20+ Bài tập trắc nghiệm Những hằng đẳng thức đáng nhớ có đáp án (phần 2)
Với bài tập trắc nghiệm Những hằng đẳng thức đáng nhớ (phần 2) lớp 8 có lời giải chi tiết sẽ giúp học sinh ôn tập, biết cách làm bài tập trắc nghiệm Những hằng đẳng thức đáng nhớ (phần 2)
20+ Bài tập trắc nghiệm Những hằng đẳng thức đáng nhớ có đáp án (phần 2)
(199k) Học Toán 8 KNTTHọc Toán 8 CTSTHọc Toán 8 CD
Bài 1: Chọn câu đúng.
A. (A + B)3 = A3 + 3A2B + 3AB2 + B3
B. (A - B)3 = A3 - 3A2B - 3AB2 - B3
C. (A + B)3 = A3 + B3
D. (A - B)3 = A3 - B3
Lời giải
Ta có (A + B)3 = A3 + 3A2B + 3AB2 + B3 nên phương án C sai, A đúng.
(A - B)3 = A3 - 3A2B + 3AB2 - B3 nên phương án B sai, D sai.
Đáp án cần chọn là: A
Bài 2: Chọn câu đúng. (x – 2y)3 bằng
A. x3 – 3xy + 3x2y + y3
B. x3 – 6x2y + 12xy2 – 8y3
C. x3 – 6x2y + 12xy2 – 4y3
D. x3 – 3x2y + 12xy2 – 8y3
Lời giải
Ta có (x – 2y)3 = x3 – 3.x2.2y + 3x.(2y)2 – (2y)3 = x3 – 6x2y + 12xy2 – 8y3
Đáp án cần chọn là: B
Bài 3: Chọn câu sai.
A. A3 + B3 = (A + B)(A2 – AB + B2)
B. A3 - B3 = (A - B)(A2 + AB + B2)
C. (A + B)3 = (B + A)3
D. (A – B)3 = (B – A)3
Lời giải
Ta có A3 + B3 = (A + B)(A2 – AB + B2) và A3 - B3 = (A - B)(A2 + AB + B2) nên A, B đúng.
Vì A + B = B + A ⇒ (A + B)3 = (B + A)3 nên C đúng
Vì A – B = - (B – A) ⇒ (A – B)3 = -(B – A)3 nên D sai
Đáp án cần chọn là: D
Bài 4: Chọn câu đúng.
A. 8 + 12y + 6y2 + y3 = (8 + y3)
B. a3 + 3a2 + 3a + 1 = (a + 1)3
C. (2x – y)3 = 2x3 – 6x2y + 6xy – y3
D. (3a + 1)3 = 3a3 + 9a2 + 3a + 1
Lời giải
Ta có 8 + 12y + 6y2 + y3 = 23 + 3.22y + 3.2.y2 + y3 = (2 + y)3 ≠ (8 + y3) nên A sai
+ Xét (2x – y)3 = (2x3 – 3(2x)2.y + 3.2x.y2 – y3
= 8x3 – 12x2y + 6xy – y3 ≠ 2x3 – 6x2y + 6xy – y3 nên C sai
+ Xét (3a + 1)3 = (3a)3 + 3.(3a)2.1 + 3.3a.12 + 1
= 27a3 + 27a2 + 9a + 1 ≠ 3a3 + 9a2 + 3a + 1 nên D sai
+ Xét a3 + 3a2 + 3a + 1 = (a + 1)3 nên B đúng
Đáp án cần chọn là: B
Bài 5: Chọn câu sai.
