Cách chứng minh đa thức chia hết cho đơn thức, đa thức
Bài viết Cách chứng minh đa thức chia hết cho đơn thức, đa thức với phương pháp giải chi tiết giúp học sinh ôn tập, biết cách làm bài tập Cách chứng minh đa thức chia hết cho đơn thức, đa thức.
Cách chứng minh đa thức chia hết cho đơn thức, đa thức
(199k) Xem Khóa học Toán 8 KNTTXem Khóa học Toán 8 CTSTXem Khóa học Toán 8 CD
A. Phương pháp giải
Ta trình bày phép chia tương tự như cách chia các số tự nhiên. Với hai đa thức A và B của một biến, tồn tại duy nhất hai đa thức Q và R sao cho:
A = B.Q + R, với R = 0 hoặc bậc của R nhỏ hơn bậc của B.
. Nếu R = 0, ta được phép chia hết.
. Nếu R ≠ 0 , ta được phép chia có dư.
B. Ví dụ minh họa
Ví dụ 1: Sắp xếp đa thức theo lũy thừa giảm dần của biến rồi làm phép chia:
(x3 - 7x + 3 -x2) : (x - 3)
A. x2 + 2x + 1
B. x2 + 2x - 1
C. x2 - 2x - 1
D. Đáp án khác
Lời giải
Ta có: x3 - 7x + 3 - x2 = x3 - x2 - 7x + 3
Khi đó ta có: (x3 - 7x + 3 - x2) : (x - 3) = x2 + 2x - 1.
Chọn B.
Ví dụ 2: Tìm phần dư trong phép chia sau: (5x3 - 3x2 + 7) : (x2 + 1)
A. 5x – 3
B. 5x + 4
C. - 5x + 7
D. – 5x + 10
Ta có
Khi đó ta có (5x3 - 3x2 + 7) = (x2 + 1)(5x - 3) - 5x + 10
Chọn D
Ví dụ 3. Thương của phép tính (-6x3 + 6x2 + 8) : (x2 - 2) là:
A. – 6x + 1
B. – 6x + 3
C. – 6x + 6
D. – 6x - 6
Lời giải
Vậy thương của phép chia đã cho là – 6x + 6
Chọn C.
Ví dụ 4. Thương của phép chia (x3 + x - 10):(-x + 2) là:
A. -x2 - 2x - 5
B. -x2 + x - 5
C. -x2 - 3x + 5
D.Đáp án khác
Lời giải
Vậy thương của phép chia là: -x2 - 2x - 5
Chọn A.
C. Bài tập trắc nghiệm
Câu 1: Kết quả của phép chia (7x3 - 7x + 42):(x2 - 2x + 3) là ?
A. – 7x + 14 B. 7x + 14 C. 7x - 14 D. – 7x – 14
Lời giải:
Ta có phép chia
Chọn đáp án B.
Câu 2: Phép chia x3 + x2 - 4x + 7 cho x2 - 2x + 5 được đa thức dư là ?
A. 3x – 7 B. – 3x - 8 C. – 5x + 7 D. 3x + 8
Lời giải:
Ta có phép chia
Dựa vào kết quả của phép chia trên, ta có đa thức dư là – 3x - 8
Chọn đáp án B.
Câu 3: Hệ số a thỏa mãn 4x2 - 6x + a chia hết cho x - 3 là ?
A. a = -18 B. a = 8 C. a = 18 D. a = - 8
Lời giải:
Ta có phép chia
Phép chia trên có số dư là ( a + 18)
Để 4x2 - 6x + a chia hết cho x – 3 khi a + 18 = 0 nên a = -18
Chọn đáp án A.
Câu 4. Thực hiện phép chia: ( 4x4 + x + 2x3 - 3x2): (x2 + 1) ta được phần dư là :
A. – x + 7 B. 4x2 + 2x - 7 C. 4x2 – 2x + 7 D. x – 7
Lời giải:
Ta có: 4x4 + x + 2x3 - 3x2 = 4x4 +2 x3 – 3x2 + x
Vậy: ( 4x4 + x + 2x3 - 3x2) = (4x2 + 2x – 7 ). (x2 +1) – x + 7
Chọn A.
Câu 5. Thực hiện phép chia ( 3x3 + 2x + 1 ) : (x+ 2) ta được đa thức dư là :
A. 10 B. -9 C. – 15 D. – 27
Lời giải:
Ta có:
Vậy số dư của phép chia đã cho là – 27
Chọn D.
Câu 6. Thực hiện phép chia ( - 4x4 + 5x2 +x ) : (x2 +x) ta được kết quả là:
A. – 4x4 + 5x2+x = (x2 + x). (- 4x2 - 4x + 9) - 6x
B. – 4x4 + 5x2+x = (x2 + x). ( 4x2 + 4x + 9) + 12x
C. – 4x4 + 5x2+x = (x2 + x). (- 4x2 + 4x + 9) - 8x
D. – 4x4 + 5x2+x = (x2 + x). ( 4x2 - 4x + 9) + 10x
Lời giải:
Ta có:
Vậy – 4x4 + 5x2 +x = ( x2 + x) . (- 4x2 + 4x + 9) - 8x
Chọn C.
Câu 7. Tìm thương của phép tính chia (x3- 11x2 + 27x - 9):(x -3)
A. x2 - 8x + 3
B. x2 + 4x + 3
C. x2 - 6x - 3
D. Đáp án khác
Lời giải:
Chọn A.
