Tính diện tích xung quanh, diện tích toàn phần, thể tích của hình chóp đều, hình chóp cụt đều
Với Tính diện tích xung quanh, diện tích toàn phần, thể tích của hình chóp đều, hình chóp cụt đều môn Toán lớp 8 phần Hình học sẽ giúp học sinh ôn tập, củng cố kiến thức từ đó biết cách làm các dạng bài tập Toán lớp 8 Chương 4: Hình lăng trụ đứng - Hình chóp đều để đạt điểm cao trong các bài thi môn Toán 8.
- Cách giải bài tập Tính diện tích xung quanh, diện tích toàn phần, thể tích của hình chóp đều, hình chóp cụt đều
- Ví dụ minh họa bài tập Tính diện tích xung quanh, diện tích toàn phần, thể tích của hình chóp đều, hình chóp cụt đều
- Bài tập tự luyện Tính diện tích xung quanh, diện tích toàn phần, thể tích của hình chóp đều, hình chóp cụt đều
- Bài tập bổ sung Tính diện tích xung quanh, diện tích toàn phần, thể tích của hình chóp đều, hình chóp cụt đều
Tính diện tích xung quanh, diện tích toàn phần, thể tích của hình chóp đều, hình chóp cụt đều
(199k) Xem Khóa học Toán 8 KNTTXem Khóa học Toán 8 CTSTXem Khóa học Toán 8 CD
Dạng bài: Tính diện tích xung quanh, diện tích toàn phần và thể tích của hình chóp đều, hình chóp cụt đều
A. Phương pháp giải
a) Hình chóp đều

Diện tích xung quanh của hình chóp đều bằng tích của nửa chu vi với trung đoạn.
Như vậy, ta có: Sxq=p.d
Trong đó:
- p là nửa chu vi đáy.
- d trung đoạn.
Diện tích toàn phần của hình chóp đều bằng tổng diện tích xung quanh và diện tích đáy.
Như vậy, ta có:Stp=Sxq + Sday
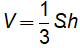
Thể tích của hình chóp đều bằng một phần ba tích của diện tích đáy nhân với chiều cao.
Như vậy, ta có: 
Trong đó:
- S là diện tích đáy.
- h là chiều cao.
b) Hình chóp cụt đều
Với hình chóp cụt đều, ta có:

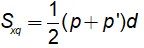
a. Diện tích xung quanh:

Trong đó:
- p và p’ lần lượt là chu vi hai đáy.
- d là đường cao của mặt bên.
b. Thể tích:

Trong đó:
- B, B’ là diện tích các đáy
- h là độ dài đường cao
B. Ví dụ minh họa
Câu 1: Tính diện tích xung quanh, diện tích toàn phần của các hình chóp tứ giác đều trong hình 126.

Lời giải:
a) Hình a) là hình chóp tứ giác đều với cạnh đáy là 20m, trung đoạn 20m. Ta có:
- Diện tích xung quanh: S=(2.20)=800(m2)
- Diện tích toàn phần: S=800+202=1200(m2)
b) Hình b) là hình chóp tứ giác đều với cạnh đáy là 7cm, trung đoạn 12cm.
- Diện tích xung quanh: S=(2.7).12=168(cm2)
- Diện tích toàn phần:S=168+72=217(cm2)
c) Hình c) là hình chóp tứ giác đều với cạnh đáy là 16cm, trung đoạn 17cm. Ta có:

Diện tích toàn phần: S=480+162=736(m2)
Câu 2: Cho hình chóp tam giác đều S.ABC có các mặt bên là những tam giác đều,AB=4cm và O là trọng tâm. Gọi M là trung điểm BC.
a) Tính độ dài các đoạn thẳng SO, SM.
b) Tính diện tích xung quanh, diện tích toàn phần và thể tích của hình chóp.
Lời giải:
|
a) Nhận xét rằng:
|
|
b) Ta lần lượt có:

Câu 3: Tính diện tích toàn phần của hình chóp tam giác đều có cạnh đáy bằng a và chiều cao bằng 2a.
Giải.