A. (-b – a)3 = -a3 – 3ab(a + b) – b3
B. (c – d)3 = c3 – d3 + 3cd(d – c)
C. (y – 2)3 = y3 – 8 – 6y(y + 2)
D. (y – 1)3 = y3 – 1- 3y(y – 1)
Lời giải
Ta có (-b – a)3 = [-(a + b)3] = -(a + b)3
= -(a3 + 3a2b + 3ab2 + b3)
= -a3 - 3a2b - 3ab2 - b3
= -a3 – 3ab(a + b) – b3 nên A đúng
+ Xét (c – d)3 = c3 – 3c2d + 3cd2 + d3 = c3 – d3 + 3cd(d – c) nên B đúng
+ Xét (y – 1)3 = y3 – 3y2.1 + 3y.12 – 13 = y3 – 1 – 3y(y – 1) nên D đúng
+ Xét (y – 2)3 = y3 – 3y2.2 +3y.22 – 23 = y3 – 6y2 + 12y – 8
= y3 – 8 – 6y(y – 2) ≠ y3 – 8 – 6y(y + 2) nên C sai
Đáp án cần chọn là: C
Bài 6: Viết biểu thức x3 + 12x2 + 48x + 64 dưới dạng lập phương của một tổng
A. (x + 4)3
B. (x – 4)3
C. (x – 8)3
D. (x + 8)3
Lời giải
Ta có x3 + 12x2 + 48x + 64 = x3 + 3x2.4 + 3.x.42 + 43 = (x + 4)3
Đáp án cần chọn là: A
Bài 7: Viết biểu thức 8x3 + 36x2 + 54x + 27 dưới dạng lập phương của một tổng
A. (2x + 9)3
B. (2x + 3)3
C. (4x + 3)3
D. (4x + 9)3
Lời giải
Ta có 8x3 + 36x2 + 54x + 27 = (2x)3 + 3(2x)2.3 + 3.2x.32 + 33 = (2x + 3)3
Đáp án cần chọn là: B
Bài 8: Viết biểu thức x3 – 6x2 + 12x – 8 dưới dạng lập phương của một hiệu
A. (x + 4)3
B. (x – 4)3
C. (x + 2)3
D. (x - 8)3
Lời giải
Ta có x3 – 6x2 + 12x – 8 = x3 – 3.x2.2 + 3.x.22 – 23 = (x – 2)3
Đáp án cần chọn là: D
Bài 9: Viết biểu thức 8x3 – 12x2y + 6xy2 – y3 dưới dạng lập phương của một hiệu
A. (2x – y)3
B. (x – 2y)3
C. (4x – y)3
D. (2x + y)3
Lời giải
Ta có 8x3 – 12x2y + 6xy2 – y3 = (2x)3 – 3.(2x)2y + 3.2x.y2 – y3 = (2x – y)3
Đáp án cần chọn là: A
Bài 10: Viết biểu thức (x – 3y)(x2 + 3xy + 9y2) dưới dạng hiệu hai lập phương
A. x3 + (3y)3
B. x3 + (9y)3
C. x3 – (3y)3
D. x3 – (9y)3
Lời giải
Ta có (x – 3y)(x2 + 3xy + 9y2) = (x – 3y)(x + x.3y + (3y)2 = x3 – (3y)3
Đáp án cần chọn là: C
Bài 11: Viết biểu thức (3x – 4)(9x2 + 12x + 16) dưới dạng hiệu hai lập phương
A. (3x)3 – 163
B. 9x3 – 64
C. 3x3 – 43
D. (3x)3 – 43
Lời giải
Ta có (3x – 4)(9x2 + 12x + 16) = (3x – 4)((3x)2 + 3x.4 + 42) = (3x)3 – 43
Đáp án cần chọn là: D
Bài 12: Viết biểu thức (x2 + 3)(x4 – 3x2 + 9) dưới dạng tổng hai lập phương
A. (x2)3 + 33
B. (x2)3 – 33
C. (x2)3 + 93
D. (x2)3 – 93
Lời giải
Ta có (x2 + 3)(x4 – 3x2 + 9) = (x2 + 3)((x2)2 – 3.x2 + 32) = (x2)3 + 33
Đáp án cần chọn là: A
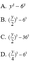
Bài 13: Viết biểu thức dưới dạng tổng hai lập phương
Lời giải
Ta có:
Đáp án cần chọn là: B
Bài 14: Tìm x biết x3 + 3x2 + 3x + 1 = 0
A. x = -1
B. x = 1
C. x = -2
D. x = 0
Lời giải
Ta có x3 + 3x2 + 3x + 1 = 0 ⇔ (x + 1)3 = 0
⇔ x + 1 = 0 ⇔ x = -1
Vậy x = -1
Đáp án cần chọn là: A
Bài 15: Tìm x biết x3 – 12x2 + 48x – 64 = 0
A. x = -4
B. x = 4
C. x = -8
D. x = 8
Lời giải
Ta có x3 – 12x2 + 48x – 64 = 0
⇔ x3 – 3.x2.4 + 3.x.42 – 43 = 0
⇔ (x – 4)3 = 0 ⇔ x – 4 = 0 ⇔ x = 4
Vậy x = 4
Đáp án cần chọn là: B
Bài 16: Cho x thỏa mãn (x + 2)(x2 – 2x + 4) – x(x2 – 2) = 14. Chọn câu đúng.
