40 Bài tập Phân tích đa thức thành nhân tử lớp 8 (có đáp án)
Bài viết 40 Bài tập Phân tích đa thức thành nhân tử có đáp án gồm các dạng bài tập về Phân tích đa thức thành nhân tử lớp 8 như phương pháp đặt nhân tử chung, phương pháp dùng hằng đẳng thức, phương pháp nhóm hạng tử từ cơ bản đến nâng cao giúp học sinh lớp 8 biết cách làm bài tập Phân tích đa thức thành nhân tử.
40 Bài tập Phân tích đa thức thành nhân tử lớp 8 (có đáp án)
(199k) Xem Khóa học Toán 8 KNTTXem Khóa học Toán 8 CTSTXem Khóa học Toán 8 CD
Bài tập Phân tích đa thức thành nhân tử
Bài 1: Đa thức 4x( 2y - z ) + 7y( z - 2y ) được phân tích thành nhân tử là ?
A. ( 2y + z )( 4x + 7y )
B. ( 2y - z )( 4x - 7y )
C. ( 2y + z )( 4x - 7y )
D. ( 2y - z )( 4x + 7y )
Lời giải:
Ta có 4x( 2y - z ) + 7y( z - 2y ) = 4x( 2y - z ) - 7y( 2y - z ) = ( 2y - z )( 4x - 7y ).
Chọn đáp án B.
Bài 2: Đa thức x3( x2 - 1 ) - ( x2 - 1 ) được phân tích thành nhân tử là ?
A. ( x - 1 )2( x + 1 )( x2 + x + 1 )
B. ( x3 - 1 )( x2 - 1 )
C. ( x - 1 )( x + 1 )( x2 + x + 1 )
D. ( x - 1 )2( x + 1 )( x2 + x + 1 )
Lời giải:
Ta có x3( x2 - 1 ) - ( x2 - 1 ) = ( x2 - 1 )( x3 - 1 ) = ( x - 1 )( x + 1 )( x - 1 )( x2 + x + 1 )
= ( x - 1 )2( x + 1 )( x2 + x + 1 )
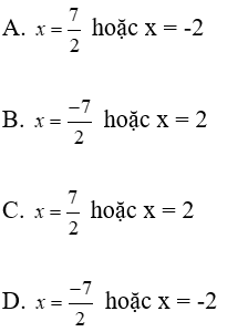
Chọn đáp án D.
Sai lầm: Nhiều em học sinh mắc phải sai lầm là nhóm nhân tử ( x2 - 1 )( x3 - 1 ) mà không nhận ra trong hai đa thức ( x2 - 1 ) và ( x3 - 1 ) có nhân tử chung là ( x - 1 ) để đặt làm nhân tử chung. Dẫn đến nhiều em sẽ chọn đáp án B.
Bài 3: Tìm giá trị y thỏa mãn 49( y - 4 )2 - 9( y + 2 )2 = 0 ?
Lời giải:
Ta có 49( y - 4 )2 - 9( y + 2 )2 = 0
⇔ 49( y2 - 8y + 16 ) - 9( y2 + 4y + 4 ) = 0
⇔ 49y2 - 392y + 784 - 9y2 - 36y - 36 = 0
⇔ 40y2 - 428y + 748 = 0 ⇔ 4( 10y2 - 107y + 187 ) = 0
⇔ 4[ ( 10y2 - 22y ) - ( 85y - 187 ) ] = 0 ⇔ 4[ 2y( 5y - 11 ) - 17( 5y - 11 ) ] = 0
⇔ 4( 5y - 11 )( 2y - 17 ) = 0
Chọn đáp án A.
Bài 4: Tính giá trị của biểu thức A = x2 - y2 + 2y - 1 với x=3 và y=1.
A. A = - 9. B. A = 0.
C. A = 9. D. A = - 1.
Lời giải:
Ta có A = x2 - y2 + 2y - 1 = x2 - ( y2 - 2y + 1 )
= x2 - ( y - 1 )2 = ( x - y + 1 )( x + y - 1 ) (hằng đẳng thức a2 - b2 = ( a - b )( a + b ) ).
