20+ Bài tập trắc nghiệm Phương trình chứa ẩn ở mẫu lớp 8 (có đáp án)
Với bài tập trắc nghiệm Phương trình chứa ẩn ở mẫu lớp 8 có lời giải chi tiết sẽ giúp học sinh ôn tập, biết cách làm bài tập trắc nghiệm Phương trình chứa ẩn ở mẫu
20+ Bài tập trắc nghiệm Phương trình chứa ẩn ở mẫu lớp 8 (có đáp án)
(199k) Học Toán 8 KNTTHọc Toán 8 CTSTHọc Toán 8 CD
Bài 1: Hãy chọn câu đúng. Điều kiện xác định của phương trình là
A. x ≠ 3
B. x ≠ 2
C. x ≠ -3
D. x ≠ -2
Lời giải
ĐK: x – 2 ≠ 0 ⇔ x ≠ 2
Đáp án cần chọn là: B
Bài 2: Hãy chọn câu đúng. Điều kiện xác định của phương trình là
A. x ≠ 3
B. x ≠ 2
C. x ≠ -3
D. x ≠ -2
Lời giải
ĐK: x + 2 ≠ 0 ⇔ x ≠ -2
Đáp án cần chọn là: D
Bài 3: Hãy chọn câu đúng. Điều kiện xác định của phương trình là
A. x ≠ -1; x ≠ -2
B. x ≠ 0
C. x ≠ 2 và x ≠ ±1
D. x ≠ -2, x ≠ 1
Lời giải
ĐK:
Đáp án cần chọn là: C
Bài 4: Hãy chọn câu đúng. Điều kiện xác định của phương trình là
A. x ≠ -1; x ≠ -2
B. x ≠ ±1
C. x ≠ 2 và x ≠ ±1
D. x ≠ -2, x ≠ 1
Lời giải
ĐK: x2 – 1 ≠ 0 ⇔ x2 ≠ 1 ⇔ x ≠ ±1
Đáp án cần chọn là: B
Bài 5: Phương trình có nghiệm là
A. x = -3
B. x = -2
C. Vô nghiệm
D. Vô số nghiệm
Lời giải
ĐKXĐ: x ≠ ±3
Ta thấy x = -3 không thỏa mãn ĐKXĐ nên phương trình vô nghiệm
Đáp án cần chọn là: C
Bài 6: Phương trình có nghiệm là
A. x =
B. x = 2
C. x = 3
D. x = 1
Lời giải
Đáp án cần chọn là: A
Bài 7: Trong các khẳng định sau, số khẳng định đúng là:
A. 1
B. 2
C. 0
D. 3
Lời giải
Vậy tập nghiệm của phương trình là {-3}
Tập nghiệm của phương trình là {-2}
⇒ x – 8 = -1 + 8(x – 7)
⇔ x – 8 = -1 + 8x – 56
⇔ x – 8x = -1 – 56 + 8
⇔ -7x = -49 ⇔ x = 7 (không thỏa mãn ĐKXĐ). Vậy S = Ø
Do đó có 1 khẳng định b đúng
Đáp án cần chọn là: A
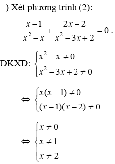
Bài 8: Cho hai phương trình (2).
Chọn kết luận đúng:
A. Hai phương trình tương đương
B. Hai phương trình không tương đương
C. Phương trình (1) có hai nghiệm phân biệt
D. Phương trình (2) vô nghiệm
Lời giải
Vậy tập nghiệm của phương trình là {-2}
Tập nghiệm của phương trình là {-2}
Hai phương trình có cùng tập nghiệm nên tương đương
Đáp án cần chọn là: A
Bài 9: Số nghiệm của phương trình là
A. 3
B. 2
C. 0
D. 1
Lời giải
Hay có 1 giá trị của x thỏa mãn điều kiện đề bài.
Đáp án cần chọn là: D
Bài 10: Số nghiệm của phương trình là
A. 3
B. 2
C. 0
D. 1
Lời giải
Vậy S = Ø
Đáp án cần chọn là: C
Bài 11: Phương trình có số nghiệm là
A. 1
B. 2
C. 0
D. 3
Lời giải
ĐKXĐ: x ≠ 1; x ≠ 2
Vậy phương trình có một nghiệm x = 3
Đáp án cần chọn là: A
Bài 12: Phương trình có số nghiệm là
A. 1
B. 2
C. 0
D. 3
Lời giải
Điều kiện: x ≠ -1
Vậy phương trình có nghiệm duy nhất
Đáp án cần chọn là: A
Bài 13: Cho phương trình .