A. x = -3
B. x = 11
C. x = 3
D. x = 4
Lời giải
Ta có (x + 2) (x2 – 2x + 4) – x(x2 – 2) = 14
⇔ x3 + 23 – (x3 – 2x) = 14
⇔ x3 + 8 – x3 + 2x = 14
⇔ 2x = 6 ⇔ x = 3
Vậy x = 3
Đáp án cần chọn là: C
Bài 17: Cho x thỏa mãn (x + 1)3 – x2(x + 3) = 2. Chọn câu đúng.
Lời giải
Ta có:
Đáp án cần chọn là: D
Bài 18: Cho biểu thức A = x3 – 3x2 + 3x. Tính giá trị của A khi x = 1001
A. A = 10003
B. A = 1001
C. A = 10003 – 1
D. A = 10003 + 1
Lời giải
Ta có A = x3 – 3x2 + 3x = x3 – 3x2 + 3x – 1 + 1 = (x – 1)3 + 1
Thay x = 1001 vào A = (x – 1)3 + 1 ta được
A = (1001 – 1)3 + 1 suy ra A = 10003 + 1
Đáp án cần chọn là: D
Bài 19: Cho biểu thức B = x3 – 6x2 + 12x + 10. Tính giá trị của B khi x = 1002
A. B = 10003 + 18
B. B = 10003
C. B = 10003 – 2
D. B = 10003 + 2
Lời giải
Ta có B = x3 – 6x2 + 12x + 10
= x3 – 3x2.2 + 3x.22 – 8 + 18 = (x – 2)3 + 18
Thay x = 1002 vào B = (x – 2)3 + 18 ta được
B = (1002 – 2)3 + 18 = 10003 + 18
Đáp án cần chọn là: A
Bài 20: Rút gọn biểu thức M = (2x + 3)(4x2 – 6x + 9) – 4(2x3 – 3) ta được giá trị của M là
A. Một số lẻ
B. Một số chẵn
C. Một số chính phương
D. Một số chia hết cho 5
Lời giải
Ta có M = (2x + 3)(4x2 – 6x + 9) – 4(2x3 – 3)
= (2x + 3)[(2x)2 – 2x.3 + 32] – 8x3 + 12
= (2x)3 = 32 – 8x3 + 12 = 8x3 + 27 – 8x3 + 12 = 39
Vậy giá trị của M là một số lẻ
Đáp án cần chọn là: A
Bài 21: Rút gọn biểu thức H = (x + 5)(x2 – 5x + 25) – (2x + 1)3 + 7(x – 1)3 – 3x(-11x + 5) ta được giá trị của H là
A. Một số lẻ
B. Một số chẵn
C. Một số chính phương
D. Một số chia hết cho 12
Lời giải
Ta có H = (x + 5)(x2 – 5x + 25) – (2x + 1)3 + 7(x – 1)3 – 3x(-11x + 5)
= x3 + 53 – (8x3 + 3.(2x)2.1 + 3.2x.12 + 1) + 7(x3 – 3x2 + 3x – 1) + 33x2 – 15x
= x3 + 125 – 8x3 – 12x2 – 6x – 1 + 7x3 – 21x2 + 21x – 7 + 33x2 – 15x
= (x3 – 8x3 + 7x3) + (-12x2 – 21x2 + 33x2) + (-6x + 21x – 15x) + 125 – 1 – 7
= 117
Vậy giá trị của M là một số lẻ
Đáp án cần chọn là: A
Bài 22: Giá trị của biểu thức P = -2(x3 + y3) + 3(x2 + y2) khi x + y = 1 là
A. P = 3
B. P = 1
C. P = 5
D. P = 0
Lời giải
Ta có (x + y)3 = x3 + 3x2y + 3xy2 + y3
⇔ x3 + y3 = (x + y)3 – (3x2y + 3xy2)
= (x + y)3 – 3xy(x + y)
Và (x + y)2 = x2 + 2xy + y2 ⇔ x2 + y2 = (x + y)2 – 2xy
Khi đó P = -2(x3 + y3) + 3(x2 + y2)
= -2[(x + y)3 – 3xy(x + y)] + 3[(x + y)2 – 2xy]
Vì x + y = 1 nên ta có
P = -2(1 – 3xy) + 3(1 – 2xy)