Khi đó với x = 3 và y = 1, ta có A = ( 3 - 1 + 1 )( 3 + 1 - 1 ) = 3.3 = 9.
Chọn đáp án C.
Bài 5: Phân tích đa thức thành nhân tử: x3 + x2 + y3 + xy
A. (x + y).(x2 - xy + y2 + x)
B. (x - y).(x2 + xy + y2 - x)
C. (x + y).(x2 + xy + y2 - x)
D. (x - y).(x2 + xy - y2 + x)
Lời giải:
Ta có: x3 + x2 + y3 + xy = (x3 + y3) + (x2 + xy)
= (x + y). (x2 – xy + y2) + x.(x + y)
= (x + y). (x2 - xy + y2 + x)
Chọn đáp án A
Bài 6: Phân tích đa thức thành nhân tử: x3 – 9x + 2x2y + xy2
A. x. (x - y + 3).(x + y - 3)
B. x. (x + y + 3).(x + y - 3)
C. x. (x - y + 3).(x - y - 1)
D. x. (x + y + 1).(x - y - 3)
Lời giải:
Ta có: x3 – 9x + 2x2y + xy2
= x.(x2 – 9 + 2xy + y2)
= x.[(x2 + 2xy + y2) – 9]
= x.[(x + y)2 – 32]
= x.(x + y + 3).(x + y - 3)
Chọn đáp án B
Bài 7: Phân tích đa thức thành nhân tử: x5 + 4x
A. x.(x2 + 2 ).(x2 - 2).
B. x.(x2 + 2 + x).(x2 + 2- x).
C. x.(x2 + 2 + 2x).(x2 + 2 - 2x).
D. x.(x4 + 4)
Lời giải:
Ta có:
x5 + 4x = x.(x4 + 4)
= x.[(x4 + 4x2 + 4) - 4x2].
= x.[(x2 + 2)2 - (2x)2].
= x.(x2 + 2 + 2x).(x2 + 2 - 2x).
Chọn đáp án C
Bài 8: Phân tích đa thức thành nhân tử A = x2 – 5x + 4
A. (x - 4).(x - 1)
B. (x – 4).(x + 1)
C. (x + 4).(x + 1)
D. Đáp án khác
Lời giải:
Ta có:
A = x2 – 5x + 4 = x2 – x - 4x + 4
A = (x2 – x ) – (4x – 4)
A = x(x – 1) - 4(x – 1)
A = (x - 4). (x – 1)
Chọn đáp án A
Bài 9: Phân tích đa thức thành nhân tử:
Lời giải:
Chọn đáp án D
Bài 10: Phân tích đa thức thành nhân tử: 2x2y + 2x + 4xy + x2 + 2y + 1
A. (x + 1)2. (2y + 1).
B. (x - 1)2. (2y - 1).
C. (x2 + x + 1). (2y + 1).
D. Đáp án khác
Lời giải:
Ta có:
2x2y + 2x + 4xy + x2 + 2y + 1
= (2x2y + 4xy + 2y ) + (x2 + 2x + 1 )
= 2y.(x2 + 2x + 1) + (x2 + 2x + 1)
= 2y(x + 1)2 + (x + 1)2
= (x + 1)2. (2y + 1).