Câu 8. Cho phép chia (2x4 - 3x3 - 3x2 - 2 + 6x):(x2 - 2). Tìm khẳng định đúng?
A. Thương của phép chia là 2x2 + x - 2
B. Số dư của phép chia là 2x – 2
C. Tổng của thương và số dư là 2x2 + 3x - 4
D. Đây là phép chia hết
Lời giải:
Chọn D.
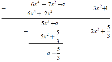
Câu 9. Tìm a để phép chia sau là phép chia hết: (6x4 + 7x2 - x + a):(3x2 + 1)
Lời giải:
Để phép chia đã cho là phép chia khi và chỉ khi:
Chọn B.
Câu 10. Thực hiện phép tính chia: [2(x - 2y)4 - 9(x - 2y)3 + 2(x - 2y)]:(x - 2y)
A.(x – 2y)3 – 9(x- 2y)2 + 2(x – 2y)
B. 2(x – 2y)3 – 9(x- 2y)3 + 2
C. 2(x – 2y)3 – 9(x- 2y)2 + 2
D. (x – 2y)3 – 9(x- 2y)2 + 2(x- 2y)
Lời giải:
Đặt t = x – 2y, khi đó ta có:
( 2t4 – 9t3 + 2t) : t = 2t3 – 9t2 + 2
= 2(x – 2y)3 – 9(x- 2y)2 + 2
Chọn C
(199k) Xem Khóa học Toán 8 KNTTXem Khóa học Toán 8 CTSTXem Khóa học Toán 8 CD
Xem thêm các dạng bài tập Toán lớp 8 chọn lọc, có đáp án hay khác:
- Cách chứng minh đa thức chia hết cho đơn thức, đa thức
- Cách tìm n để biểu thức có giá trị nguyên cực hay
- Cách nhân đa thức với đa thức (cực hay, có lời giải)
- Cách chứng minh biểu thức không phụ thuộc vào biến (cực hay, có lời giải)
- Cách rút gọn biểu thức lớp 8 (cực hay, có lời giải)
Xem thêm các loạt bài Để học tốt Toán lớp 8 hay khác:
Tủ sách VIETJACK shopee lớp 6-8 (2025):
Đã có app VietJack trên điện thoại, giải bài tập SGK, SBT Soạn văn, Văn mẫu, Thi online, Bài giảng....miễn phí. Tải ngay ứng dụng trên Android và iOS.
Theo dõi chúng tôi miễn phí trên mạng xã hội facebook và youtube:Loạt bài Lý thuyết & 700 Bài tập Toán lớp 8 có lời giải chi tiết có đầy đủ Lý thuyết và các dạng bài có lời giải chi tiết được biên soạn bám sát nội dung chương trình sgk Đại số 8 và Hình học 8.
Nếu thấy hay, hãy động viên và chia sẻ nhé! Các bình luận không phù hợp với nội quy bình luận trang web sẽ bị cấm bình luận vĩnh viễn.
- Giải Tiếng Anh 8 Global Success
- Giải sgk Tiếng Anh 8 Smart World
- Giải sgk Tiếng Anh 8 Friends plus
- Lớp 8 - Kết nối tri thức
- Soạn văn 8 (hay nhất) - KNTT
- Soạn văn 8 (ngắn nhất) KNTT
- Giải sgk Toán 8 - KNTT
- Giải sgk Khoa học tự nhiên 8 - KNTT
- Giải sgk Lịch Sử 8 - KNTT
- Giải sgk Địa Lí 8 - KNTT
- Giải sgk Giáo dục công dân 8 - KNTT
- Giải sgk Tin học 8 - KNTT
- Giải sgk Công nghệ 8 - KNTT
- Giải sgk Hoạt động trải nghiệm 8 - KNTT
- Giải sgk Âm nhạc 8 - KNTT
- Lớp 8 - Chân trời sáng tạo
- Soạn văn 8 (hay nhất) - CTST
- Soạn văn 8 (ngắn nhất) - CTST
- Giải sgk Toán 8 - CTST
- Giải sgk Khoa học tự nhiên 8 - CTST
- Giải sgk Lịch Sử 8 - CTST
- Giải sgk Địa Lí 8 - CTST
- Giải sgk Giáo dục công dân 8 - CTST
- Giải sgk Tin học 8 - CTST
- Giải sgk Công nghệ 8 - CTST
- Giải sgk Hoạt động trải nghiệm 8 - CTST
- Giải sgk Âm nhạc 8 - CTST
- Lớp 8 - Cánh diều
- Soạn văn 8 Cánh diều (hay nhất)
- Soạn văn 8 Cánh diều (ngắn nhất)
- Giải sgk Toán 8 - Cánh diều
- Giải sgk Khoa học tự nhiên 8 - Cánh diều
- Giải sgk Lịch Sử 8 - Cánh diều
- Giải sgk Địa Lí 8 - Cánh diều
- Giải sgk Giáo dục công dân 8 - Cánh diều
- Giải sgk Tin học 8 - Cánh diều
- Giải sgk Công nghệ 8 - Cánh diều
- Giải sgk Hoạt động trải nghiệm 8 - Cánh diều
- Giải sgk Âm nhạc 8 - Cánh diều


Giải bài tập SGK & SBT
Tài liệu giáo viên
Sách
Khóa học
Thi online
Hỏi đáp

