - 4)/x. B. (x + 4)/(x - 4).
C. (x + 4)/( - x) D. (4 - x)/( - x).
Lời giải:
Điều kiện xác định là x ≠ 0;x ≠ 4
Ta có
Chọn đáp án C.
Bài 12: Rút gọn biểu thức
là
Lời giải:
Điều kiện xác định x,y ≠ 0;x2 + 3x + 2 ≠ 0
Ta có
Chọn đáp án B.
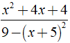
Bài 13: Rút gọn phân thức
được kết quả là ?
A. ( - x - 2)/(x + 8) B. (x + 2)/(x - 8)
C. (x + 2)/(x + 8) D. ( - x - 2)/(x - 8)
Lời giải:
Điều kiện xác định: 9 - ( x + 5 )2 ≠ 0.
Ta có:
Chọn đáp án A.
Bài 14: Cho kết quả sai trong các phương án sau đây ?
Lời giải:
Ta có:
+
⇒ Đáp án A đúng.
+
⇒ Đáp án B đúng.
+
⇒ Đáp án C đúng.
+
⇒ Đáp án D sai.
Chọn đáp án D.
Bài 15: Hai phân thức 1/(4x2y) và 5/(6xy3z) có mẫu thức chung đơn giản nhất là ?
A. 8x2y3z B. 12x3y3z
C. 24x2y3z D. 12x2y3z
Lời giải:
Ta có
⇒ Mẫu thức chung đơn giản nhất là: 12x2y3z
Chọn đáp án D.
Bài 16: Hai phân thức 5/(2x + 6) và 3/(x2 - 9) có mẫu thức chung đơn giản nhất là ?
A. x2 - 9. B. 2( x2 - 9 ).
C. x2 + 9. D. x - 3
Lời giải:
Ta có:
⇒ MTC = 2( x - 3 )( x + 3 ) = 2( x2 - 9 )
Chọn đáp án B.
Bài 17: Hai phân thức (x + 1)/(x2 + 2x - 3) và (-2x)/(x2 + 7x + 10) có mẫu thức chung là ?
A. x3 + 6x2 + 5x - 12
B. x3 - 6x2 + 3x - 10
C. x3 + 6x2 - 3x - 10
D. x3 + 6x2 + 3x + 10
Lời giải:
Chọn đáp án A.
Bài 18: Kết quả của phép cộng
là ?
Lời giải:
Ta có:
⇒ MTC = - 2( x - 1 )( x + 1 ).
Khi đó ta có:
Chọn đáp án B.
Bài 19: Kết quả của phép cộng
là ?
A. 4/(xy2) B. (4x)/(y3)
C. 2/(x2y2) D. (2y)/(x2)
Lời giải:
Ta có
Chọn đáp án A.
Bài 20: Rút gọn biểu thức
được kết quả là ?
A. 3. B. - 3.
C. 3/(x - 5) D. ( - 3)/(x - 5).
Lời giải:
Ta có:
Chọn đáp án A.
Bài 21: Rút gọn biểu thức
được kết quả là ?
A. 3 - x. B. x - 3
C. x + 3. D. - x - 3.
Lời giải:
Ta có:
Chọn đáp án B.
Bài 22: Rút gọn biểu thức
được kết quả là ?
A. (2x + y)/(xy) B. (2x - y)/(xy)
C. ( - 2x - y)/(xy) D. (y - 2x)/(xy)
Lời giải:
Ta có:
⇒ MTC = - xy( 2x - y ).
Khi đó ta có:
Chọn đáp án C.
Bài 23: Rút gọn biểu thức
được kết quả là ?
A. 1/(xy) B. ( - 1)/(xy)
C. (x - 1)/(xy) D. (1 - x)/(xy)
Lời giải:
Ta có:
Chọn đáp án B.
Bài 24: Rút gọn biểu thức
được kết quả ?
A. 1/2 B. - 1/2.
C. 1/(10x - 4) D. - 1/(10x - 4).
Lời giải:
Ta có:
Chọn đáp án A.
Bài 25: Thực hiện phép trừ phân thức
được kết quả là ?
A. - 1/x. B. 1/(x + 3).
C. 1/x D. - 1/(x + 3)
Lời giải:
Ta có:
⇒ MTC = 2x( x + 3 )
Khi đó ta có:
Chọn đáp án C.
Bài 26: Thực hiện phép tính
được kết quả là?
A. 3/(x2 - 1) B. 3/(1 - x2)
C. 3 D. - 3
Lời giải:
Ta có:
Chọn đáp án C.
Bài 27: Rút gọn biểu thức
được kết quả là?
Lời giải:
+
⇒ MTC = - x( 5x + 1 )( 5x - 1 ).
Khi đó ta có:
Chọn đáp án A.