Chọn đáp án A
Bài tập Phân tích đa thức thành nhân tử bằng phương pháp đặt nhân tử chung
Bài 11: Tìm nhân tử chung của biểu thức 5x2(5 – 2x) + 4x – 10 có thể là
A. 5 – 2x
B. 5 + 2x
C. 4x – 10
D. 4x + 10
Lời giải
Ta có 5x2(5 – 2x) + 4x – 10 = 5x2(5 – 2x) – 2(-2x + 5)
= 5x2(5 – 2x) – 2(5 – 2x)
Nhân tử chung là 5 – 2x
Đáp án cần chọn là: A
Bài 12: Nhân tử chung của biểu thức 30(4 – 2x)2 + 3x – 6 có thể là
A. x + 2
B. 3(x – 2)
C. (x – 2)2
D. (x + 2)2
Lời giải
Ta có
30(4 – 2x)2 + 3x – 6 = 30(2x – 4)2 + 3(x – 2)
= 30.22(x – 2) + 3(x – 2)
= 120(x – 2)2 + 3(x – 2)
= 3(x – 2)(40(x – 2) + 1) = 3(x – 2)(40x – 79)
Nhân tử chung có thể là 3(x – 2)
Đáp án cần chọn là: B
Bài 13: Tìm giá trị x thỏa mãn 3x(x – 2) – x + 2 = 0
Lời giải
Ta có:
Đáp án cần chọn là: D
Bài 14: Tìm giá trị x thỏa mãn 2x(x – 3) – (3 – x) = 0
Lời giải
Ta có:
Đáp án cần chọn là: A
Bài 15: Có bao nhiêu giá trị x thỏa mãn 5(2x – 5) = x(2x – 5)
A. 1
B. 2
C. 3
D. 0
Lời giải
Ta có:
Đáp án cần chọn là: B
Bài 16: Có bao nhiêu giá trị x thỏa mãn x2(x – 2) = 3x(x – 2)
A. 1
B. 2
C. 3
D. 0
Lời giải
Ta có:
Vậy có 3 giá trị x thỏa mãn điều kiện đề bài x = 2; x = 0; x = 3.
Đáp án cần chọn là: C
Bài 17: Cho x1 và x2 là hai giá trị thỏa mãn x(5 – 10x) – 3(10x – 5) = 0. Khi đo x1 + x2 bằng
Lời giải
Ta có:
Đáp án cần chọn là: C
Bài 18: Cho x1 và x2 (x1 > x2) là hai giá trị thỏa mãn x(3x – 1) – 5(1 – 3x) = 0. Khi đó 3x1 – x2 bằng
A. -4
B. 4
C. 6
D. -6
Lời giải
Ta có:
Đáp án cần chọn là: C
Bài 19: Cho x0 là giá trị lớn nhất thỏa mãn 4x4 – 100x2 = 0. Chọn câu đúng.
A. x0 < 2
B. x0 < 0
C.x0 > 3
D. 1 < x0 < 5
Lời giải
Ta có:
Do đó x0 = 5 ⇒ x0 > 3
Đáp án cần chọn là: C
Bài 20: Cho x0 là giá trị lớn nhất thỏa mãn 25x4 – x2 = 0. Chọn câu đúng.
A. x0 < 1
B. x0 = 0
C. x0 > 3
D. 1 < x0 < 2
Lời giải
Ta có:
Đáp án cần chọn là: A
Bài tập Phân tích đa thức thành nhân tử bằng phương pháp dùng hằng đẳng thức
Bài 21: Gọi x1; x2; x3 là các giá trị thỏa mãn 4(3x – 5)2 – 9(9x2 – 25)2 = 0. Khi đó x1 + x2 + x3 bằng
Lời giải
Ta có 4(3x – 5)2 – 9(9x2 – 25)2 = 0
⇔ 4(3x – 5)2 – 9[(3x)2 – 52]2 = 0
⇔ 4(3x – 5)2 – 9[(3x – 5)(3x + 5)]2 = 0
⇔ 4(3x – 5)2 – 9(3x – 5)2(3x + 5)2 = 0
⇔ (3x – 5)2[4 – 9(3x + 5)2] = 0
⇔ (3x – 5)2[4 – (3(3x + 5))2] = 0
⇔ (3x – 5)2(22 – (9x + 15)2) = 0
⇔ (3x – 5)2(2 + 9x + 15)(2 – 9x – 15) = 0
⇔ (3x – 5)2(9x + 17)(-9x – 13) = 0
Đáp án cần chọn là: C
