Tính độ dài đoạn thẳng bằng tính chất đường phân giác
Với Tính độ dài đoạn thẳng bằng tính chất đường phân giác môn Toán lớp 8 phần Hình học sẽ giúp học sinh ôn tập, củng cố kiến thức từ đó biết cách làm các dạng bài tập Toán lớp 8 Chương 3: Tam giác đồng dạng để đạt điểm cao trong các bài thi môn Toán 8.
Tính độ dài đoạn thẳng bằng tính chất đường phân giác
(199k) Xem Khóa học Toán 8 KNTTXem Khóa học Toán 8 CTSTXem Khóa học Toán 8 CD
Dạng bài: Tính độ dài đoạn thẳng
A. Phương pháp giải
+) Định lí:
Trong tam giác, đường phân giác của một góc trong chia cạnh đối diện thành hai đoạn thẳng tỉ lệ với hai cạnh kề hai đoạn ấy.


Định lý vẫn đúng với đường phân giác góc ngoài của tam giác.

Các định lý trên có định lý đảo

+) Tính chất của tỉ lệ thức
B. Ví dụ minh họa
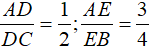
Câu 1: Cho hình vẽ sau:

a. Tính
b. Tính x khi y = 5
Lời giải:
a. Vì AD là đường phân giác của
(hình vẽ)
Sử dụng tính chất đường phân giác của tam giác ta có:

b. Sử dụng kết quả trong a), ta có:

Câu 2: Cho ∆ABC có AB = 4cm, AC = 6cm, BC = 5cm. Đường phân giác trong và ngoài của góc A cắt BC theo thứ tự ở D và D1. Tính độ dài BD, BD1.
Lời giải:
Đặt BD = x và BD1 = y. Trong ∆ABC, ta lần lượt thấy
- AD là phân giác trong, suy ra:

- AD1 là phân giác ngoài, suy ra:

Vậy ta được BD = 2cm và BD1 = 10cm.
Câu 3: Cho ∆ABC có BC = a, AC = b, AB = c và AD là đường phân giác.
a. Tính độ dài các đoạn BD và CD theo a, b, c.
b. Tính tỉ số diện tích của hai tam giác ∆ABD và ∆ACD.
Lời giải:
Đặt BD = x.
Trong ∆ABC có AD là phân giác, suy ra:

C. Bài tập tự luyện
Câu 1: Tính x trong hình vẽ sau:

Câu 2: Tính x trong hình 24 và làm tròn kết quả đến chữ số thập phân thứ nhất.
Hướng dẫn: sử dụng định lí đường phân giác.

Câu 3: Cho ∆ABC có AB = 5cm, AC = 6cm, BC = 7cm và tia phân giác của góc BAC cắt cạnh BC tại E. Tính độ dài các đoạn EB và EC.
Câu 4: Tính tỉ số
trong hình vẽ sau:

