Top 26 Bài tập Phương trình bậc nhất một ẩn (có lời giải)
Với bài tập Phương trình bậc nhất một ẩn lớp 8 có lời giải chi tiết sẽ giúp học sinh ôn tập, biết cách làm bài tập Phương trình bậc nhất một ẩn.
Top 26 Bài tập Phương trình bậc nhất một ẩn (có lời giải)
(199k) Học Toán 8 KNTTHọc Toán 8 CTSTHọc Toán 8 CD
Bài 1: Chọn câu sai
A. Phương trình bậc nhất một ẩn có dạng ax + b = 0, a ≠ 0
B. Phương tình có một nghiệm duy nhất được gọi là phương trình bậc nhất một ẩn
C. Trong một phương trình ta có thể nhân cả 2 vế với cùng một số khác 0
D. Phương trình 3x + 2 = x + 8 và 6x + 4 = 2x + 16 là hai phương trình tương đương
Lời giải
Các câu A, C, D đúng
Câu B sai vì phương trình có 1 nghiệm duy nhất còn có thể là phương trình chứa ẩn ở mẫu, phương trình tích
Đáp án cần chọn là: B
Bài 2: Hãy chọn câu đúng.
A. Phương trình x = 0 và x(x + 1) là hai phương trình tương đương
B. Phương trình x = 2 và |x| = 2 là hai phương trình tương đương
C. kx + 5 = 0 là phương trình bậc nhất một ẩn số
D. Trong một phương trình ta có thể chuyển một hạng tử vế này sang vế kia đồng thời đổi dấu của hạng tử đó
Lời giải
A, B sai vì chúng đều không có cùng tập nghiệm
C sai vì thiếu điều kiện k ≠ 0
D đúng với quy tắc chuyển vế
Đáp án cần chọn là: D
Bài 3: Phương trình 2x + 3 = x + 5 có nghiệm là:
Lời giải
2x + 3 = x + 5 ⇔ 2x – x = 5 – 3 ⇔ x = 2
Vậy x = 2
Đáp án cần chọn là: D
Bài 4: Phương trình x2 + x = 0 có số nghiệm là
A. 1 nghiệm
B. 2 nghiệm
C. vô nghiệm
D. Vô số nghiệm
Lời giải
Vậy phương trình có 2 nghiệm x = -1; x = 0
Đáp án cần chọn là: B
Bài 5: Phương trình 2x + k = x – 1 nhận x = 2 là nghiệm khi
A. k = 3
B. k = -3
C. k = 0
D. k = 1
Lời giải
Thay x = 2 vào phương trình ta được: 2.2 + k = 2 – 1 ⇒ k = -3
Đáp án cần chọn là: B
Bài 6: Phương tình có nghiệm là
A. x = -4
B. x = -2
C. Vô nghiệm
D. Vô số nghiệm
Lời giải
Ta thấy x = -3 không thỏa mãn đkxđ nên phưng trình vô nghiệm
Đáp án cần chọn là: C
Bài 7: Phương trình có nghiệm là
Lời giải
Đáp án cần chọn là: D
Bài 8: Hãy chọn bước giải đúng đầu tiên cho phương trình
A. ĐKXĐ: x ≠ 0; x ≠ 1
B. (x – 1)(3x + 3) = x(3x + 2)
C. 3x2 – 3 = 3x2 + 2x
D. ⇔ 2x = -3
Lời giải
ĐKXĐ: x ≠ 0; x ≠ 1
Do đó bước giải đúng đầu tiên cho phương trình là ĐKXĐ: x ≠ 0; x ≠ 1
Đáp án cần chọn là: A