Xét hình chóp S.ABC có AB = AC = BC = a và SH = 2a.
Gọi M là trung điểm của BC thì AM vừa là đường trung tuyến, vừa là đường cao, vừa là đường phân giác của tam giác đều ABC nên AM ⊥ BC và HM = 1/3AM.
Áp dụng định lý Py – ta – go vào tam giác vuông ABM vuông tại M ta được:
AB2 = BM2 + AM2⇒ a2 = ( )2 + AM2

Do đó
.
Áp dụng định lí Py – ta – go vào tam giác vuông SHM vuông tại H, ta có:
SM2 = HM2 + SH2


Áp dụng công thức: Stp = Sxq + Sd
Ta có:


C. Bài tập tự luyện
Câu 1: Cho hình chóp tam giác đều S.ABC có độ dài cạnh đáy là 12cm, độ dài cạnh bên là 8cm. Hãy tính:
a) Thể tích của hình chóp;
b) Diện tích toàn phần của hình chóp.
Câu 2: Cho hình chóp tứ giác đều S. ABCD, ABCD là hình vuông có cạnh bằng 20 cm, cạnh bên hình chóp bằng 24 cm.
a) Tính độ dài đường cao SO và tính thể tích hình chóp.
b) Tính diện tích toàn phần của hình chóp.
Câu 3: Cho hình chóp tứ giác đều S. ABCD, AB=a, đường cao
. Chứng minh rằng diện tích đáy của hình chóp đều bằng 1/2 diện tích xung quanh.
Câu 4: Cho hình lập phương ABCD.A’B’C’D’, độ dài mỗi cạnh là a.
a) Chứng minh rằng hình chóp C.DBC’ là một hình chóp đều.
b) Tính diện tích toàn phần của hình chóp đều C.DBC’.
c) Tính chiều cao của hình chóp đều C.DBC’.
Câu 5: Một hình chóp cụt đều ABCD.A’B’C’D’ có các cạnh đáy bằng a và 2a, đường cao của mặt bên bằng a.
a) Tính diện tích xung quanh
b) Tính cạnh bên, đường cao của hình chóp cụt đều.
Câu 6: Cho hình chóp tứ giác đều S. ABCD có AB = 2cm, SA = 4cm. Tính độ dài trung đoạn và chiều cao của hình chóp đều này.
Câu 7:
Hình bên biểu diễn một hình chóp cụt tam giác đều. Biết cạnh đáy lớn dài gấp hai lần cạnh đáy nhỏ và MM'=5cm. diện tích xung quanh của hình chóp cụt đều là 90 cm2. Tính độ dài mỗi cạnh đáy nhỏ. |
|
D. Bài tập bổ sung
Bài 1. Cho hình chóp tứ giác đều S.ABCD, M là trung điểm của đoạn thẳng CD. Biết AB = 5 cm, SM = 10 cm.
a) Tính diện tích xung quanh của hình chóp.
b) Tính thể tích cua rhình chóp.
Bài 2. Cho hình chóp tứ giác đều S.ABCD, M là trung điểm của cạnh AB. Biết SM = 5cm, diện tích xung quanh của hình chóp là 60cm2.
a) Tính diện tích toàn phần của hình chóp.
b) Tính thể tích của hình chóp.
Bài 3. Cho hình chóp tứ giác đều S.ABCD có độ dài cạnh đáy là 10 cm, cạnh bên SA = 8 cm.
a) Tính diện tích toàn phần của hình chóp.
b) Tính thể tích hình chóp
Bài 4. Cho hình chóp đều S.ABCD có độ dài cạnh bên là 20 cm, đáy ABCD có cạnh dài 25 cm. Một mặt phẳng song song với đáy cắt các cạnh bên SA, SB, SC, SD lần lượt tại các điểm M, N, P, Q. Biết SM = 10 cm.
a) Tính diện tích xung quanh của hình chóp cụt MNPQ.ABCD
b) Tính thể tích của hình chóp cụt MNPQ.ABCD
