Phương pháp chia đơn thức, đa thức cho đơn thức
Với Phương pháp chia đơn thức, đa thức cho đơn thức môn Toán lớp 8 sẽ giúp học sinh nắm vững lý thuyết, biết cách làm các dạng bài tập từ đó có kế hoạch ôn tập hiệu quả để đạt kết quả cao trong các bài thi môn Toán 8.
Phương pháp chia đơn thức, đa thức cho đơn thức
(199k) Xem Khóa học Toán 8 KNTTXem Khóa học Toán 8 CTSTXem Khóa học Toán 8 CD

A. Chia đơn thức cho đơn thức
I. Lý thuyết:
- Đơn thức A chia hết cho đơn thức B khi mỗi biến của B đều là biến của A với số mũ không lớn hơn số mũ của nó trong A
- Muốn chia đơn thức A cho đơn thức B (trường hợp A chia hết cho B) ta làm như sau:
+ Chia hệ số của đơn thức A cho hệ số của đơn thức B
+ Chia lũy thừa của từng biến trong A cho lũy thừa của cùng biến đó trong B.
+ Nhân các kết quả vừa tìm được với nhau.
- Nhắc lại một số quy tắc về lũy thừa:
Với mọi x,y ≠ 0; m,n ∈ N, m ≥ n thì:
xm.xn = xm+n

xm.ym = (xy)m
II. Các dạng bài:
1. Dạng 1: Áp dụng quy tắc chia đơn thức cho đơn thức để thực hiện phép tính.
a. Phương pháp giải:
Áp dụng quy tắc chia đơn thức cho đơn thức để tính.
b. Ví dụ minh họa:
a, 84 ; 8-3
= 84 -(-3)
= 87
b, 3x4 : 5x2
= (3 : 5).(x4 : x2)
=
c, x7y4 : x2y3
= (x7 : x2).(y4 : y3)
= x5y
2. Dạng 2: Tìm điều kiện để biểu thức A chia hết cho biểu thức B
a. Phương pháp giải:
Sử dụng lý thuyết về điều kiện về số mũ của các biến để đơn thức A chia hết cho đơn thức B.
b. Ví dụ minh họa:
Tìm điều kiện của n để biểu thức A chia hết cho biểu thức B trong các trường hợp sau:
a, A = 14x8yn và B = -7x7y4
ta có A : B = (14 : -7).(x8 :x7).(yn :y4)
= -2.x.yn-4
Để A chia hết cho B thì:
b, A = 20x6yz2n - 5 và B = 5x3z3
ta có A : B = (20 : 5).(x6 :x3).y.(z2n - 5 :z3)
= 4.x3.y.z2n-5-3
= 4.x3.y.z2n - 8
Để A chia hết cho B thì:
c, A = 2xyn và B = y2
ta có A : B = (2 : 1).x.(yn :y2)
= 2.x.yn-2
Để A chia hết cho B thì:
B. Chia đa thức cho đơn thức
I. Lý thuyết:
Muốn chia đa thức A cho đơn thức B (trường hợp các hạng tử của đa thức A đều chia hết cho đơn thức B) ta chia mỗi hạng tử của A cho B rồi cộng các kết quả lại với nhau.
II. Các dạng bài:
1. Dạng 1: Áp dụng quy tắc chia đa thức cho đơn thức để thực hiện phép tính
a. Phương pháp giải:
Áp dụng quy tắc chia đa thức cho đơn thức (trong trường hợp chia hết) và chia đơn thức cho đơn thức (trong trường hợp chia hết) để tính.
b. Ví dụ minh họa:
Thực hiện phép tính:
a, (3.56 - 4.54 + 2.53) : 53
= (3.56 : 53) – (4.54 : 53) + (2.53 : 53)
= 3.54 - 4.52 + 2.5
= 3.625 – 4.25 + 10
= 1785
b, (3x4 + 7x5 - 2x3) : x3
= (3x4 : x3) + (7x5: x3) - (2x3: x3)
= 3x + 7x2 - 2
= 7x2 + 3x + 2
c, [2(x + y)3 - 3(x + y)2] : 3(x + y)
= [2(x + y)3 : 3(x + y)] - [3(x + y)2 : 3(x + y)]

2. Dạng 2: Tìm điều kiện để biểu thức A chia hết cho biểu thức B
a. Phương pháp giải:
Sử dụng lý thuyết về điều kiện về số mũ của các biến để đa thức A chia hết cho đơn thức B (nghĩa là mọi hạng tử của đa thức A phải chia hết cho đơn thức B)
b. Ví dụ minh họa:
Tìm số tự nhiên n để đa thức A chia hết cho đơn thức B:
a, A = 14x8y4 - 9x2ny6 và B = -2x7yn
Ta có: A : B = (14x8y4 - 9x2ny6) : -2x7yn
= (14x8y4 :-2x7yn) - (9x2ny6 : -2x7yn)