Bài 9: Tìm điều kiện xác định của phương tình:
Lời giải
Vậy phương trình xác định với mọi x Є R
Đáp án cần chọn là: A
Bài 10: Số nghiệm của phương trình là
A. Vô số nghiệm x ≠ ±2
B. 1
C. 2
D. 0
Lời giải
Kết hợp ĐKXĐ ta có phương trình nghiệm đúng với mọi x ≠ ±2
Đáp án cần chọn là: A
Bài 11: Điều kiện xác định của phương trình là
A. x ≠ 3; x ≠ 2
B. x ≠ 3
C. x ≠ -2
D. x ≠ 0
Lời giải
Đáp án cần chọn là: A
Bài 12: Tập nghiệm của phương tình là
A. S = {-2; 2}
B. S = {1; -3}
C. S = {-1; 2}
D. S = {-1; -2}
Lời giải
Đáp án cần chọn là: A
Bài 13: Phương trình có tập nghiệm là
A. S = {0; 1}
B. S = {4}
C. S = Ø
D. S = R
Lời giải
Đáp án cần chọn là: B
Bài 14: Hai biểu thức P = (x – 1)(x + 1) + x2; Q = 2x(x – 1) có giá trị bằng nhau khi:
A. x = 0
B. x = 1
C. x = 0,5
D. x = -1
Lời giải
Để P = Q thì: (x – 1)(x + 1) + x2 = 2x(x – 1)
⇔ x2 – 1 + x2 = 2x2 – 2x
⇔ x2 + x2 – 2x2 + 2x = 1
⇔ 2x = 1
⇔ x = 0,5
Vậy với x = 0,5 thì P = Q
Đáp án cần chọn là: C
Bài 15: Giải phương trình: 2x(x – 5) + 21 = x(2x + 1) -12 ta được nghiệm x0. Chọn câu đúng
A. x0 = 4
B. x0 < 4
C. x0 > 4
D. x0 > 5
Lời giải
2x(x – 5) + 21 = x(2x + 1) -12
⇔ 2x2 – 10x + 21 = 2x2 + x – 12
⇔ 2x2 – 10x – 2x2 – x = -12 – 21
⇔ -11x = -33
⇔ x = 3
Vậy phương trình có tập nghiệm là S = {3} hay x0 3 < 4
Đáp án cần chọn là: B
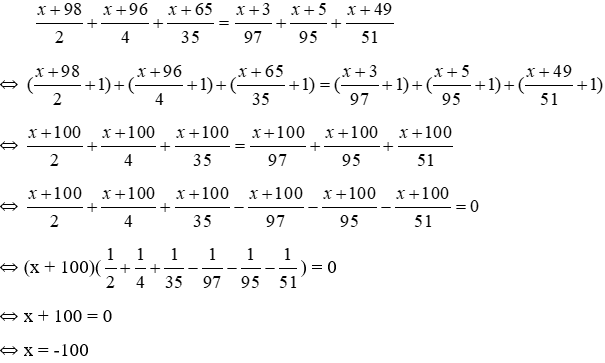
Bài 16: Giải phương trình: ta được nghiệm là
A. Số nguyên dương
B. Số nguyên âm
C. Số chia hết cho 3
D. Số chia hết cho 8
Lời giải
Vậy phương trình có tập nghiệm là S = {-100}
Suy ra nghiệm của phương trình là số nguyên âm
Đáp án cần chọn là: B
Bài 17: Số nghiệm của phương trình (x + 2)(x2 – 3x + 5) = (x + 2)x2 là
A. 2
B. 3
C. 4
D. 1
Lời giải
(x + 2)(x2 – 3x + 5) = (x + 2)x2
⇔ (x + 2)(x2 – 3x + 5) – (x + 2)x2 = 0
⇔ (x + 2)(x2 – 3x + 5 – x2) = 0
⇔ (x + 2)(5 – 3x) = 0
Đáp án cần chọn là: A
Bài 18: Tập nghiệm của phương trình
A. S = {0; 1}
B. S = {-1}
C. S = {0; -1}
D. S = {0}
Lời giải
ĐKXĐ: x ≠ -1
Vậy phương trình có tập nghiệm S = {0}
Đáp án cần chọn là: D
Bài 19: Một hình chữ nhật có chu vi 372m nếu tăng chiều dài 21m và tăng chiều rộng 10m thì diện tích tăng 2862m2. Chiều dài của hình chữ nhất là:
A. 72m
B. 144m
C. 228m
D. 114m
Lời giải
Nửa chu vi hình chữ nhật là: 372 : 2 = 186 (m)
Gọi chiều dài hình chữ nhật là x (m), (0 < x < 186).
