Các cách giải phương trình chứa dấu giá trị tuyệt đối (hay, chi tiết)
Với Cách giải phương trình chứa dấu giá trị tuyệt đối hay, chi tiết môn Toán lớp 8 phần Đại số sẽ giúp học sinh ôn tập, củng cố kiến thức từ đó biết cách làm các dạng bài tập Toán lớp 8 Chương 4: Bất phương trình bậc nhất một ẩn để đạt điểm cao trong các bài thi môn Toán 8.
Cách giải phương trình chứa dấu giá trị tuyệt đối (hay, chi tiết)
(199k) Xem Khóa học Toán 8 KNTTXem Khóa học Toán 8 CTSTXem Khóa học Toán 8 CD
Dạng 1: Giải phương trình |A(x)| = k với k là hằng số, x là biến số
A. Phương pháp giải
Cách giải phương trình |A(x)| = k với k là hằng số, x là biến số:
+) Nếu k<0 thì phương trình vô nghiệm.
+) Nếu k>0
Bước 1: Đặt điều kiện để f(x) xác định (nếu cần).
Bước 2: Khi đó:
Bước 3: Kiểm tra điều kiện, từ đó đưa ra kết luận nghiệm cho phương trình.
+) Nếu k=0 thì ta có
B. Ví dụ minh họa
Câu 1: Phương trình |2x-5|=3 có nghiệm là:
A. x=4;x= - 1
B. x= - 4;x=1
C. x=4;x=1
D. x= - 4; x= - 1
Lời giải:
Vậy phương trình có nghiệm là x=4;x=1.
Câu 2: Giải phương trình .
Lời giải:
Biến đổi tương đương phương trình:
Vậy, phương trình có hai nghiệm x=2 và x=1.
Câu 3: Giải phương trình:
Lời giải:
Điều kiện xác định của phương trình là x≠2.
Ta có thể lựa chọn một trong hai cách trình bày sau:
Cách 1: Biến đổi tương đương phương trình:
Vậy, phương trình có nghiệm x=0.
Cách 2: Biến đổi tương đương phương trình:
Vậy, phương trình có nghiệm x=0.
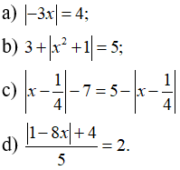
C. Bài tập tự luyện
Câu 1: Phương trình có nghiệm là:
A. x=4;x= - 1
B. x= - 4;x=1
C. x=4;x=1
D. x= - 4; x= - 1
Câu 2: Phương trình nào sau đây vô nghiệm?
Câu 3: Hãy tìm các khẳng định đúng trong các khẳng định dưới đây?
Câu 4: Giải phương trình
Câu 5: Giải phương trình
Câu 6: Giải các phương trình sau:
Câu 7: Tìm m để phương trình có nghiệm duy nhất.
Dạng 2: Giải phương trình |A(x)| = |B(x)|
A. Phương pháp giải
Để giải phương trình chứa dấu giá trị tuyệt đối |A(x)| = |B(x)|, ta thực hiện theo các bước:
Bước 1: Đặt điều kiện để A(x) và B(x) xác định (nếu cần).
Bước 2: Khi đó:
=> nghiệm x.
Bước 3: Kiểm tra điều kiện, từ đó đưa ra kết luận nghiệm cho phương trình.
B. Ví dụ minh họa
Câu 1: Nghiệm nhỏ nhất của phương trình là:
Lời giải:
Vậy nghiệm nhỏ nhất của phương trình là .
Câu 2: Giải các phương trình sau:
Lời giải:
a. Biến đổi tương đương phương trình:
Vậy, phương trình có hai nghiệm x=-6 và x=0.
b. Điều kiện xác định của phương trình là x≠1.
Biến đổi tương đương phương trình:
Vậy, phương trình có nghiệm là x=1.
Câu 3: Giải phương trình:
, với m là tham số.
Lời giải:
Biến đổi tương đương phương trình:
Vậy, phương trình có hai nghiệm x=3m+6 và x=m-2.
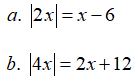
C. Bài tập tự luyện
Câu 1: Nghiệm nhỏ nhất của phương trình là:
Câu 2: Cho hai phương trình
Hãy so sánh số nghiệm của hai phương trình trên.
Câu 3: Giải các phương trình sau:
Câu 4: Giải các phương trình sau:
Câu 5: Giải các phương trình sau:
Dạng 3: Giải phương trình |A(x)| = B(x)
A. Phương pháp giải
Để giải phương trình chứa dấu giá trị tuyệt đối |A(x)| = B(x), ta có thể lựa chọn một trong hai cách sau:
Cách 1: (Phá dấu trị tuyệt đối) Thực hiện theo các bước:
Bước 1: Đặt điều kiện để A(x) và B(x) xác định (nếu cần).