= -2 + 6xy + 3 – 6xy = 1
Vậy P = 1
Đáp án cần chọn là: B
Bài 23: Giá trị của biểu thức Q = a3 + b3 biết a + b = 5 và ab = -3
A. Q = 170
B. Q = 140
C. Q = 80
D. Q = -170
Lời giải
Ta có (a + b)3 = a3 + 3a2b + 3ab2 + b3 = a3 + b3 + 3ab(a + b)
Suy ra a3 + b3 = (a + b)3 – 3ab(a + b)
Hay Q = (a + b)3 – 3ab(a + b)
Thay a + b = 5 và a.b = -3 vào Q = (a + b)3 – 3ab(a + b) ta được
Q = 53 – 3.(-3).5 = 170
Vậy Q = 170
Đáp án cần chọn là: A
Bài 24: Cho P = (4x + 1)3 – (4x + 3)(16x2 + 3) và Q = (x – 2)3 – x(x + 1)(x – 1) + 6x(x – 3) + 5x.
Chọn câu đúng.
A. P = Q
B. P < Q
C. P > Q
D. P = 2Q
Lời giải
Ta có
P = (4x + 1)3 – (4x + 3)(16x2 + 3)
= (4x)3 + 3.(4x)2.1 + 3.4x.12 + 13 – (64x3 + 12x + 48x2 + 9)
= 64x3 + 48x2 + 12x + 1 – 64x3 – 12x – 48x2 – 9 = -8
Nên P = -8
Q = (x – 2)3 – x(x + 1)(x – 1) + 6x(x – 3) + 5x
= x3 – 3.x2.2 + 3x.22 – 23 – x(x2 – 1) + 6x2 – 18x + 5x
= x3 – 6x2 + 12x – 8 – x3 + x + 6x2 – 18x + 5x = -8
⇒ Q = -8
Vậy P = Q
Đáp án cần chọn là: A
Bài 25: Cho M = 8(x – 1)(x2 + x + 1) – (2x – 1)(4x2 + 2x + 1) và N = x(x + 2)(x – 2) – (x + 3)(x2 – 3x + 9) – 4x.
Chọn câu đúng
A. M = N
B. N = M + 2
C. M = N – 20
D. M = N + 20
Lời giải
Ta có
M = 8(x – 1)(x2 + x + 1) – (2x – 1)(4x2 + 2x + 1)
= 8(x3 – 1) – ((2x)3 – 1)
= 8x3 – 8 – 8x3 + 1 = -7 nên M = -7
N = x(x + 2)(x – 2) – (x + 3)(x2 – 3x + 9) – 4x
= x(x2 – 4) – (x3 + 33) + 4x
= x3 – 4x – x3 – 27 + 4x = -27
⇒ N = -27
Vậy M = N + 20
Đáp án cần chọn là: D
Bài 26: Giá trị của biểu thức E = (x + 1)(x2 – x + 1) – (x – 1)(x2 + x + 1) là
A. 2
B. 3
C. 1
D. 4
Lời giải
Ta có E = (x + 1)(x2 – x + 1) – (x – 1)(x2 + x + 1)
= x3 + 1 – (x3 – 1) = x3 + 1 – x3 + 1 = 2
Vậy E = 2
Đáp án cần chọn là: A
Bài 27: Giá trị của biểu thức A = (x2 – 3x + 9)(x + 3) – (54 + x3)
A. 54
B. -27
C. -54
D. 27
Lời giải
Ta có A = (x2 – 3x + 9)(x + 3) – (54 + x3)
A = (x2 – 3x + 32)(x + 3) – (54 + x3)
A = x3 + 33 – 54 – x3
A = 27 – 54 = -27
Vậy A = -27
Đáp án cần chọn là: B
Bài 28: Cho a + b + c = 0. Giá trị của biểu thức B = a3 + b3 + c3 – 3abc bằng
A. B = 0
B. B =1
C. B = 2
D. B = 3
Lời giải
Ta có (a + b)3 = a3 + 3a2b + 3ab2 + b3 = a3 + b3 + 3ab(a + b)
⇒ a3 + b3 = (a + b)3 – 3ab(a + b)
Từ đó B = a3 + b3 + c3 – 3abc
= (a + b)3 – 3ab(a + b) + c3 – 3abc
= [(a+b)3 + c3] – 3ab(a + b +c)
= (a + b + c)[(a + b)2 – (a + b)c + c2] – 3ab(a + b + c)