Bạn Long giải phương trình như sau:
Bước 3: ⇒ x – 2 – 7x + 7 = -1 ⇔ -6x = -6 ⇔ x = 1
Vậy tập nghiệm của phương trình là S = {1}
Chọn câu đúng.
A. Bạn Long giải sai từ bước 1
B. Bạn Long giải sai từ bước 2
C. Bạn Long giải sai từ bước 3
D. Bạn Long giải đúng
Lời giải
Vậy phương trình vô nghiệm
Bạn Long sai ở bước 3 do không đối chiếu với điều kiện ban đầu
Đáp án cần chọn là: C
Bài 14: Cho phương trình .
Bạn Long giải phương trình như sau:
Chọn câu đúng.
A. Bạn Long giải sai từ bước 1
B. Bạn Long giải sai từ bước 2
C. Bạn Long giải sai từ bước 3
D. Bạn Long giải đúng
Lời giải
⇒ x – 2 – 7x + 7 = -1 ⇔ -6x = -6 ⇔ x = 1 (không thỏa mãn ĐK)
Vậy phương trình vô nghiệm
Bạn Long sai ở bước 2 do không đổi dấu tử số 1 khi đổi dấu mẫu
Đáp án cần chọn là: B
Bài 15: Cho hai biểu thức: . Tìm x sao cho A = B.
A. x = 0
B. x =1
C. x = -1
D. Cả A và B
Lời giải
Vậy để A = B thì x = 0 hoặc x = 1
Đáp án cần chọn là: D
Bài 16: Cho hai biểu thức: . Giá trị của x để A = B là
A. x = 0
B. x = 1
C. Không có x
D. x = 2
Lời giải
Vậy không có giá trị nào của x để A = B
Đáp án cần chọn là: C
Bài 17: Cho phương trình (1): và phương trình (2):
Khẳng định nào sau đây là đúng
A. Hai phương trình có cùng điều kiện xác định
B. Hai phương trình có cùng số nghiệm
C. Phương trình (2) có nhiều nghiệm hơn phương trình (1)
D. Hai phương trình tương đương
Lời giải
Kết hợp ĐKXĐ ta có phương trình nghiệm đúng với mọi x ≠ ±2
Do đó phương trình (2) có nhiều nghiệm hơn phương trình (1)
Đáp án cần chọn là: C
Bài 18: Cho phương trình (1): và phương trình (2):
. Khẳng định nào sau đây là sai.
A. Hai phương trình có cùng điều kiện xác định
B. Hai phương trình có cùng số nghiệm
C. Hai phương trình có cùng tập nghiệm
D. Hai phương trình tương đương
Lời giải
Vậy phương trình (1) có nghiệm duy nhất x =
Dễ thấy hai phương trình đã cho có cùng tập nghiệm, cùng số nghiệm và tương đương nhưng không có cùng điều kiện xác định.
Đáp án cần chọn là: A
Bài 19: Biết x0 là nghiệm nhỏ nhất của phương trình
Chọn khẳng định đúng.
A. x0 > 0
B. x0 < -5
C. x0 = -10
D. x0 > 5
Lời giải
Phân tích các mẫu thành nhân tử sau đó nhân cả 2 vế của phương trình với 2 ta được:
Vậy x0 = -11 < -5
Đáp án cần chọn là: B
Bài 20: Cho phương trình:
Tổng bình phương các nghiệm của phương trình trên là:
A. -48
B. 48
C. -50
D. 50
Lời giải
Ta có x2 + 3x + 2 = (x + 1)(x + 2)
x2 + 5x + 6 = (x + 2)(x + 3)
x2 + 7x + 12 = (x +3)(x + 4)
x2 + 9x + 20 = (x + 4)(x + 5)
⇒ S = {1; -7} nên tổng bình phương các nghiệm là: 12 + (-7)2 = 50
Đáp án cần chọn là: D
Bài 21: Số nghiệm của phương trình là
A. 2
B. 1
C. 4
D. 3
Lời giải
Vậy phương trình có nghiệm duy nhất x = -1
Đáp án cần chọn là: B
Bài 22: Số nghiệm của phương trình là
A. 0
B. 1
C. 2
D. 3
Lời giải
Khi đó,
Vậy phương trình đã cho vô nghiệm.