⇒ Chiều rộng hình chữ nhật là: 186 – x (m)
Diện tích hình chữ nhật là: x(186 – x) = 186x – x2 (m2)
Tăng chiều dài lên 21m thì chiều dài mới là: x + 21 (m)
Tăng chiều rộng lên 10m thì chiều rộng mới là: 186 – x + 10 = 196 – x (m)
Diện tích hình chữ nhật mới là: (x + 21)(196 – x) = 175x – x2 + 4116 (m2)
Theo đề bài ta có phương trình: 186x – x2 + 2862 = 175x – x2 + 4116
⇔ 11x = 1254 ⇔ x = 114 (tm)
Vậy chiều dài hình chữ nhật là 114m
Đáp án cần chọn là: D
Bài 20: Tổng hai số là 321. Hiệu của số kia bằng 34. Số lớn là
A. 201
B. 120
C. 204
D. 117
Lời giải
Gọi một trong hai số là x, (0 < x < 321; x Є N)
Khi đó số còn lại là: 321 – x
Số còn lại là 321 – 201 = 120
Vậy số lớn là: 201
Đáp án cần chọn là: A
Bài 21: Mộ xe du lịch khởi hành từ A để đến B. Nửa giờ sau, một xe tải xuất phát từ B để về A. Xe tải đi được 1 giờ thì gặp xe du lịch. Tính vận tốc của mỗi xe, biết rằng xe du lịch có vận tốc lớn hơn xe tải là 10km/h và quãng đường AB dài 90km.
A. Vận tốc xe du lịch là 40 (km/h), vận tốc xe tải là 30 (km/h)
B. Vận tốc xe du lịch là 30 (km/h), vận tốc xe tải là 40 (km/h)
C. Vận tốc xe du lịch là 40 (km/h), vận tốc xe tải là 50 (km/h)
D. Vận tốc xe du lịch là 50 (km/h), vận tốc xe tải là 40 (km/h)
Lời giải
Gọi vận tốc của xe tải là x, đơn vị km/h, điều kiện: x > 0
Khi đó ta có:
Vận tốc xe du lịch là x + 10 (km/h)
Thời gian xe du lịch đi từ A đến lúc gặp xe tải là: 0,5 + 1 = 1,5 (h)
Quãng đường xe du lịch và xe tải đi được đến lúc gặp nhau lần lượt là: (x + 10).1,5 (km) và x.1 (km)
Vì hai xe đi ngược chiều nên quãng đường AB và tổng quãng đường mà hai xe đi được. Ta có phương trình: (x + 10).1,5 + x.1 = 90
⇔ 2,5x = 75 ⇔ x = 30 (tm)
Vậy vận tốc của xe du lịch và xe tải lần lượt là 40 (km/h) và 30 (km/h)
Đáp án cần chọn là: A
Bài 22: Một công việc được giao cho hai người. Người thứ nhất có thể làm xong công việc một mình trong 24 phút. Lúc đầu, người thứ nhất làm một mình và sau phút người thứ hai cùng làm. Hai người làm chung trong
phút thì hoàn thành công việc. Hỏi nếu làm một mình thì người thứ hai cần bao lâu để hoàn thành công việc.
A. 20 phút
B. 12 phút
C. 24 phút
D. 22 phút
Lời giải
Gọi thời gian làm một mình xong việc của người thứ hai là x (phút), điều kiện: x > .
Biểu thị công việc bằng 1 ta có:
Năng suất của người thứ nhất và người thứ hai lần lượt là (công việc/ phút).
Năng suất làm chung của hai người là (công việc/ phút)
Khối lượng công việc người thứ nhất làm một mình trong (công việc)
Khối lượng công việc của hai người làm chung trong giờ là (công việc)
Theo bài ra ta có phương trình:
Vậy nếu làm riêng người thứ hai cần làm trong 22 phút thì xong công việc.
Đáp án cần chọn là: D
Bài 23: Tổng các nghiệm của phương trình: là
A. 10
B. -10
C. -11
D. 12
Lời giải
Phân tích các mẫu thành nhân tử sau đó nhân cả 2 vế của phương trình với 2 ta được:
⇒ S = {1; -11}
Vậy tổng các nghiệm của phương trình là 1 + (-11) = -10
Đáp án cần chọn là: B
Bài 24: Giải phương trình: ta được các nghiệm x1; x2 với x1 < x2. Tính 3x1 – x2
Lời giải
ĐKXĐ: x ≠ ±1
⇒ x = -2 không là nghiệm của phương trình.