Để A chia hết cho B thì:

=> n = 4 (vì n ∈ N )
b, A = 4x9y2n + 9x8y5 và B = 3x3ny4
Ta có: A : B = (4x9y2n + 9x8y5) : 3x3ny4
= (4x9y2n : 3x3ny4) + (9x8y5 : 3x3ny4)

Để A chia hết cho B thì:
=> n = 2 (vì n ∈ N )
c, A = -8y12z10 - 21y20z2n - 1 và B = -6y2nz9
Ta có: A : B = (-8y12z10 - 21y20z2n - 1) : -6y2nz9
= (-8y12z10 : -6y2nz9) - (21y20z2n - 1 : -6y2nz9)
=
Để A chia hết cho B thì:
=> 5 ≤ n ≤ 6
=> n ∈ (vì n ∈ N )

C. Bài tập tự luyện:
Bài 1: Làm phép tính chia:
a) (-18)4 : 94

Lời giải:
a) 16

Bài 2: Làm phép tính chia:
a) x5 : x3 .
b) 18x7 : 6x4
c) 8x6y7z2 : 4x4y7
d) 65x9y5 : (-13x4y4)
f) (5 - x)5 : (x - 5)4
Lời giải:
a) x5 : x3 = x2
b) 18x7 : 6x4 = 3x3
c) 8x6y7z2 : 4x4y7 = 2x2z2
d) 65x9y5 : (-13x4y4) = -5x5y
f) (5 - x)5 : (x - 5)4 = 5 - x
Bài 3: Tính giá trị biểu thức:
a) A = 15x5y3 : 10xy2 tại x = -3 và
b) B = (-x3y5z3) : (-x2y3z2) tại x = 1, y = -1 và z = 100

d) D = (x - y + z)5 : (-x - y + z)3 tại x = 17, y = 16 và z = 1
Lời giải:

b) B = xy2z. Thay x = 1, y = -1 và z = 100 vào B ta được B = 100.

d) D = -(x - y + z)2, thay x = 17, y = 16 và z = 1 tính được D = -4
Bài 4:
a)Cho A = 18x10yn và B = -6x7y3. Tìm điều kiện của n để biểu thức A chia hết cho biểu thức B.
b) Cho A = -12x8y2nzn - 1 và B = 2x4ynz. Tìm điều kiện của n để biểu thức A chia hết cho biểu thức B.
Lời giải :

Bài 5: Tìm các giá trị nguyên của n để hai biểu thức A và biểu thức B đồng thời chia hết cho biểu thức C biết:
a) A = x6y2n - 6, B = 2x3ny18-2n và C = x2y4
b) A = 20xny2n+3z2, B = 21x6y3-nt và C = 22xn-1y2
Lời giải :
=> n ∈

=> n ∈
Bài 6 : Ghép mỗi ý ở cột A với một ý ở cột B để có kết quả đúng.
A |
B |
a) 15xy2 |
1) 5x2y2 |
b) 20x3y2 : 4xy2 |
2) 3y |
c) 40x3y3 : 8xy |
3) 5x2 |
4) x2 |
Lời giải:
a – 2, b – 3, c – 1
Bài 7: Làm phép tính chia:
a) (6.84 - 5.83 + 82) : 82
b) (5.92 + 35 - 2.33) : 32
c) (2.34 + 32 - 7.33) : 32.
d) (6.23 - 5.24 + 25) : 23
Lời giải:
a) 6.82 - 5.8 + 1 = 345
b) (5.92 + 35 - 2.33) : 32 = 66
c) (2.34 + 32 - 7.33) : 32 = 2.32 + 1 - 7.3 = -2
d) (6.23 - 5.24 + 25) : 23 = 6 - 5.2 + 22 = 0
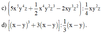
Bài 8: Làm phép tính chia:
a) (x3 + 12x2 - 5x) : x.
b) (3x4y3 - 9x2y2 + 25xy3) : xy2.

e) (8x3 - 27y3) : (2x - 3y).
f) [5(x + 2y)6 - 6(x + 2y)5] : 2(x + 2y)4 .
Lời giải:
a) (x3 + 12x2 - 5x) : x
= x2 + 12 - 5
b) (3x4y3 - 9x2y2 + 25xy3) : xy2
= 3x3y - 9x + 25y
e) (8x3 - 27y3) : (2x - 3y)
= (2x - 3y)(4x2 + 6xy + 9y2) : (2x - 3y)
= 4x2 + 6xy + 9y2
f) [5(x + 2y)6 - 6(x + 2y)5] : 2(x + 2y)4
Bài 9: Tính giá trị biểu thức:
a) A = (15x5y3 - 10x3y2 + 20x4y4) : 5x2y2 tại x = -1; y = 2
b) B = [(2x2y)2 + 3x4y3 - 6x3y2] : (xy)2 tại x = y = -2

Lời giải:
a) A = 3x3y - 2x + 4x2y2 .
Thay x = -1; y = 2 vào biểu thức tính được kết quả A = 12
b) B = 4x2 + 3x2y - 6x
Thay x = y = -2 vào biểu thức tính được kết quả B = 4 .

