Chứng minh hai điểm đối xứng qua một điểm (hay, chi tiết)
Với Chứng minh hai điểm đối xứng qua một điểm hay, chi tiết môn Toán lớp 8 phần Hình học sẽ giúp học sinh ôn tập, củng cố kiến thức từ đó biết cách làm các dạng bài tập Toán lớp 8 Chương 1: Tứ giác để đạt điểm cao trong các bài thi môn Toán 8.
Chứng minh hai điểm đối xứng qua một điểm (hay, chi tiết)
(199k) Xem Khóa học Toán 8 KNTTXem Khóa học Toán 8 CTSTXem Khóa học Toán 8 CD
A. Phương pháp giải
Sử dụng định nghĩa, tính chất của phép đối xứng tâm.
1. Định nghĩa
a) Hai điểm gọi là đối xứng với nhau qua điểm O nếu O là trung điểm của đoạn thẳng nối hai điểm đó.
Quy ước: Điểm đối xứng với O qua điểm O chính là điểm O.
b) Hai hình gọi là đối xứng với nhau qua điểm O nếu mỗi điểm thuộc hình này đối xứng với một điểm thuộc hình kia qua điểm O và ngược lại. Điểm O gọi là tâm đối xứng của hai hình đó.
2. Các tính chất thừa nhận
Tính chất 1: Nếu các điểm A và A’, B và B’, C và C’ đối xứng với nhau qua điểm O trong đó C nằm giữa A và B thì C’ nằm giữa A’ và B’.
Tính chất này cho phép ta vẽ hai hình đối xứng với nhau qua một điểm.
Tính chất 2: Nếu hai đoạn thẳng (góc, tam giác) đối xứng nhau qua một điểm thì chúng bằng nhau.
B. Ví dụ minh họa
Ví dụ 1. Cho hình bình hành ABCD. Gọi E là điểm đối xứng với D qua điểm A và F là điểm đối xứng với D qua điểm C. Chứng minh rằng điểm E đối xứng với điểm F qua điểm B.
Giải

Vẽ các điểm E và F sao cho: A là trung điểm của DE hay DA = AE (1); C là trung điểm của DF hay DC = CF (2) thì E đối xứng với D qua A và F đối xứng với D qua C.
Vì ABCD là hình bình hành nên AD//BC
⇒AE//BC (3) và DA = BC (4)
Từ (1), (4) suy ra AE = BC. (5)
Từ (3) và (5) ta có tứ giác ACBE có hai cạnh đối song song và bằng nhau nên là hình bình hành.
Áp dụng định nghĩa và tính chất về cạnh vào hình bình hành ACBE, ta được:
AC//BE và AC = BE. (6)
Chứng minh tương tự, ta được tứ giác ACFB là hình bình hành nên
AC//BF và AC = BF. (7)
Từ (6), (7) suy ra E, B, F thẳng hàng và BE = BF do đó B là trung điểm của EF hay E đối xứng với F qua B.
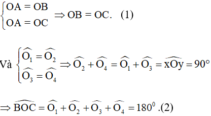
Ví dụ 2. Cho góc vuông xOy, điểm A nằm trong góc đó. Gọi B là điểm đối xứng với A qua Ox, C là điểm đối xứng với A qua Oy. Chứng minh rằng điểm B đối xứng với điểm C qua O.
Giải

Vẽ
, vẽ hai điểm B, C sao cho H, K lần lượt là trung điểm của AB, AC thì B đối xứng với A qua Ox, C đối xứng với A qua Oy. Vì
đối xứng với O qua Ox, Oy.
Áp dụng tính chất của phép đối xứng trục, ta có:

Từ (1) và (2) suy ra O là trung điểm của đoạn BC nên B đối xứng với C qua O.
Ví dụ 3. Cho ΔABC, các đường trung tuyến BD, CE. Gọi H là điểm đối xứng với C qua E, K là điểm đối xứng với B qua D. Chứng minh rằng điểm H đối xứng với điểm K qua điểm A.
Giải

Từ giả thiết BD, CE là các đường trung tuyến ta có D, E là trung điểm của AC, AB và giả thiết H đối xứng với C qua E, K đối xứng với B qua D ta lại có D, E lần lượt là trung điểm của BK, CH.
Do đó các tứ giác ACBH, ABCK là các hình bình hành (do hai đường chéo cắt nhau tại trung điểm mỗi đường)
Áp dụng định nghĩa, tính chất và cạnh vào hai hình bình hành trên, ta được:

Điều này chứng tỏ A là trung điểm của HK. Vậy H đối xứng với K qua A.
Ví dụ 4. Cho ΔABC , trung tuyến BD. Gọi E đối xứng với B qua A, I đối xứng với B qua D, F đối xứng với B qua C. Chứng minh rằng E đối xứng với F qua I.
Giải

Từ giả thiết ta có A, D, C lần lượt là trung điểm của BE, BI, BF nên AD, DC thứ tự là đường trung bình của hai tam giác BEI và BIF.
Áp dụng định lí đường trung bình vào hai tam giác trên và giả thiết BD là trung tuyến vào tam giác ABC, ta được:

⇒E, I, F thẳng hàng và EI = IF.
Điều này chứng tỏ I là trung điểm của EF hay E đối xứng với F qua I.
Ví dụ 5. Cho tam giác ABC. Gọi D là điểm đối xứng với B qua A, E là điểm đối xứng với C qua A. Lấy các điểm I, K theo thứ tự thuộc các đoạn thẳng DE, BC sao cho DI = BK. Chứng minh rằng K đối xứng với I qua A.
Giải

Xét tam giác ADE và ABC có:
+ AB = AD (vì D đối xứng với B qua A)
+
(đối đỉnh)
+ AE = AC (vì E đối xứng với C qua A)
Nên
(c-g-c), suy ra
Xét tam giác ADI và ABK có:
+ AD = AB (vì D đối xứng với B qua A)
+
(cmt)
+ DI = BK (gt)
Nên
mà B, A, D thẳng hàng nên K, A, I thẳng hàng.
Lại có IA = AK (do
) nên điểm K đối xứng với I qua A.
(199k) Xem Khóa học Toán 8 KNTTXem Khóa học Toán 8 CTSTXem Khóa học Toán 8 CD
Xem thêm các dạng bài tập Toán lớp 8 chọn lọc hay khác:
- Chứng minh hai đoạn thẳng hoặc hai góc bằng nhau sử dụng đối xứng tâm
- Cách chứng minh tứ giác là hình chữ nhật (hay, chi tiết)
- Tìm điều kiện của hình A để hình B trở thành hình chữ nhật
- Chứng minh hai đoạn thẳng, hai góc bằng nhau trong hình chữ nhật
- Chứng minh hai đường thẳng vuông góc dựa vào hình chữ nhật
Xem thêm các loạt bài Để học tốt Toán lớp 8 hay khác:
Tủ sách VIETJACK shopee lớp 6-8 (2025):
Đã có app VietJack trên điện thoại, giải bài tập SGK, SBT Soạn văn, Văn mẫu, Thi online, Bài giảng....miễn phí. Tải ngay ứng dụng trên Android và iOS.
Theo dõi chúng tôi miễn phí trên mạng xã hội facebook và youtube:Loạt bài Lý thuyết & 700 Bài tập Toán lớp 8 có lời giải chi tiết có đầy đủ Lý thuyết và các dạng bài có lời giải chi tiết được biên soạn bám sát nội dung chương trình sgk Đại số 8 và Hình học 8.
Nếu thấy hay, hãy động viên và chia sẻ nhé! Các bình luận không phù hợp với nội quy bình luận trang web sẽ bị cấm bình luận vĩnh viễn.
- Giải Tiếng Anh 8 Global Success
- Giải sgk Tiếng Anh 8 Smart World
- Giải sgk Tiếng Anh 8 Friends plus
- Lớp 8 - Kết nối tri thức
- Soạn văn 8 (hay nhất) - KNTT
- Soạn văn 8 (ngắn nhất) KNTT
- Giải sgk Toán 8 - KNTT
- Giải sgk Khoa học tự nhiên 8 - KNTT
- Giải sgk Lịch Sử 8 - KNTT
- Giải sgk Địa Lí 8 - KNTT
- Giải sgk Giáo dục công dân 8 - KNTT
- Giải sgk Tin học 8 - KNTT
- Giải sgk Công nghệ 8 - KNTT
- Giải sgk Hoạt động trải nghiệm 8 - KNTT
- Giải sgk Âm nhạc 8 - KNTT
- Lớp 8 - Chân trời sáng tạo
- Soạn văn 8 (hay nhất) - CTST
- Soạn văn 8 (ngắn nhất) - CTST
- Giải sgk Toán 8 - CTST
- Giải sgk Khoa học tự nhiên 8 - CTST
- Giải sgk Lịch Sử 8 - CTST
- Giải sgk Địa Lí 8 - CTST
- Giải sgk Giáo dục công dân 8 - CTST
- Giải sgk Tin học 8 - CTST
- Giải sgk Công nghệ 8 - CTST
- Giải sgk Hoạt động trải nghiệm 8 - CTST
- Giải sgk Âm nhạc 8 - CTST
- Lớp 8 - Cánh diều
- Soạn văn 8 Cánh diều (hay nhất)
- Soạn văn 8 Cánh diều (ngắn nhất)
- Giải sgk Toán 8 - Cánh diều
- Giải sgk Khoa học tự nhiên 8 - Cánh diều
- Giải sgk Lịch Sử 8 - Cánh diều
- Giải sgk Địa Lí 8 - Cánh diều
- Giải sgk Giáo dục công dân 8 - Cánh diều
- Giải sgk Tin học 8 - Cánh diều
- Giải sgk Công nghệ 8 - Cánh diều
- Giải sgk Hoạt động trải nghiệm 8 - Cánh diều
- Giải sgk Âm nhạc 8 - Cánh diều


Giải bài tập SGK & SBT
Tài liệu giáo viên
Sách
Khóa học
Thi online
Hỏi đáp