Mà a + b + c = 0 nên
B = 0.[(a + b)2 – (a + b)c + c2] – 3ab.0 = 0
Vậy B = 0
Đáp án cần chọn là: A
Bài 29: Cho 2x – y = 9. Giá trị của biểu thức A = 8x3 – 12x2y + 6xy2 – y3 + 12x2 – 12xy + 3y2 + 6x – 3y + 11 bằng
A. A = 1001
B. A = 1000
C. A = 1010
D. A = 990
Lời giải
Ta có A = 8x3 – 12x2y + 6xy2 – y3 + 12x2 – 12xy + 3y2 + 6x – 3y + 11
= (2x)3 – 3.(2x)2.y + 3.2x.y + y3 + 3(4x2 – 4xy + y2) + 3(2x – y) + 11
= (2x – y)3 + 3(2x – y)2 + 3(2x – y) + 1 + 10
= (2x – y + 1)3 + 10
Thay 2x – y = 9 vào A = (2x – y + 1)3 + 10 ta được A = (9 + 1)3 + 10 = 1010
Vậy A = 1010
Đáp án cần chọn là: C
Bài 30: Cho A = 13+ 23 + 33 + 43 + … + 103. Khi đó
A. A chia hết cho 11
B. A chia hết cho 5
C. Cả A, B đều đúng
D. Cả A, B đều sai
Lời giải
Ta có A = 13+ 23 + 33 + 43 + 53 + 63 + 73 + 83 + 93 + 103
= (13 + 103) + (23 + 93) + (33 + 83) + (43 + 73) + (53 + 63)
= 11(12 – 10 + 102) + 11(22 – 2.9 + 92) + … + 11(52 – 5.6 + 62)
Vì mỗi số hạng trong tổng đều chia hết cho 11 nên A ⁝ 11.
Lại có A = 13+ 23 + 33 + 43 + 53 + 63 + 73 + 83 + 93 + 103
= (13 + 93) + (23 + 83) + (33 + 73) + (43 + 63) + (53 + 103)
= 10(12 – 9 + 92) + 10(22 – 2.8 + 82) + … + 53 + 103
Vì mỗi số hạng trong tổng đều chia hết cho 5 nên A ⁝ 5.
Vậy A chia hết cho cả 5 và 11
Đáp án cần chọn là: C
Bài 31: Cho a, b, c là các số thỏa mãn điều kiện a = b + c. Khi đó
Lời giải
Ta có a3 + b3 = (a + b)(a2 – ab + b2) mà a = b + c nên
a3 + b3 = (a + b)(a2 – ab + b2)
= (a + b)[(b + c)2 – (b + c)b + b2]
= (a + b)(b2 + 2bc + c2 – b2 – bc + b2)
= (a + b)(b2 + bc + c2)
Tương tự ta có
a3 + c3 = (a + c)(a2 – ac + c2)
= (a + c)[(b + c)2 – (b + c)c + c2]
= (a + c)(b2 + 2bc + c2 – c2 – bc + c2)
= (a + c)(b2 + bc + c2)
Từ đó ta có
Đáp án cần chọn là: A
Bài 32: Cho (a + b + c)2 + 12 = 4(a + b + c) + 2(ab + bc + ca). Khi đó
A. a = b = 2c
B. a = b = c
C. a = 2b = c
D. a = b = c = 2
Lời giải
Ta có (a + b + c)2 + 12 = 4(a + b + c) + 2(ab + bc + ca)
⇔ a2 + b2 + c2 + 2(ab + bc + ca) + 12 = 4(a + b + c) + 2(ab + ac + bc)
⇔ a2 + b2 + c2 – 4a – 4b – 4c + 12 = 0
⇔ (a2 – 4a + 4) + (b2 – 4b + 4) + (c2 – 4c + 4) = 0
⇔ (a – 2)2 + (b – 2)2 + (c – 2)2 = 0
Mà (a – 2)2 ≥ 0; (b – 2)2 ≥ 0; (c – 2)2 ≥ 0 với mọi a, b, c
Dấu “=” xảy ra
Đáp án cần chọn là: D
(199k) Học Toán 8 KNTTHọc Toán 8 CTSTHọc Toán 8 CD