Bước 2: Xét hai trường hợp:
Trường hợp 1: Nếu . (1)
Phương trình có dạng:
=> nghiệm x và kiểm tra điều kiện (1).
Trường hợp 2: Nếu (2)
Phương trình có dạng:
=> nghiệm x và kiểm tra điều kiện (2).
Bước 3: Kết luận nghiệm cho phương trình.
Cách 2: Thực hiện theo các bước:
Bước 1: Đặt điều kiện để A(x) và B(x) xác định (nếu cần) và .
Bước 2: Khi đó:
=> nghiệm x.
Bước 3: Kiểm tra điều kiện, từ đó đưa ra kết luận nghiệm cho phương trình.
B. Ví dụ minh họa
Câu 1: Tập nghiệm của phương trình là:
Lời giải:
Trường hợp 1:
Phương trình đã cho trở thành:
Trường hợp 2:
Phương trình đã cho trở thành:
Vậy tập nghiệm của phương trình là
Câu 2: Giải phương trình:
Lời giải:
Ta có thể lựa chọn một trong hai cách sau:
Cách 1: Xét hai trường hợp:
Trường hợp 1: Nếu (1)
Khi đó, phương trình có dạng:
Trường hợp 2: Nếu (2)
Khi đó, phương trình có dạng:
Vậy, phương trình có nghiệm .
Cách 2: Viết lại phương trình dưới dạng:
Với điều kiện:
Khi đó, phương trình được biến đổi:
Vậy, phương trình có nghiệm .
Câu 3: Giải các phương trình sau:
Lời giải:
a) Ta có:
Xét hai trường hợp:
Trường hợp 1: Nếu x ≥ 0 phương trình có dạng:
, không thỏa mãn điều kiện.
Trường hợp 2: Nếu x<0 phương trình có dạng:
, không thỏa mãn điều kiện.
Vậy, phương trình vô nghiệm.
b) Với điều kiện:
(*)
Khi đó, phương trình được biến đổi:
, thỏa mãn (*).
Vậy, phương trình có hai nghiệm x=6 và x=-2.
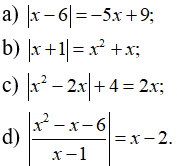
C. Bài tập tự luyện
Câu 1: Tập nghiệm của phương trình là:
Caau2: Số nghiệm của phương trình là:
Câu 3: Giải các phương trình:
Câu 4: Giải các phương trình sau:
Câu 5: Giải các phương trình:
Câu 6: Giải các phương trình sau:
Câu 7: Giải các phương trình sau:
Câu 8: Giải phương trình sau bằng cách đặt ẩn phụ
Dạng 4: Giải phương trình |A(x)| + |B(x)| = C(x)
A. Phương pháp giải
Để giải phương trình chứa dấu giá trị tuyệt đối |A(x)| + |B(x)| = C(x):
- Chia các khoảng nghiệm để xác định dấu của biểu thức (lập bảng xét dấu).
- Căn cứ vào xét dấu, chia từng khoảng để giải phương trình (kiểm tra điều kiện tương ứng).
B. Ví dụ minh họa
Câu 1: Bỏ dấu giá trị tuyệt đối và rút gọn biểu thức:
Lời giải:
Nhận xét rằng:
Do đó, để bỏ được dấu giá trị tuyệt đối của C ta cần xét các trường hợp:
Trường hợp 1:
Trường hợp 2:
Trường hợp 3:
Câu 2: Giải phương trình
Lời giải:
Nhận xét rằng:
Trường hợp 1:
Khi đó phương trình trở thành:
Trường hợp 2:
Khi đó phương trình trở thành:
Trường hợp 3:
Khi đó phương trình trở thành:
Vậy phương trình có nghiệm duy nhất là .
C. Bài tập tự luyện
Câu 1: Giải các phương trình sau:
Câu 2: Giải các phương trình sau:
Câu 3: Giải phương trình:
Câu 4: Cho phương trình (với m là tham số). Hãy cho biết với giá trị nào của m thì phương trình có hai nghiệm, vô số nghiệm, vô nghiệm?
Dạng 5: Giải phương trình |A(x)| + |B(x)| = |A(x) + B(x)|
A. Phương pháp giải
Để giải phương trình chứa dấu giá trị tuyệt đối |A(x)| + |B(x)| = |A(x) + B(x)|:
Ta nhận thấy vì nên phương trình tương đương với điều kiện xảy ra đẳng thức:
B. Ví dụ minh họa
Câu 1: Giải phương trình:
Lời giải:
Ta có:
Trường hợp 2:
Câu 2: Giải phương trình:
Lời giải:
Lập bảng xét giá trị tuyệt đối (hay bảng phá dấu GTTĐ):
C. Bài tập tự luyện
Câu 1: Giải phương trình:
Câu 2: Giải phương trình:
Câu 3: Giải các phương trình sau:
Câu 4: Giải phương trình:
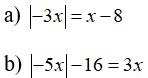
D. Bài tập bổ sung
Bài 1. Tìm nghiệm của phương trình |5x – 2| – 1 = 3.