Bài 22: Cho các phương trình (x + 2)3 + (x – 3)3 = 0 (1) ; (x2 + x – 1)2 + 4x2 + 4x = 0 (2). Chọn câu đúng
A. Phương trình (1) có hai nghiệm, phương trình (2) vô nghiệm
B. Phương trình (1) có 1 nghiệm, phương trình (2) có 2 nghiệm
C. Phương trình (1) vô nghiệm, phương trình (2) vô nghiệm
D. Phương trình (1) có 1 nghiệm, phương trình (2) vô nghiêm
Lời giải
Xét phương trình (1) ta có:
Xét phương trình (2) ta có (x2 + x – 1)2 + 4x2 + 4x = 0 (2)
Vì > 0, Ɐx nên phương trình (2) vô nghiệm
Vậy Phương trình (1) có 1 nghiệm, phương trình (2) vô nghiêm
Đáp án cần chọn là: D
Bài 23: Cho x + n = 2(y – m), khi đó giá trị của biểu thức A = x2 – 4xy + 4y2 – 4m2 – 4mn – n2 bằng
A. A = 1
B. A = 0
C. A = 2
D. Chưa đủ dữ kiện để tính
Lời giải
Ta có: A = x2 – 4xy + 4y2 – 4m2 – 4mn – n2
= x2 – 2x.2y + (2y)2 – (4m2 + 4mn + n2)
= (x – 2y)2 – (2m + n)2
= (x – 2y + 2m + n)(x – 2y – 2m – n)
Ta có: x + n = 2(y – m) ⇔ x + n = 2y – 2m
⇔ x + n = 2y – 2m
⇔ x – 2y +n + 2m = 0
Thay x – 2y + n + 2m = 0 vào A ta được
A = 0.(x – 2y – 2m – n) = 0
Vậy A = 0
Đáp án cần chọn là: B
Bài 24: Cho x – 4 = -2y. Khi đó giá trị của biểu thức M = (x + 2y – 3)2 – 4(x + 2y – 3) + 4 bằng
A. M = 0
B. M = -1
C. M = 1
D. Đáp án khác
Lời giải
Ta có: M = (x + 2y – 3)2 – 4(x + 2y – 3) + 4
= (x + 2y – 3)2 – 2(x + 2y – 3).2 + 22
= (x + 2y – 3 – 2)2 = (x + 2y – 5)2
Ta có: x – 4 = -2y ⇔ x + 2y = 4
Thay x + 2y = 4 vào M ta được
M = (4 – 5)2 = (-1)2 = `
Vậy M = 1
Đáp án cần chọn là: C
Bài 25: Cho 9a2 – (a – 3b)2 = (m.a + n.b)(4a – 3b) với m, n Є R. Khi đó, giá trị của m và n là
A. m = -2; n = -3
B. m = 3; n = 2
C. m = 3; n = -4
D. m = 2; n = 3
Lời giải
Ta có: 9a2 – (a – 3b)2 = (3a)2 – (a – 3b)2 = (3a + a – 3b)(3a – a + 3b)
= (4a – 3b)(2a + 2b)
Suy ra m = 2; n = 3
Đáp án cần chọn là: D
Bài 26: Đa thức 4b2c2 – (c2 + b2 – a2)2 được phân tích thành
A. (b + c + a)(b + c – a)(a + b – c)(a – b + c)
B. (b + c + a)(b – c – a)(a + b – c)(a – b + c)
C. (b + c + a)(b + c – a)(a + b – c)2
D. (b + c + a)(b + c – a)(a + b – c)(a – b – c)
Lời giải
Ta có 4b2c2 – (c2 + b2 – a2)2
= (2bc)2 – (c2 + b2 – a2)2
= (2bc + c2 + b2 – a2)(2bc – c2 – b2 + a2)
= [(b + c)2 – a2][a2 – (b2 – 2bc + c2)]
= [(b + c)2 – a2][a2 – (b – c)2]
= (b + c + a)(b + c – a)(a + b – c)(a – b + c)
Đáp án cần chọn là: A
Bài 27: Đa thức x6 – y6 được phân tích thành
A. (x + y)2(x2 – xy + y2)(x2 + xy + y2)
B. (x + y)(x2 – 2xy + y2)(x – y)(x2 + 2xy + y2)
C. (x + y)(x2 – xy + y2)(x – y)(x2 + xy + y2)