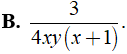
Bài 28: Kết quả của phép tính
là ?
A. - (3y)/(22x2) B. (3y)/(22x2)
C. y/(11x2) D. - y/(11x2)
Lời giải:
Ta có:
Chọn đáp án A.
Bài 29: Rút gọn biểu thức
được kết quả là ?
Lời giải:
Ta có:
Chọn đáp án C.
Bài 30: Rút gọn biểu thức
được kết quả là ?
A. 5/2 B. 3/2
C. - 3/2 D. - 5/2
Lời giải:
Ta có:
Chọn đáp án D.
Bài 31: Rút gọn biểu thức
được kết quả là ?
Lời giải:
Ta có:
Chọn đáp án B.
Bài 32: Rút gọn biểu thức
được kết quả là ?
A. (2x3 - 1)/x B. (1 - 2x3)/x
C. 1/x D. - 1/x
Lời giải:
Ta có:
Chọn đáp án A.
Bài 33: Kết quả của phép chia
là ?
A. 5/(3x2y) B. - 5/(x2y)
C. 25/(3x2y) D. - 25/(3x2y)
Lời giải:
Ta có:
Chọn đáp án C.
Bài 34: Kết quả của phép tính
là ?
Lời giải:
Ta có:
Chọn đáp án C.
Bài 35: Kết quả của phép tính
là ?
Lời giải:
Ta có:
Chọn đáp án A.
Bài 36: Kết quả của phép tính
được kết quả là ?
Lời giải:
Ta có:
Chọn đáp án A.
Bài 37: Biểu thức Q nào thỏa mãn
là?
A. (2 - x)/(x2) B. (x - 2)/(x2)
C. (x + 2)/(x2) D. - (x + 2)/(x2)
Lời giải:
Ta có:
Chọn đáp án B.
Bài 38: Biến đổi biểu thức
thành phân thức đại số là ?
A. ( x - 1 )2 B. - ( x - 1 )2
C. ( x + 1 )2 D. - ( x + 1 )2
Lời giải:
Ta có:
Chọn đáp án A.
Bài 39: Với giá trị nào của x thì phân thức (5x)/(2x + 4) xác định ?
A. x = 2. B. x ≠ -2.
C. x > 2. D. x ≤ 2.
Lời giải:
Giá trị của phân thức (5x)/(2x + 4) xác định khi và chỉ khi 2x + 4 ≠ 0 ⇔ x ≠ - 2.
Chọn đáp án B.
Bài 40: Giá trị của biểu thức
tại x = 1 là ?
A. A = 1. B. A = - 2.
C. A = - 1. D. Đáp án khác.
Lời giải:
Tại x = 1 thì biểu thức đã cho không xác định
Chọn đáp án D.
II. Bài tập tự luận
1. Nhận biết – Thông hiểu
Bài 1: Tìm điều kiện xác định của phân thức
Lời giải:
a) Phân thức
xác định ⇔ x2 - 4x + 4 ≠ 0
⇔ ( x - 2 )2 ≠ 0 ⇒ x ≠ 2 (vì ( x - 2 )2 ≥ 0 )
Vậy điều kiện xác định của phân thức
là x ≠ 2.
b) Phân thức
xác định ⇔ x2 - 1 ≠ 0
⇔ ( x - 1 )( x + 1 ) ≠ 0 ⇔ x ≠ ± 1.
Vậy điều kiện xác định của phân thức
là x ≠ ± 1.
c) Phân thức
xác định ⇔ ( x + 1 )( x - 3 ) ≠ 0
Vậy điều kiện xác định của phân thức
là x ≠ - 1 và x ≠ 3
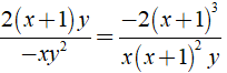
Bài 2: Chứng minh các phân thức sau bằng nhau
Lời giải:
a) Ta có
Vì
⇒ 3x2y.( (- 1/3)xy2 ) = - xy3.x2
⇒
b) Ta có
Vì
⇒ 2( x + 1 )y.x( x + 1 )2y = - xy2. - 2( x + 1 )3
⇒
Bài 3: Rút gọn các biểu thức sau
Lời giải:
a) Ta có:
b) Ta có:
c) Ta có:
Bài 4: Quy đồng mẫu của các phân thức sau:
Lời giải:
a) Coi x2 + 1 = (x2 + 1)/1
⇒ Mẫu thức chung là x2 - 1.
Khi đó ta có:
b) Ta có
+ x3 - 3x2y + 3xy2 - y3 = ( x - y )3
+ y2 - xy = y( y - x ) = - y( x - y )
⇒ Mẫu thức chung là -y( x - y )3.