Câu 5: Cho tam giác ABC cân tại A, đường phân giác trong của góc B cắt AC tại D. Biết AB = 15cm; BC = 10cm. Tính độ dài cạnh AD?
Câu 6: Cho tam giác ABC vuông tại A có AB = 15cm; AC = 20cm, đường cao AH (H∈BC). Tia phân giác của
cắt HB tại D. Tia phân giác
cắt HC tại E. Tính DH?
Câu 7: Cho tam giác ABC, AB = AC = 10cm; BC = 12cm. Gọi I là giao điểm của các đường phân giác của tam giác ABC. Tính BI?
Câu 8: Cho tam giác ABC có chu vi 18cm, các đường phân giác BD và CE. Tính các cạnh của tam giác ABC biết
?
Bài 9. Cho hình tam giác ABC, đường phân giác trong tại đỉnh A cắt BC ở D. Biết AB = 4 cm, AC = 7 cm, BD = 2 cm. Tính độ dài đoạn thẳng CD.
Bài 10. Cho tam giác ABC, đường phân giác trong AD và BE (D ∈ BC, E ∈ AC). Biết AB = 3, AC = 8, BC = 6. Tính độ dài đoạn thẳng AE và BD.
Bài 11. Cho tam giác ABC, các đường phân giác trong AD và BE (D ∈ BC, E ∈ AC) cắt nhau tại I. Biết AB = 2a, AC = 3a, BC = 4a. Tính tỉ số độ dài giữa hai đoạn thẳng BI và IE.
Bài 12. Cho hình chữ nhật ABCD. Đường phân giác của góc A cắt BD, CD lần lượt tại M và N. Gọi O là giao điểm của hai đường chéo. P là điểm đối xứng với N qua O. Tính độ dài đoạn thẳng OM và AP. Biết AB = 2, AD = 5.
Bài 13. Cho hình thang cân ABCD, CD = 2AB = 2AD = 4 cm. Đường phân giác trong tại đỉnh A cắt BD tại E. Tính độ dài đoạn thẳng DE.
(199k) Xem Khóa học Toán 8 KNTTXem Khóa học Toán 8 CTSTXem Khóa học Toán 8 CD
Xem thêm các dạng bài tập Toán lớp 8 chọn lọc hay khác:
- Vận dụng tính chất đường phân giác để chứng minh các hệ thức
- Giải bài toán tỉ số diện tích tam giác bằng tính chất đường phân giác
- Tìm tỉ số đồng dạng của hai tam giác (hay, chi tiết)
- Chứng minh hai tam giác đồng dạng – trường hợp đồng dạng thứ nhất (C-C-C)
- Chứng minh hai tam giác đồng dạng – trường hợp đồng dạng thứ hai (C–G–C)
Xem thêm các loạt bài Để học tốt Toán lớp 8 hay khác:
Tủ sách VIETJACK shopee lớp 6-8 (2025):
Đã có app VietJack trên điện thoại, giải bài tập SGK, SBT Soạn văn, Văn mẫu, Thi online, Bài giảng....miễn phí. Tải ngay ứng dụng trên Android và iOS.
Theo dõi chúng tôi miễn phí trên mạng xã hội facebook và youtube:Loạt bài Lý thuyết & 700 Bài tập Toán lớp 8 có lời giải chi tiết có đầy đủ Lý thuyết và các dạng bài có lời giải chi tiết được biên soạn bám sát nội dung chương trình sgk Đại số 8 và Hình học 8.
Nếu thấy hay, hãy động viên và chia sẻ nhé! Các bình luận không phù hợp với nội quy bình luận trang web sẽ bị cấm bình luận vĩnh viễn.
- Giải Tiếng Anh 8 Global Success
- Giải sgk Tiếng Anh 8 Smart World
- Giải sgk Tiếng Anh 8 Friends plus
- Lớp 8 - Kết nối tri thức
- Soạn văn 8 (hay nhất) - KNTT
- Soạn văn 8 (ngắn nhất) KNTT
- Giải sgk Toán 8 - KNTT
- Giải sgk Khoa học tự nhiên 8 - KNTT
- Giải sgk Lịch Sử 8 - KNTT
- Giải sgk Địa Lí 8 - KNTT
- Giải sgk Giáo dục công dân 8 - KNTT
- Giải sgk Tin học 8 - KNTT
- Giải sgk Công nghệ 8 - KNTT
- Giải sgk Hoạt động trải nghiệm 8 - KNTT
- Giải sgk Âm nhạc 8 - KNTT
- Lớp 8 - Chân trời sáng tạo
- Soạn văn 8 (hay nhất) - CTST
- Soạn văn 8 (ngắn nhất) - CTST
- Giải sgk Toán 8 - CTST
- Giải sgk Khoa học tự nhiên 8 - CTST
- Giải sgk Lịch Sử 8 - CTST
- Giải sgk Địa Lí 8 - CTST
- Giải sgk Giáo dục công dân 8 - CTST
- Giải sgk Tin học 8 - CTST
- Giải sgk Công nghệ 8 - CTST
- Giải sgk Hoạt động trải nghiệm 8 - CTST
- Giải sgk Âm nhạc 8 - CTST
- Lớp 8 - Cánh diều
- Soạn văn 8 Cánh diều (hay nhất)
- Soạn văn 8 Cánh diều (ngắn nhất)
- Giải sgk Toán 8 - Cánh diều
- Giải sgk Khoa học tự nhiên 8 - Cánh diều
- Giải sgk Lịch Sử 8 - Cánh diều
- Giải sgk Địa Lí 8 - Cánh diều
- Giải sgk Giáo dục công dân 8 - Cánh diều
- Giải sgk Tin học 8 - Cánh diều
- Giải sgk Công nghệ 8 - Cánh diều
- Giải sgk Hoạt động trải nghiệm 8 - Cánh diều
- Giải sgk Âm nhạc 8 - Cánh diều


Giải bài tập SGK & SBT
Tài liệu giáo viên
Sách
Khóa học
Thi online
Hỏi đáp