D. (x + y)(x2 + 2xy + y2)(y – x)(x2 + xy + y2)
Lời giải
Ta có
x6 – y6 = (x3)2 – (y3)2 = (x3 + y3)(x3 – y3)
= (x + y)(x2 – xy + y2)(x – y)(x2 + xy + y2)
Đáp án cần chọn là: C
Bài 28: Tính giá trị biểu thức P = x3 – 3x2 + 3x với x = 101
A. 1003+ 1
B. 1003 – 1
C. 1003
D. 1013
Lời giải
Ta có
P = x3 – 3x2 + 3x – 1 + 1 = (x – 1)3 + 1
Thay x = 101 vào P ta được
P = (101 – 1)3 + 1 = 1003 + 1
Đáp án cần chọn là: A
Bài 29: Hiệu bình phương các số lẻ liên tiếp thì luôn chia hết cho
A. 8
B. 9
C. 10
D. Cả A, B, C đều sai
Lời giải
Gọi hai số lẻ liên tiếp là 2k – 1; 2k + 1 (k Є N*)
Theo bài ra ta có
(2k + 1)2 – (2k – 1)2 = 4k2 + 4k + 1 – 4k2 + 4k – 1 = 8k ⁝ 8
Đáp án cần chọn là: A
Bài 30: Có bao nhiêu cặp số nguyên (x; y) thỏa mãn x2 + 102 = y2
A. 0
B. 1
C. 2
D. 3
Lời giải
Ta có x2 + 102 = y2 ⇔ y2 – x2 = 102
Nhận thấy hiệu hai bình phương là một số chẵn nên x, y cùng là số chẵn hoặc cùng là số lẻ
Suuy ra y – x; y + x luôn là số chẵn
Lại có y2 – x2 = 102 ⇔ (y – x)(y + x) = 102
Mà (y – x) và (y + x) cùng là số chẵn.
Suy ra (y – x)(y + x) chia hết cho 4 mà 102 không chia hết cho 4 nên không tồn tại cặp số x; y thỏa mãn đề bài
Đáp án cần chọn là: A
Bài tập Phân tích đa thức thành nhân tử bằng phương pháp nhóm hạng tử
Bài 31: Cho ax2 – 5x2 – ax + 5x + a – 5 = (a + m)(x2 – x + n) với với m, n Є R. Tìm m và n
A. m = 5; n = -1
B. m = -5; n = -1
C. m = 5; n = 1
D. m = -5; n = 1
Lời giải
Ta có
ax2 – 5x2 – ax + 5x + a – 5 = x2(a – 5) – x(a – 5) + a – 5
= (a – 5)(x2 – x + 1)
Suy ra m = -5; n = 1
Đáp án cần chọn là: D
Bài 32: Cho x2 – 4y2 – 2x – 4y = (x + 2y)(x – 2y + m) với m Є R. Chọn câu đúng
A. m < 0
B. 1 < m < 3
C. 2 < m < 4
D. m > 4
Lời giải
Ta có x2 – 4y2 – 2x – 4y
= (x2 – 4y2) – (2x + 4y)
= (x – 2y)(x + 2y) – 2(x + 2y)
= (x + 2y)(x – 2y – 2)
Suy ra m = -2
Đáp án cần chọn là: A
Bài 33: Cho x2 – 4xy + 4y2 – 4 = (x – my + 2)(x – 2y – 2) với m Є R. Chọn câu đúng
A. m < 0
B. 1 < m < 3
C. 2 < m < 4
D. m > 4
Lời giải
Ta có
x2 – 4xy + 4y2 – 4 = (x2 – 2.x.2y + (2y)2) – 4
= (x – 2y)2 – 22 = (x – 2y – 2)(x – 2y + 2)
Suy ra m = 2
Đáp án cần chọn là: B
Bài 34: Tìm x biết x4 + 4x3 + 4x2 = 0
A. x = 2; x = -2
B. x = 0; x = 2
C. x = 0; x = -2
D. x = -2
Lời giải
Vậy x = 0; x = -2
Đáp án cần chọn là: C
Bài 35: Tìm giá trị của x thỏa mãn x(2x – 7) – 4x + 14 = 0
Lời giải
Đáp án cần chọn là: C
Bài 36: Có bao nhiêu giá trị của x thỏa mãn x3 + 2x2 – 9x – 18 = 0
A. 1
B. 2
C. 0