Khi đó ta có:
+
+
Bài 5: Thực hiện phép cộng các phân thức sau:
Lời giải:
a) Ta có:
+
⇒ MTC = 2x( x + 3 )
Khi đó ta có:
b) Ta có:
c) Ta có:
+
⇒ MTC = - ( x - 1 )( x2 + x + 1 )
Khi đó ta có:
Bài 6: Rút gọn rồi tính giá trị biểu thức
với x= 14 và y= -15
Lời giải:
Ta có:
Với x= 14 và y= -15 , ta có:
2. Vận dung – Vận dụng cao
Bài 1: Rút gọn phân thức sau:
Lời giải:
a) Ta có:
b) Ta có:
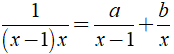
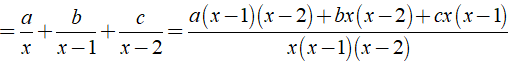
Bài 2: Xác định giá trị a, b, c để
Lời giải:
Ta có:
Dùng phương pháp hệ số bất định, khi đó ta có hệ:
Bài 3:
a) Rút gọn biểu thức
b) Xác định giá trị a, b để
Lời giải:
a) Ta có:
Vậy
b) Ta có:
Áp dụng phương pháp hệ số bất định ta có:
Vậy giá trị a, b cần tìm là a= 1/4, b= -1/4
Bài 4:
a) Xác định giá trị a, b để
b) Áp dụng để rút gọn biểu thức sau:
Lời giải:
a) Ta có:
Áp dụng phương pháp hệ số bất định ta có:
Vậy giá trị a, b cần tìm là a= 1, b= -1
b) Áp dụng kết quả của phần a, ta có:
Bài 5: Xác định giá trị của a, b, c để
Lời giải:
Ta có:
Áp dụng phương pháp hệ số bất định ta có:
Vậy giá trị a, b, c cần tìm là a= 1, b= -1, c= 0.
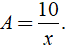
Bài 6: Cho biểu thức
a) Tìm điều kiện của x để giá trị của biểu thức được xác định.
b) Rút gọn biểu thức.
c) Tính giá trị của biểu thức tại
Lời giải:
a) Giá trị của biểu thức xác định khi mỗi giá trị của phân thức trong biểu thức đều được xác định.
Khi đó điều kiện xác định: x2 - 10x ≠ 0,x2 + 10x ≠ 0,x2 + 4 ≠ 0
+ x2 - 10x ≠ 0 ⇔ x( x - 10 ) ≠ 0 khi x ≠ 0 và x - 10 ≠ 0 hay x ≠ 0,x ≠ 10.
+ x2 + 10x ≠ 0 ⇔ x( x + 10 ) ≠ 0 khi x ≠ 0 và x + 10 ≠ 0 hay x ≠ 0,x ≠ - 10.
+ x2 + 4 > 0 với mọi giá trị của x.
Vậy điều kiện xác định của biểu thức là x ≠ 0,x ≠ ± 10.
b) Ta có:
Vậy
c) Với x = 20040, ta có: A = 10/20040 = 1/2004.
Vậy A = 1/2004 khi x = 20040.
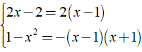
Bài 7: Cho biểu thức
a) Tìm điều kiện giác trị của x để giá trị của biểu thức xác định.
b) Chứng minh rằng khi giá trị của biểu thức xác định thì giá trị của nó không phụ thuộc vào biến x
Lời giải:
a) Giá trị của biểu thức xác định khi mỗi giá trị của phân thức trong biểu thức đều được xác định.
Khi đó điều kiện xác định là: 2x - 2 ≠ 0;x2 - 1 ≠ 0;2x + 2 ≠ 0 hay x ≠ ± 1
Vậy với x ≠ ± 1 thì giá trị của biểu thức xác định.
b) Ta có:
⇒ Giá trị của biểu thức A không phụ thuộc vào biến x
Bài 8: Tìm giá trị của x để
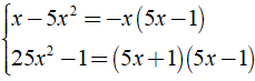
Lời giải:
Điều kiện xác định: x2 - 5x ≠ 0 ⇔ x( x - 5 ) ≠ 0 ⇔ x ≠ 0,x ≠ 5.
Ta có: (x3 - 10x2 + 25x)/(x2 - 5x) = 0 ⇔ x3 - 10x2 + 25x = 0
⇔ x( x2 - 10x + 25 ) = 0 ⇔ x( x - 5 )2 = 0
So sánh điều kiện, không có giá trị nào của x thỏa mãn.
Vậy không có giá trị x nào thỏa mãn yêu cầu đề bài.