Bài 10: Tìm số tự nhiên n để đa thức A chia hết cho đơn thức B:
a) A = x2y4 + 2x3y3, B = xny2 .
b) A = 5x8y4 - 9x2ny6, B = -x7yn .
c) A = 4x9y2n + 10x10y5z2. B = 2x3ny4 .
Lời giải:
a) A ⋮ B ⇔ 2 ≥ n ⇔ n ≤ 2 mà n ∈ N => n = .

(199k) Xem Khóa học Toán 8 KNTTXem Khóa học Toán 8 CTSTXem Khóa học Toán 8 CD
Xem thêm các dạng bài tập Toán lớp 8 chọn lọc, có đáp án hay khác:
- Phương pháp Chia đa thức cho một biến đã sắp xếp
- Phương pháp nhân đơn thức với đa thức, đa thức với đa thức
- Những hằng đẳng thức đáng nhớ và cách giải
- Phương pháp Phân tích đa thức thành nhân tử
Xem thêm các loạt bài Để học tốt Toán lớp 8 hay khác:
Tủ sách VIETJACK shopee lớp 6-8 (2025):
Đã có app VietJack trên điện thoại, giải bài tập SGK, SBT Soạn văn, Văn mẫu, Thi online, Bài giảng....miễn phí. Tải ngay ứng dụng trên Android và iOS.
Theo dõi chúng tôi miễn phí trên mạng xã hội facebook và youtube:Loạt bài Lý thuyết & 700 Bài tập Toán lớp 8 có lời giải chi tiết có đầy đủ Lý thuyết và các dạng bài có lời giải chi tiết được biên soạn bám sát nội dung chương trình sgk Đại số 8 và Hình học 8.
Nếu thấy hay, hãy động viên và chia sẻ nhé! Các bình luận không phù hợp với nội quy bình luận trang web sẽ bị cấm bình luận vĩnh viễn.
- Giải Tiếng Anh 8 Global Success
- Giải sgk Tiếng Anh 8 Smart World
- Giải sgk Tiếng Anh 8 Friends plus
- Lớp 8 - Kết nối tri thức
- Soạn văn 8 (hay nhất) - KNTT
- Soạn văn 8 (ngắn nhất) KNTT
- Giải sgk Toán 8 - KNTT
- Giải sgk Khoa học tự nhiên 8 - KNTT
- Giải sgk Lịch Sử 8 - KNTT
- Giải sgk Địa Lí 8 - KNTT
- Giải sgk Giáo dục công dân 8 - KNTT
- Giải sgk Tin học 8 - KNTT
- Giải sgk Công nghệ 8 - KNTT
- Giải sgk Hoạt động trải nghiệm 8 - KNTT
- Giải sgk Âm nhạc 8 - KNTT
- Lớp 8 - Chân trời sáng tạo
- Soạn văn 8 (hay nhất) - CTST
- Soạn văn 8 (ngắn nhất) - CTST
- Giải sgk Toán 8 - CTST
- Giải sgk Khoa học tự nhiên 8 - CTST
- Giải sgk Lịch Sử 8 - CTST
- Giải sgk Địa Lí 8 - CTST
- Giải sgk Giáo dục công dân 8 - CTST
- Giải sgk Tin học 8 - CTST
- Giải sgk Công nghệ 8 - CTST
- Giải sgk Hoạt động trải nghiệm 8 - CTST
- Giải sgk Âm nhạc 8 - CTST
- Lớp 8 - Cánh diều
- Soạn văn 8 Cánh diều (hay nhất)
- Soạn văn 8 Cánh diều (ngắn nhất)
- Giải sgk Toán 8 - Cánh diều
- Giải sgk Khoa học tự nhiên 8 - Cánh diều
- Giải sgk Lịch Sử 8 - Cánh diều
- Giải sgk Địa Lí 8 - Cánh diều
- Giải sgk Giáo dục công dân 8 - Cánh diều
- Giải sgk Tin học 8 - Cánh diều
- Giải sgk Công nghệ 8 - Cánh diều
- Giải sgk Hoạt động trải nghiệm 8 - Cánh diều
- Giải sgk Âm nhạc 8 - Cánh diều


Giải bài tập SGK & SBT
Tài liệu giáo viên
Sách
Khóa học
Thi online
Hỏi đáp