D. 3
Lời giải
Vậy x = -2; x = 3; x =-3
Đáp án cần chọn là: D
Bài 37: Có bao nhiêu giá trị của x thỏa mãn x(x – 1)(x + 1) + x2 – 1 = 0
A. 1
B. 2
C. 0
D. 3
Lời giải
Ta có:
x(x – 1)(x + 1) + x2 – 1 = 0
⇔ x(x – 1)(x + 1) + (x2 – 1) = 0
⇔ x(x – 1)(x + 1) + (x – 1)(x + 1) = 0
⇔ (x + 1)(x – 1)(x + 1) = 0
⇔ (x + 1)2(x – 1) = 0
Vậy x = 1; x = -1
Đáp án cần chọn là: B
Bài 38: Cho |x| < 2. Khi đó khẳng định nào sau đây là đúng khi nói về giá trị của biểu thức A = x4 + 2x3 – 8x – 16
A. A > 1
B. A > 0
C. A < 0
D. A ≥ 1
Lời giải
Ta có A = x4 + 2x3 – 8x – 16
= (x4 – 16) + (2x3 – 8x) = (x2 – 4)(x2 + 4) + 2x(x2 – 4)
= (x2 – 4)(x2 + 2x + 4)
Ta có x2 + 2x + 4 = x2 + 2x + 1 + 3 = (x + 1)2 + 3 ≥ 3 > 0, Ɐx
Mà |x| < 2 ⇔ x2 < 4 ⇔ x2 – 4 < 0
Suy ra A = (x2 – 4)(x2 + 2x + 4) < 0 khi |x| < 2
Đáp án cần chọn là: C
Bài 39: Cho x = 10 – y. Khi đó khẳng định nào sau đây là đúng khi nói về giá trị của biểu thức N = x3 + 3x2y + 3xy2 + y3 + x2 + 2xy + y2
A. N > 1200
B. N < 1000
C. N < 0
D. N > 1000
Lời giải
Ta có
N = x3 + 3x2y + 3xy2 + y3 + x2 + 2xy + y2
= (x3 + 3x2y + 3xy2 + y3) + (x2 + 2xy + y2)
= (x + y)3 + (x + y)2 = (x + y)2(x + y + 1)
Từ đề bài x = 10 – y ⇔ x + y = 10. Thay x + y = 10 vào N = (x + y)2(x + y + 1) ta được
N = 102(10 + 1) = 1100
Suy ra N > 1000 khi x = 10 – y
Đáp án cần chọn là: D
Bài 40: Cho ab3c2 – a2b2c3 – a2bc3 = abc2(b + c)(…) Biểu thức thích hợp điền vào dấu … là
A. b – a
B. a – b
C. a + b
D. -a – b
Lời giải
Ta có ab3c2 – a2b2c3 – a2bc3
= abc2(b2 – ab + bc – ac)
= abc2[(b2 – ab) + (bc – ac)]
= abc2[b(b – a) + c(b – a)]
= abc2(b + c)(b – a)
Vậy ta cần điền b – a
Đáp án cần chọn là: A
(199k) Xem Khóa học Toán 8 KNTTXem Khóa học Toán 8 CTSTXem Khóa học Toán 8 CD
Xem thêm các phần lý thuyết, các dạng bài tập Toán lớp 8 có đáp án chi tiết hay khác:
- Lý thuyết Phân tích đa thức thành nhân tử đầy đủ
- Lý thuyết Phân tích đa thức thành nhân tử bằng phương pháp đặt nhân tử chung
- Lý thuyết Phân tích đa thức thành nhân tử bằng phương pháp dùng hằng đẳng thức
- Lý thuyết Phân tích đa thức thành nhân tử bằng phương pháp nhóm hạng tử
- Lý thuyết Phân tích đa thức thành nhân tử bằng cách phối hợp nhiều phương pháp
Xem thêm các loạt bài Để học tốt Toán lớp 8 hay khác:
Tủ sách VIETJACK shopee lớp 6-8 (2025):
Đã có app VietJack trên điện thoại, giải bài tập SGK, SBT Soạn văn, Văn mẫu, Thi online, Bài giảng....miễn phí. Tải ngay ứng dụng trên Android và iOS.