Bài 5. Hình chóp đều S.ABCD có độ dài cạnh đáy AB = 10 cm, độ dài cạnh bên SA = 12 cm. Lấy các điểm M, N, P, Q lần lượt thuộc các cạnh bên SA, SB, SC, SD sao cho SM = SN = SP = SQ = 4 cm. Tính thể tích của hình chóp cụt MNPQ.ABCD.
(199k) Xem Khóa học Toán 8 KNTTXem Khóa học Toán 8 CTSTXem Khóa học Toán 8 CD
Xem thêm các dạng bài tập Toán lớp 8 chọn lọc hay khác:
- Tìm số mặt, số đỉnh, số cạnh của hình lăng trụ đứng
- Tìm các yếu tố song song, vuông góc trong hình lăng trụ đứng
- Tính diện tích xung quanh, diện tích toàn phần, thể tích của hình lăng trụ đứng
- Tính số mặt, số đỉnh, số cạnh của hình chóp đều
- Chứng minh quan hệ song song, vuông góc, bằng nhau trong hình chóp đều
Xem thêm các loạt bài Để học tốt Toán lớp 8 hay khác:
Tủ sách VIETJACK shopee lớp 6-8 (2025):
Đã có app VietJack trên điện thoại, giải bài tập SGK, SBT Soạn văn, Văn mẫu, Thi online, Bài giảng....miễn phí. Tải ngay ứng dụng trên Android và iOS.
Theo dõi chúng tôi miễn phí trên mạng xã hội facebook và youtube:Loạt bài Lý thuyết & 700 Bài tập Toán lớp 8 có lời giải chi tiết có đầy đủ Lý thuyết và các dạng bài có lời giải chi tiết được biên soạn bám sát nội dung chương trình sgk Đại số 8 và Hình học 8.
Nếu thấy hay, hãy động viên và chia sẻ nhé! Các bình luận không phù hợp với nội quy bình luận trang web sẽ bị cấm bình luận vĩnh viễn.
- Giải Tiếng Anh 8 Global Success
- Giải sgk Tiếng Anh 8 Smart World
- Giải sgk Tiếng Anh 8 Friends plus
- Lớp 8 - Kết nối tri thức
- Soạn văn 8 (hay nhất) - KNTT
- Soạn văn 8 (ngắn nhất) KNTT
- Giải sgk Toán 8 - KNTT
- Giải sgk Khoa học tự nhiên 8 - KNTT
- Giải sgk Lịch Sử 8 - KNTT
- Giải sgk Địa Lí 8 - KNTT
- Giải sgk Giáo dục công dân 8 - KNTT
- Giải sgk Tin học 8 - KNTT
- Giải sgk Công nghệ 8 - KNTT
- Giải sgk Hoạt động trải nghiệm 8 - KNTT
- Giải sgk Âm nhạc 8 - KNTT
- Lớp 8 - Chân trời sáng tạo
- Soạn văn 8 (hay nhất) - CTST
- Soạn văn 8 (ngắn nhất) - CTST
- Giải sgk Toán 8 - CTST
- Giải sgk Khoa học tự nhiên 8 - CTST
- Giải sgk Lịch Sử 8 - CTST
- Giải sgk Địa Lí 8 - CTST
- Giải sgk Giáo dục công dân 8 - CTST
- Giải sgk Tin học 8 - CTST
- Giải sgk Công nghệ 8 - CTST
- Giải sgk Hoạt động trải nghiệm 8 - CTST
- Giải sgk Âm nhạc 8 - CTST
- Lớp 8 - Cánh diều
- Soạn văn 8 Cánh diều (hay nhất)
- Soạn văn 8 Cánh diều (ngắn nhất)
- Giải sgk Toán 8 - Cánh diều
- Giải sgk Khoa học tự nhiên 8 - Cánh diều
- Giải sgk Lịch Sử 8 - Cánh diều
- Giải sgk Địa Lí 8 - Cánh diều
- Giải sgk Giáo dục công dân 8 - Cánh diều
- Giải sgk Tin học 8 - Cánh diều
- Giải sgk Công nghệ 8 - Cánh diều
- Giải sgk Hoạt động trải nghiệm 8 - Cánh diều
- Giải sgk Âm nhạc 8 - Cánh diều





Giải bài tập SGK & SBT
Tài liệu giáo viên
Sách
Khóa học
Thi online
Hỏi đáp

