Sử dụng bất đẳng thức để tìm giá trị lớn nhất, giá trị nhỏ nhất
Với Sử dụng bất đẳng thức để tìm giá trị lớn nhất, giá trị nhỏ nhất môn Toán lớp 8 phần Đại số sẽ giúp học sinh ôn tập, củng cố kiến thức từ đó biết cách làm các dạng bài tập Toán lớp 8 Chương 4: Bất phương trình bậc nhất một ẩn để đạt điểm cao trong các bài thi môn Toán 8.
Sử dụng bất đẳng thức để tìm giá trị lớn nhất, giá trị nhỏ nhất
(199k) Xem Khóa học Toán 8 KNTTXem Khóa học Toán 8 CTSTXem Khóa học Toán 8 CD
Dạng bài: Áp dụng bất đẳng thức để tìm giá trị lớn nhất, giá trị nhỏ nhất của biểu thức
A. Phương pháp giải
+ Nếu ( k là hằng số) và dấu “=” xảy ra khi và chỉ khi x=a thì giá trị nhỏ nhất của f(x) là k khi và chỉ khi x=a.
Ta viết min f(x)=k khi và chỉ khi x=a.
+ Nếu ( k là hằng số) và dấu “=” xảy ra khi và chỉ khi x=a thì giá trị lớn nhất của f(x) là k khi và chỉ khi x=a.
Ta viết max f(x)=k khi và chỉ khi x=a.
* Sử dụng “bình phương” để tìm giá trị lớn nhất, giá trị nhỏ nhất.
Nếu thì min y = a khi f(x) = 0.
Nếu thì min y = a khi f(x) = 0.
* Sử dụng các bất đẳng thức Cô si, Bunhiacopxki,….
B. Ví dụ minh họa
Câu 1: Tìm giá trị nhỏ nhất của các biểu thức sau:
Lời giải:
Câu 2: Tìm GTLN của các biểu thức:
Lời giải:
Câu 3: Tìm giá trị nhỏ nhất của:
Lời giải:
C. Bài tập tự luyện
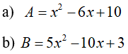
Câu 1: Tìm giá trị nhỏ nhất của biểu thức:
Câu 2: Tìm giá trị lớn nhất của biểu thức:
Câu 3: Cho x>0.
Câu 4: Tìm giá trị nhỏ nhất của biểu thức:
Câu 5: Tìm giá trị lớn nhất của biểu thức:
Câu 6: Cho hai số thực x; y thỏa mãn điều kiện .
Tìm giá trị lớn nhất và giá trị nhỏ nhất của x+y.
Câu 7: Cho . Tìm giá trị lớn nhất và giá trị nhỏ nhất của biểu thức:
(199k) Xem Khóa học Toán 8 KNTTXem Khóa học Toán 8 CTSTXem Khóa học Toán 8 CD
Xem thêm các dạng bài tập Toán lớp 8 chọn lọc hay khác:
- Bài toán chứng minh bất đẳng thức lớp 8 cơ bản, chi tiết
- Kiểm tra một số có phải là nghiệm của bất phương trình hay không
- Cách biểu diễn tập nghiệm của bất phương trình trên trục số
- Cách tìm điều kiện để hai bất phương trình tương đương (hay, chi tiết)
- Cách giải bất phương trình (hay, chi tiết)
Xem thêm các loạt bài Để học tốt Toán lớp 8 hay khác:
Tủ sách VIETJACK shopee lớp 6-8 (2025):
Đã có app VietJack trên điện thoại, giải bài tập SGK, SBT Soạn văn, Văn mẫu, Thi online, Bài giảng....miễn phí. Tải ngay ứng dụng trên Android và iOS.
Theo dõi chúng tôi miễn phí trên mạng xã hội facebook và youtube:Loạt bài Lý thuyết & 700 Bài tập Toán lớp 8 có lời giải chi tiết có đầy đủ Lý thuyết và các dạng bài có lời giải chi tiết được biên soạn bám sát nội dung chương trình sgk Đại số 8 và Hình học 8.
Nếu thấy hay, hãy động viên và chia sẻ nhé! Các bình luận không phù hợp với nội quy bình luận trang web sẽ bị cấm bình luận vĩnh viễn.
- Giải Tiếng Anh 8 Global Success
- Giải sgk Tiếng Anh 8 Smart World
- Giải sgk Tiếng Anh 8 Friends plus
- Lớp 8 - Kết nối tri thức
- Soạn văn 8 (hay nhất) - KNTT
- Soạn văn 8 (ngắn nhất) KNTT
- Giải sgk Toán 8 - KNTT
- Giải sgk Khoa học tự nhiên 8 - KNTT
- Giải sgk Lịch Sử 8 - KNTT
- Giải sgk Địa Lí 8 - KNTT
- Giải sgk Giáo dục công dân 8 - KNTT
- Giải sgk Tin học 8 - KNTT
- Giải sgk Công nghệ 8 - KNTT
- Giải sgk Hoạt động trải nghiệm 8 - KNTT
- Giải sgk Âm nhạc 8 - KNTT
- Lớp 8 - Chân trời sáng tạo
- Soạn văn 8 (hay nhất) - CTST
- Soạn văn 8 (ngắn nhất) - CTST
- Giải sgk Toán 8 - CTST
- Giải sgk Khoa học tự nhiên 8 - CTST
- Giải sgk Lịch Sử 8 - CTST
- Giải sgk Địa Lí 8 - CTST
- Giải sgk Giáo dục công dân 8 - CTST
- Giải sgk Tin học 8 - CTST
- Giải sgk Công nghệ 8 - CTST
- Giải sgk Hoạt động trải nghiệm 8 - CTST
- Giải sgk Âm nhạc 8 - CTST
- Lớp 8 - Cánh diều
- Soạn văn 8 Cánh diều (hay nhất)
- Soạn văn 8 Cánh diều (ngắn nhất)
- Giải sgk Toán 8 - Cánh diều
- Giải sgk Khoa học tự nhiên 8 - Cánh diều
- Giải sgk Lịch Sử 8 - Cánh diều
- Giải sgk Địa Lí 8 - Cánh diều
- Giải sgk Giáo dục công dân 8 - Cánh diều
- Giải sgk Tin học 8 - Cánh diều
- Giải sgk Công nghệ 8 - Cánh diều
- Giải sgk Hoạt động trải nghiệm 8 - Cánh diều
- Giải sgk Âm nhạc 8 - Cánh diều


Giải bài tập SGK & SBT
Tài liệu giáo viên
Sách
Khóa học
Thi online
Hỏi đáp