Bài 2. Tìm nghiệm của phương trình |– x2 + 3| = 2x + 1.
Bài 3. Giải phương trình |x – 2m| = |2x – 3| (m ∈ ℝ). Với giá trị nào của m thì phương trình có hai nghiệm dương?
Bài 4. Tính tổng các nghiệm của phương trình |5 – 2x| = |x – 1|.
Bài 5. Phương trình |3x + 4| = x – 2 có bao nhiêu nghiệm?
(199k) Xem Khóa học Toán 8 KNTTXem Khóa học Toán 8 CTSTXem Khóa học Toán 8 CD
Xem thêm các dạng bài tập Toán lớp 8 chọn lọc hay khác:
- Cách giải phương trình chứa dấu giá trị tuyệt đối |A(x)| + |B(x)| = |A(x) + B(x)|
- Cách chứng minh bất đẳng thức bằng phương pháp biến đổi tương đương
- Cách chứng minh bất đẳng thức bằng phương pháp phản chứng
- Chứng minh bất đẳng thức bằng giá trị tuyệt đối
- Chứng minh bất đẳng thức bằng Cô-si, Bunhiacopxki
Xem thêm các loạt bài Để học tốt Toán lớp 8 hay khác:
Tủ sách VIETJACK shopee lớp 6-8 (2025):
Đã có app VietJack trên điện thoại, giải bài tập SGK, SBT Soạn văn, Văn mẫu, Thi online, Bài giảng....miễn phí. Tải ngay ứng dụng trên Android và iOS.
Theo dõi chúng tôi miễn phí trên mạng xã hội facebook và youtube:Loạt bài Lý thuyết & 700 Bài tập Toán lớp 8 có lời giải chi tiết có đầy đủ Lý thuyết và các dạng bài có lời giải chi tiết được biên soạn bám sát nội dung chương trình sgk Đại số 8 và Hình học 8.
Nếu thấy hay, hãy động viên và chia sẻ nhé! Các bình luận không phù hợp với nội quy bình luận trang web sẽ bị cấm bình luận vĩnh viễn.
- Giải Tiếng Anh 8 Global Success
- Giải sgk Tiếng Anh 8 Smart World
- Giải sgk Tiếng Anh 8 Friends plus
- Lớp 8 - Kết nối tri thức
- Soạn văn 8 (hay nhất) - KNTT
- Soạn văn 8 (ngắn nhất) KNTT
- Giải sgk Toán 8 - KNTT
- Giải sgk Khoa học tự nhiên 8 - KNTT
- Giải sgk Lịch Sử 8 - KNTT
- Giải sgk Địa Lí 8 - KNTT
- Giải sgk Giáo dục công dân 8 - KNTT
- Giải sgk Tin học 8 - KNTT
- Giải sgk Công nghệ 8 - KNTT
- Giải sgk Hoạt động trải nghiệm 8 - KNTT
- Giải sgk Âm nhạc 8 - KNTT
- Lớp 8 - Chân trời sáng tạo
- Soạn văn 8 (hay nhất) - CTST
- Soạn văn 8 (ngắn nhất) - CTST
- Giải sgk Toán 8 - CTST
- Giải sgk Khoa học tự nhiên 8 - CTST
- Giải sgk Lịch Sử 8 - CTST
- Giải sgk Địa Lí 8 - CTST
- Giải sgk Giáo dục công dân 8 - CTST
- Giải sgk Tin học 8 - CTST
- Giải sgk Công nghệ 8 - CTST
- Giải sgk Hoạt động trải nghiệm 8 - CTST
- Giải sgk Âm nhạc 8 - CTST
- Lớp 8 - Cánh diều
- Soạn văn 8 Cánh diều (hay nhất)
- Soạn văn 8 Cánh diều (ngắn nhất)
- Giải sgk Toán 8 - Cánh diều
- Giải sgk Khoa học tự nhiên 8 - Cánh diều
- Giải sgk Lịch Sử 8 - Cánh diều
- Giải sgk Địa Lí 8 - Cánh diều
- Giải sgk Giáo dục công dân 8 - Cánh diều
- Giải sgk Tin học 8 - Cánh diều
- Giải sgk Công nghệ 8 - Cánh diều
- Giải sgk Hoạt động trải nghiệm 8 - Cánh diều
- Giải sgk Âm nhạc 8 - Cánh diều


Giải bài tập SGK & SBT
Tài liệu giáo viên
Sách
Khóa học
Thi online
Hỏi đáp