Lại có với x ≠ 1; x ≠ -2 thì ≠ 0, ta chia hai vế của phương trình cho
ta được:
Đáp án cần chọn là: B
Bài 25: Tích các nghiệm của phương trình: (x2 – 3x + 3)(x2 – 2x + 3) = 2x2 là
A. -2
B. 2
C. 4
D. 3
Lời giải
Nhận thấy x = 0 không là nghiệm của phương trình nên chia hai vế của phương trình cho x2 ≠ 0 ta được:
Vậy phương trình có tập nghiệm S = {1; 3}
Tích các nghiệm của phương trình là 1.3 = 3
Đáp án cần chọn là: D
Bài 26: Cho phương trình: (4m2 – 9)x = 2m2 + m – 3. Tìm m để phương trình có vô số nghiệm
Lời giải
Phương trình:
(4m2 – 9)x = 2m2 + m – 3
⇔ (4m2 – 9)x = 2m2 – 2m + 3m – 3
⇔ (2m – 3)(2m + 3)x = 2m(m – 1) + 3(m – 1)
⇔ (2m – 3)(2, + 3) = (m – 1)(2m + 3)
Phương trình có vô số nghiệm khi
Đáp án cần chọn là: A
(199k) Học Toán 8 KNTTHọc Toán 8 CTSTHọc Toán 8 CD
Xem thêm các bài tập trắc nghiệm Toán lớp 8 có đáp án chi tiết hay khác:
- Trắc nghiệm Mở đầu về phương trình
- Trắc nghiệm Phương trình bậc nhất một ẩn và cách giải
- Trắc nghiệm Phương trình tích
- Trắc nghiệm Phương trình chứa ẩn ở mẫu
- Trắc nghiệm Giải bài toán bằng cách lập phương trình
Xem thêm các loạt bài Để học tốt Toán lớp 8 hay khác:
Tủ sách VIETJACK shopee lớp 6-8 (2025):
Đã có app VietJack trên điện thoại, giải bài tập SGK, SBT Soạn văn, Văn mẫu, Thi online, Bài giảng....miễn phí. Tải ngay ứng dụng trên Android và iOS.
Theo dõi chúng tôi miễn phí trên mạng xã hội facebook và youtube:Loạt bài Lý thuyết & 700 Bài tập Toán lớp 8 có lời giải chi tiết có đầy đủ Lý thuyết và các dạng bài có lời giải chi tiết được biên soạn bám sát nội dung chương trình sgk Đại số 8 và Hình học 8.
Nếu thấy hay, hãy động viên và chia sẻ nhé! Các bình luận không phù hợp với nội quy bình luận trang web sẽ bị cấm bình luận vĩnh viễn.
- Giải Tiếng Anh 8 Global Success
- Giải sgk Tiếng Anh 8 Smart World
- Giải sgk Tiếng Anh 8 Friends plus
- Lớp 8 - Kết nối tri thức
- Soạn văn 8 (hay nhất) - KNTT
- Soạn văn 8 (ngắn nhất) KNTT
- Giải sgk Toán 8 - KNTT
- Giải sgk Khoa học tự nhiên 8 - KNTT
- Giải sgk Lịch Sử 8 - KNTT
- Giải sgk Địa Lí 8 - KNTT
- Giải sgk Giáo dục công dân 8 - KNTT
- Giải sgk Tin học 8 - KNTT
- Giải sgk Công nghệ 8 - KNTT
- Giải sgk Hoạt động trải nghiệm 8 - KNTT
- Giải sgk Âm nhạc 8 - KNTT
- Lớp 8 - Chân trời sáng tạo
- Soạn văn 8 (hay nhất) - CTST
- Soạn văn 8 (ngắn nhất) - CTST
- Giải sgk Toán 8 - CTST
- Giải sgk Khoa học tự nhiên 8 - CTST
- Giải sgk Lịch Sử 8 - CTST
- Giải sgk Địa Lí 8 - CTST
- Giải sgk Giáo dục công dân 8 - CTST
- Giải sgk Tin học 8 - CTST
- Giải sgk Công nghệ 8 - CTST
- Giải sgk Hoạt động trải nghiệm 8 - CTST
- Giải sgk Âm nhạc 8 - CTST
- Lớp 8 - Cánh diều
- Soạn văn 8 Cánh diều (hay nhất)
- Soạn văn 8 Cánh diều (ngắn nhất)
- Giải sgk Toán 8 - Cánh diều
- Giải sgk Khoa học tự nhiên 8 - Cánh diều
- Giải sgk Lịch Sử 8 - Cánh diều
- Giải sgk Địa Lí 8 - Cánh diều
- Giải sgk Giáo dục công dân 8 - Cánh diều
- Giải sgk Tin học 8 - Cánh diều
- Giải sgk Công nghệ 8 - Cánh diều
- Giải sgk Hoạt động trải nghiệm 8 - Cánh diều
- Giải sgk Âm nhạc 8 - Cánh diều


Giải bài tập SGK & SBT
Tài liệu giáo viên
Sách
Khóa học
Thi online
Hỏi đáp

