Cách chứng minh hai phân thức bằng nhau lớp 8 (cực hay, có đáp án)
Bài viết Cách chứng minh hai phân thức bằng nhau với phương pháp giải chi tiết giúp học sinh ôn tập, biết cách làm bài tập Cách chứng minh hai phân thức bằng nhau.
- Cách giải bài tập chứng minh hai phân thức bằng nhau
- Ví dụ minh họa bài tập chứng minh hai phân thức bằng nhau
- Bài tập vận dụng chứng minh hai phân thức bằng nhau
Cách chứng minh hai phân thức bằng nhau lớp 8 (cực hay, có đáp án)
(199k) Xem Khóa học Toán 8 KNTTXem Khóa học Toán 8 CTSTXem Khóa học Toán 8 CD
A. Phương pháp giải
B. Ví dụ minh họa
Ví dụ 1: Chứng minh các đẳng thức sau.
Lời giải:
Ví dụ 2: Chứng minh các đẳng thức sau:
Lời giải:
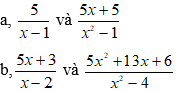
Ví dụ 3: Xét sự bằng nhau của các cặp phân thức sau
Lời giải:
C. Bài tập vận dụng
Bài 1: Phân thức bằng phân thức là
Lời giải:
Đáp án: B
Ta có: (với x ≠ 0; x ≠ 2)
Bài 2: Phân thức bằng phân thức nào sau đây:
Lời giải:
Đáp án: C
Ta có: (với x ≠ 0; x ≠ 4)
Bài 3: Phân thức bằng phân thức nào sau đây:
Lời giải:
Đáp án: B
Ta có (với x ≠ -1; x ≠ 1)
Bài 4: Phân thức bằng phân thức là
Lời giải:
Đáp án: A
Ta có (với x ≠ -2)
Bài 5: Chứng minh các đẳng thức sau
Lời giải:
Bài 6: Chứng minh các đẳng thức sau:
Lời giải:
Bài 7: Chứng minh các cặp phân thức sau bằng nhau
Lời giải:
Bài 8: Chứng minh các cặp phân thức sau bằng nhau
Lời giải:
Bài 9: Dùng tính chất cơ bản của phân thức chứng minh cặp phân thức sau bằng nhau.
Lời giải:
Bài 10: Dùng tính chất cơ bản của phân thức chứng minh cặp phân thức sau bằng nhau.
Lời giải:
ĐKXĐ: x ≠ -1; x ≠ 2/3
Ta có:
(199k) Xem Khóa học Toán 8 KNTTXem Khóa học Toán 8 CTSTXem Khóa học Toán 8 CD
Xem thêm các dạng bài tập Toán lớp 8 chọn lọc, có đáp án hay khác:
- Cách tìm đa thức A để hai phân thức bằng nhau cực hay, có đáp án
- Cách rút gọn phân thức cực hay, có đáp án
- Cách chứng minh phân thức là tối giản cực hay, có đáp án
- Cách tìm mẫu thức chung cực hay, nhanh nhất
Xem thêm các loạt bài Để học tốt Toán lớp 8 hay khác:
Tủ sách VIETJACK shopee lớp 6-8 (2025):
Đã có app VietJack trên điện thoại, giải bài tập SGK, SBT Soạn văn, Văn mẫu, Thi online, Bài giảng....miễn phí. Tải ngay ứng dụng trên Android và iOS.
Theo dõi chúng tôi miễn phí trên mạng xã hội facebook và youtube:Loạt bài Lý thuyết & 700 Bài tập Toán lớp 8 có lời giải chi tiết có đầy đủ Lý thuyết và các dạng bài có lời giải chi tiết được biên soạn bám sát nội dung chương trình sgk Đại số 8 và Hình học 8.
Nếu thấy hay, hãy động viên và chia sẻ nhé! Các bình luận không phù hợp với nội quy bình luận trang web sẽ bị cấm bình luận vĩnh viễn.
- Giải Tiếng Anh 8 Global Success
- Giải sgk Tiếng Anh 8 Smart World
- Giải sgk Tiếng Anh 8 Friends plus
- Lớp 8 - Kết nối tri thức
- Soạn văn 8 (hay nhất) - KNTT
- Soạn văn 8 (ngắn nhất) KNTT
- Giải sgk Toán 8 - KNTT
- Giải sgk Khoa học tự nhiên 8 - KNTT
- Giải sgk Lịch Sử 8 - KNTT
- Giải sgk Địa Lí 8 - KNTT
- Giải sgk Giáo dục công dân 8 - KNTT
- Giải sgk Tin học 8 - KNTT
- Giải sgk Công nghệ 8 - KNTT
- Giải sgk Hoạt động trải nghiệm 8 - KNTT
- Giải sgk Âm nhạc 8 - KNTT
- Lớp 8 - Chân trời sáng tạo
- Soạn văn 8 (hay nhất) - CTST
- Soạn văn 8 (ngắn nhất) - CTST
- Giải sgk Toán 8 - CTST
- Giải sgk Khoa học tự nhiên 8 - CTST
- Giải sgk Lịch Sử 8 - CTST
- Giải sgk Địa Lí 8 - CTST
- Giải sgk Giáo dục công dân 8 - CTST
- Giải sgk Tin học 8 - CTST
- Giải sgk Công nghệ 8 - CTST
- Giải sgk Hoạt động trải nghiệm 8 - CTST
- Giải sgk Âm nhạc 8 - CTST
- Lớp 8 - Cánh diều
- Soạn văn 8 Cánh diều (hay nhất)
- Soạn văn 8 Cánh diều (ngắn nhất)
- Giải sgk Toán 8 - Cánh diều
- Giải sgk Khoa học tự nhiên 8 - Cánh diều
- Giải sgk Lịch Sử 8 - Cánh diều
- Giải sgk Địa Lí 8 - Cánh diều
- Giải sgk Giáo dục công dân 8 - Cánh diều
- Giải sgk Tin học 8 - Cánh diều
- Giải sgk Công nghệ 8 - Cánh diều
- Giải sgk Hoạt động trải nghiệm 8 - Cánh diều
- Giải sgk Âm nhạc 8 - Cánh diều


Giải bài tập SGK & SBT
Tài liệu giáo viên
Sách
Khóa học
Thi online
Hỏi đáp