Đáp án cần chọn là: A
(199k) Học Toán 8 KNTTHọc Toán 8 CTSTHọc Toán 8 CD
Xem thêm các bài tập trắc nghiệm Toán lớp 8 có đáp án chi tiết hay khác:
- Trắc nghiệm Mở đầu về phương trình
- Trắc nghiệm Phương trình bậc nhất một ẩn và cách giải
- Trắc nghiệm Phương trình tích
- Trắc nghiệm Giải bài toán bằng cách lập phương trình
- Top 26 Bài tập Phương trình bậc nhất một ẩn (có lời giải)
Xem thêm các loạt bài Để học tốt Toán lớp 8 hay khác:
Tủ sách VIETJACK shopee lớp 6-8 (2025):
Đã có app VietJack trên điện thoại, giải bài tập SGK, SBT Soạn văn, Văn mẫu, Thi online, Bài giảng....miễn phí. Tải ngay ứng dụng trên Android và iOS.
Theo dõi chúng tôi miễn phí trên mạng xã hội facebook và youtube:Loạt bài Lý thuyết & 700 Bài tập Toán lớp 8 có lời giải chi tiết có đầy đủ Lý thuyết và các dạng bài có lời giải chi tiết được biên soạn bám sát nội dung chương trình sgk Đại số 8 và Hình học 8.
Nếu thấy hay, hãy động viên và chia sẻ nhé! Các bình luận không phù hợp với nội quy bình luận trang web sẽ bị cấm bình luận vĩnh viễn.
- Giải Tiếng Anh 8 Global Success
- Giải sgk Tiếng Anh 8 Smart World
- Giải sgk Tiếng Anh 8 Friends plus
- Lớp 8 - Kết nối tri thức
- Soạn văn 8 (hay nhất) - KNTT
- Soạn văn 8 (ngắn nhất) KNTT
- Giải sgk Toán 8 - KNTT
- Giải sgk Khoa học tự nhiên 8 - KNTT
- Giải sgk Lịch Sử 8 - KNTT
- Giải sgk Địa Lí 8 - KNTT
- Giải sgk Giáo dục công dân 8 - KNTT
- Giải sgk Tin học 8 - KNTT
- Giải sgk Công nghệ 8 - KNTT
- Giải sgk Hoạt động trải nghiệm 8 - KNTT
- Giải sgk Âm nhạc 8 - KNTT
- Lớp 8 - Chân trời sáng tạo
- Soạn văn 8 (hay nhất) - CTST
- Soạn văn 8 (ngắn nhất) - CTST
- Giải sgk Toán 8 - CTST
- Giải sgk Khoa học tự nhiên 8 - CTST
- Giải sgk Lịch Sử 8 - CTST
- Giải sgk Địa Lí 8 - CTST
- Giải sgk Giáo dục công dân 8 - CTST
- Giải sgk Tin học 8 - CTST
- Giải sgk Công nghệ 8 - CTST
- Giải sgk Hoạt động trải nghiệm 8 - CTST
- Giải sgk Âm nhạc 8 - CTST
- Lớp 8 - Cánh diều
- Soạn văn 8 Cánh diều (hay nhất)
- Soạn văn 8 Cánh diều (ngắn nhất)
- Giải sgk Toán 8 - Cánh diều
- Giải sgk Khoa học tự nhiên 8 - Cánh diều
- Giải sgk Lịch Sử 8 - Cánh diều
- Giải sgk Địa Lí 8 - Cánh diều
- Giải sgk Giáo dục công dân 8 - Cánh diều
- Giải sgk Tin học 8 - Cánh diều
- Giải sgk Công nghệ 8 - Cánh diều
- Giải sgk Hoạt động trải nghiệm 8 - Cánh diều
- Giải sgk Âm nhạc 8 - Cánh diều


Giải bài tập SGK & SBT
Tài liệu giáo viên
Sách
Khóa học
Thi online
Hỏi đáp