Bài 9: Cho a3 + b3 + c3 = 3abc và a + b + c ≠ 0.Tính giá trị của biểu thức
Lời giải:
Ta có: a3 + b3 + c3 = 3abc ⇔ a3 + b3 + c3 - 3abc = 0
⇔ ( a + b )3 + c3 - 3ab( a + b ) - 3abc = 0
⇔ ( a + b )3 + c3 - 3ab( a + b + c ) = 0
⇔ ( a + b + c )3 - 3( a + b )c( a + b + c ) - 3ab( a + b + c ) = 0
⇔ ( a + b + c )( a2 + b2 + c2 - ab - bc - ca ) = 0
⇒ a2 + b2 + c2 - ab - bc - ca = 0 (vì a + b + c ≠ 0. )
⇔ a2 + b2 + c2 = ab + bc + ca.
Khi đó ta có:
Vậy A= 1/3
Bài 10: Rút gọn biểu thức
Lời giải:
Xét biểu thức tổng quát:
Khi đó ta có:
Vậy
(199k) Xem Khóa học Toán 8 KNTTXem Khóa học Toán 8 CTSTXem Khóa học Toán 8 CD
Xem thêm các phần lý thuyết, các dạng bài tập Toán lớp 8 có đáp án chi tiết hay khác:
- Lý thuyết Biến đổi các biểu thức hữu tỉ. Giá trị của phân thức
- Bài tập Biến đổi các biểu thức hữu tỉ. Giá trị của phân thức
- Lý thuyết Tứ giác
- Bài tập Tứ giác
- Lý thuyết Hình thang
- Bài tập Hình thang
Xem thêm các loạt bài Để học tốt Toán lớp 8 hay khác:
Tủ sách VIETJACK shopee lớp 6-8 (2025):
Đã có app VietJack trên điện thoại, giải bài tập SGK, SBT Soạn văn, Văn mẫu, Thi online, Bài giảng....miễn phí. Tải ngay ứng dụng trên Android và iOS.
Theo dõi chúng tôi miễn phí trên mạng xã hội facebook và youtube:Loạt bài Lý thuyết & 700 Bài tập Toán lớp 8 có lời giải chi tiết có đầy đủ Lý thuyết và các dạng bài có lời giải chi tiết được biên soạn bám sát nội dung chương trình sgk Đại số 8 và Hình học 8.
Nếu thấy hay, hãy động viên và chia sẻ nhé! Các bình luận không phù hợp với nội quy bình luận trang web sẽ bị cấm bình luận vĩnh viễn.
- Giải Tiếng Anh 8 Global Success
- Giải sgk Tiếng Anh 8 Smart World
- Giải sgk Tiếng Anh 8 Friends plus
- Lớp 8 - Kết nối tri thức
- Soạn văn 8 (hay nhất) - KNTT
- Soạn văn 8 (ngắn nhất) KNTT
- Giải sgk Toán 8 - KNTT
- Giải sgk Khoa học tự nhiên 8 - KNTT
- Giải sgk Lịch Sử 8 - KNTT
- Giải sgk Địa Lí 8 - KNTT
- Giải sgk Giáo dục công dân 8 - KNTT
- Giải sgk Tin học 8 - KNTT
- Giải sgk Công nghệ 8 - KNTT
- Giải sgk Hoạt động trải nghiệm 8 - KNTT
- Giải sgk Âm nhạc 8 - KNTT
- Lớp 8 - Chân trời sáng tạo
- Soạn văn 8 (hay nhất) - CTST
- Soạn văn 8 (ngắn nhất) - CTST
- Giải sgk Toán 8 - CTST
- Giải sgk Khoa học tự nhiên 8 - CTST
- Giải sgk Lịch Sử 8 - CTST
- Giải sgk Địa Lí 8 - CTST
- Giải sgk Giáo dục công dân 8 - CTST
- Giải sgk Tin học 8 - CTST
- Giải sgk Công nghệ 8 - CTST
- Giải sgk Hoạt động trải nghiệm 8 - CTST
- Giải sgk Âm nhạc 8 - CTST
- Lớp 8 - Cánh diều
- Soạn văn 8 Cánh diều (hay nhất)
- Soạn văn 8 Cánh diều (ngắn nhất)
- Giải sgk Toán 8 - Cánh diều
- Giải sgk Khoa học tự nhiên 8 - Cánh diều
- Giải sgk Lịch Sử 8 - Cánh diều
- Giải sgk Địa Lí 8 - Cánh diều
- Giải sgk Giáo dục công dân 8 - Cánh diều
- Giải sgk Tin học 8 - Cánh diều
- Giải sgk Công nghệ 8 - Cánh diều
- Giải sgk Hoạt động trải nghiệm 8 - Cánh diều
- Giải sgk Âm nhạc 8 - Cánh diều


Giải bài tập SGK & SBT
Tài liệu giáo viên
Sách
Khóa học
Thi online
Hỏi đáp