Xem thêm các bài tập trắc nghiệm Toán lớp 8 có đáp án chi tiết hay khác:
- Trắc nghiệm Nhân đơn thức với đa thức
- Trắc nghiệm Những hằng đẳng thức đáng nhớ
- Trắc nghiệm Những hằng đẳng thức đáng nhớ (phần 2)
- Trắc nghiệm Phân tích đa thức thành nhân tử bằng phương pháp đặt nhân tử chung
Xem thêm các loạt bài Để học tốt Toán lớp 8 hay khác:
Tủ sách VIETJACK shopee lớp 6-8 (2025):
Đã có app VietJack trên điện thoại, giải bài tập SGK, SBT Soạn văn, Văn mẫu, Thi online, Bài giảng....miễn phí. Tải ngay ứng dụng trên Android và iOS.
Theo dõi chúng tôi miễn phí trên mạng xã hội facebook và youtube:Loạt bài Lý thuyết & 700 Bài tập Toán lớp 8 có lời giải chi tiết có đầy đủ Lý thuyết và các dạng bài có lời giải chi tiết được biên soạn bám sát nội dung chương trình sgk Đại số 8 và Hình học 8.
Nếu thấy hay, hãy động viên và chia sẻ nhé! Các bình luận không phù hợp với nội quy bình luận trang web sẽ bị cấm bình luận vĩnh viễn.
- Giải Tiếng Anh 8 Global Success
- Giải sgk Tiếng Anh 8 Smart World
- Giải sgk Tiếng Anh 8 Friends plus
- Lớp 8 - Kết nối tri thức
- Soạn văn 8 (hay nhất) - KNTT
- Soạn văn 8 (ngắn nhất) KNTT
- Giải sgk Toán 8 - KNTT
- Giải sgk Khoa học tự nhiên 8 - KNTT
- Giải sgk Lịch Sử 8 - KNTT
- Giải sgk Địa Lí 8 - KNTT
- Giải sgk Giáo dục công dân 8 - KNTT
- Giải sgk Tin học 8 - KNTT
- Giải sgk Công nghệ 8 - KNTT
- Giải sgk Hoạt động trải nghiệm 8 - KNTT
- Giải sgk Âm nhạc 8 - KNTT
- Lớp 8 - Chân trời sáng tạo
- Soạn văn 8 (hay nhất) - CTST
- Soạn văn 8 (ngắn nhất) - CTST
- Giải sgk Toán 8 - CTST
- Giải sgk Khoa học tự nhiên 8 - CTST
- Giải sgk Lịch Sử 8 - CTST
- Giải sgk Địa Lí 8 - CTST
- Giải sgk Giáo dục công dân 8 - CTST
- Giải sgk Tin học 8 - CTST
- Giải sgk Công nghệ 8 - CTST
- Giải sgk Hoạt động trải nghiệm 8 - CTST
- Giải sgk Âm nhạc 8 - CTST
- Lớp 8 - Cánh diều
- Soạn văn 8 Cánh diều (hay nhất)
- Soạn văn 8 Cánh diều (ngắn nhất)
- Giải sgk Toán 8 - Cánh diều
- Giải sgk Khoa học tự nhiên 8 - Cánh diều
- Giải sgk Lịch Sử 8 - Cánh diều
- Giải sgk Địa Lí 8 - Cánh diều
- Giải sgk Giáo dục công dân 8 - Cánh diều
- Giải sgk Tin học 8 - Cánh diều
- Giải sgk Công nghệ 8 - Cánh diều
- Giải sgk Hoạt động trải nghiệm 8 - Cánh diều
- Giải sgk Âm nhạc 8 - Cánh diều


Giải bài tập SGK & SBT
Tài liệu giáo viên
Sách
Khóa học
Thi online
Hỏi đáp