Theo dõi chúng tôi miễn phí trên mạng xã hội facebook và youtube:Loạt bài Lý thuyết & 700 Bài tập Toán lớp 8 có lời giải chi tiết có đầy đủ Lý thuyết và các dạng bài có lời giải chi tiết được biên soạn bám sát nội dung chương trình sgk Đại số 8 và Hình học 8.
Nếu thấy hay, hãy động viên và chia sẻ nhé! Các bình luận không phù hợp với nội quy bình luận trang web sẽ bị cấm bình luận vĩnh viễn.
- Giải Tiếng Anh 8 Global Success
- Giải sgk Tiếng Anh 8 Smart World
- Giải sgk Tiếng Anh 8 Friends plus
- Lớp 8 - Kết nối tri thức
- Soạn văn 8 (hay nhất) - KNTT
- Soạn văn 8 (ngắn nhất) KNTT
- Giải sgk Toán 8 - KNTT
- Giải sgk Khoa học tự nhiên 8 - KNTT
- Giải sgk Lịch Sử 8 - KNTT
- Giải sgk Địa Lí 8 - KNTT
- Giải sgk Giáo dục công dân 8 - KNTT
- Giải sgk Tin học 8 - KNTT
- Giải sgk Công nghệ 8 - KNTT
- Giải sgk Hoạt động trải nghiệm 8 - KNTT
- Giải sgk Âm nhạc 8 - KNTT
- Lớp 8 - Chân trời sáng tạo
- Soạn văn 8 (hay nhất) - CTST
- Soạn văn 8 (ngắn nhất) - CTST
- Giải sgk Toán 8 - CTST
- Giải sgk Khoa học tự nhiên 8 - CTST
- Giải sgk Lịch Sử 8 - CTST
- Giải sgk Địa Lí 8 - CTST
- Giải sgk Giáo dục công dân 8 - CTST
- Giải sgk Tin học 8 - CTST
- Giải sgk Công nghệ 8 - CTST
- Giải sgk Hoạt động trải nghiệm 8 - CTST
- Giải sgk Âm nhạc 8 - CTST
- Lớp 8 - Cánh diều
- Soạn văn 8 Cánh diều (hay nhất)
- Soạn văn 8 Cánh diều (ngắn nhất)
- Giải sgk Toán 8 - Cánh diều
- Giải sgk Khoa học tự nhiên 8 - Cánh diều
- Giải sgk Lịch Sử 8 - Cánh diều
- Giải sgk Địa Lí 8 - Cánh diều
- Giải sgk Giáo dục công dân 8 - Cánh diều
- Giải sgk Tin học 8 - Cánh diều
- Giải sgk Công nghệ 8 - Cánh diều
- Giải sgk Hoạt động trải nghiệm 8 - Cánh diều
- Giải sgk Âm nhạc 8 - Cánh diều


Giải bài tập SGK & SBT
Tài liệu giáo viên
Sách
Khóa học
Thi online
Hỏi đáp

