Bài tập Biến đổi đơn giản biểu thức chứa căn bậc hai lớp 9 (có đáp án)
Bài viết Biến đổi đơn giản biểu thức chứa căn bậc hai với phương pháp giải chi tiết giúp học sinh ôn tập, biết cách làm bài tập Biến đổi đơn giản biểu thức chứa căn bậc hai.
Bài tập Biến đổi đơn giản biểu thức chứa căn bậc hai lớp 9 (có đáp án)
(199k) Xem Khóa học Toán 9 KNTTXem Khóa học Toán 9 CDXem Khóa học Toán 9 CTST
Bài 1: Rút gọn biểu thức:
Bài 2: Giải các phương trình sau:
Bài 3: Chứng minh các đẳng thức sau:
a) với a ≥ 0;a ≠ 1
b) với a + b > 0 và b ≠ 0
Bài 4: Rút gọn rồi so sánh giá trị của M với 1 biết:
với a > 0; a ≠ 1
Bài 5: Cho B = (4x5 + 4x4 - 5x3 + 2x - 2)2 + 2018
Tính giá trị của B khi
Bài 6: Rút gọn
Bài 7: Cho biểu thức
a) Rút gọn P
b) Tìm x để P = 9/2
Bài 8: Cho biểu thức
(x ≥ 0, x ≠ 9, x ≠ 4)
a) Thu gọn biểu thức P
b) Tìm các giá trị của x để P = 1
Bài 9: Cho biểu thức
a) Tìm x để A có nghĩa, rút gọn biểu thức A.
b) Tìm các giá trị nguyên của x để biểu thức 2A nhận giá trị nguyên.
Đáp án và hướng dẫn giải
Bài 1:
a) 21 - √6
b)
c)
= √3 + √5 + √7
d)
= 9 + 2√7 + 2√7 - 5 = 4 + 4√7
e)
= √3 - 1 + (√3 + 2) + 3 - √3
= 4 + √3
f)
g)
h)
= [2(√5 - 2) - (9 + 4√5)](13 - 2√5)
= -(13 + 2√5)(13 - 2√5) = -149
Bài 2:
a) pt ⇔ x = 24 (TM)
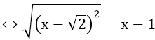
b) pt ⇔ |x - √2| = x - 1
Vậy nghiệm của phương trình là
Bài 3:
Bài 4:
Với a > 0; a ≠ 1
Bài 5:
⇒ 2x + 1 = √5 ⇒ (2x +1 )2 = 5
⇒ 4x2 + 4x + 1 = 5 ⇔ x2 + x - 1 = 0
B = (4x5 + 4x4 - 5x3 + 2x - 2)2 + 2018
= [4x3 (x2 + x - 1) - x(x2 + x - 1) + (x2 + x - 1) - 1]2 + 2018
= 1 + 2018 = 2019
Bài 6:
Bài 7:
Lời giải đang trong quá trình biên soạn.
Bài 8:
ĐKXĐ: x > 0; x ≠ 1
Bài 9:
P = 1 ⇔ √x - 2 = 3 ⇔ x = 25.
Chuyên đề Toán 9: đầy đủ Lý thuyết và các dạng bài tập có đáp án khác:
- Tóm tắt lý thuyết Căn bậc hai, Căn bậc ba
- Chủ đề: Căn bậc hai
- Chủ đề: Liên hệ phép nhân, phép chia với phép khai phương
- Chủ đề: Biến đổi đơn giản biểu thức chứa căn bậc hai
- Chủ đề: Căn bậc ba
- Chủ đề: Dùng biểu thức liên hợp để giải toán
- Chủ đề: Giải phương trình chứa dấu căn
- Bài tập trắc nghiệm Toán 9 Căn bậc hai (phần 1 - có đáp án)
- Bài tập trắc nghiệm Toán 9 Căn bậc hai (phần 2 - có đáp án)
Tủ sách VIETJACK luyện thi vào 10 cho 2k11 (2026):
Đã có app VietJack trên điện thoại, giải bài tập SGK, SBT Soạn văn, Văn mẫu, Thi online, Bài giảng....miễn phí. Tải ngay ứng dụng trên Android và iOS.
Theo dõi chúng tôi miễn phí trên mạng xã hội facebook và youtube:Loạt bài Chuyên đề: Lý thuyết - Bài tập Toán lớp 9 Đại số và Hình học có đáp án có đầy đủ Lý thuyết và các dạng bài được biên soạn bám sát nội dung chương trình sgk Đại số 9 và Hình học 9.
Nếu thấy hay, hãy động viên và chia sẻ nhé! Các bình luận không phù hợp với nội quy bình luận trang web sẽ bị cấm bình luận vĩnh viễn.
- Giải Tiếng Anh 9 Global Success
- Giải sgk Tiếng Anh 9 Smart World
- Giải sgk Tiếng Anh 9 Friends plus
- Lớp 9 Kết nối tri thức
- Soạn văn 9 (hay nhất) - KNTT
- Soạn văn 9 (ngắn nhất) - KNTT
- Giải sgk Toán 9 - KNTT
- Giải sgk Khoa học tự nhiên 9 - KNTT
- Giải sgk Lịch Sử 9 - KNTT
- Giải sgk Địa Lí 9 - KNTT
- Giải sgk Giáo dục công dân 9 - KNTT
- Giải sgk Tin học 9 - KNTT
- Giải sgk Công nghệ 9 - KNTT
- Giải sgk Hoạt động trải nghiệm 9 - KNTT
- Giải sgk Âm nhạc 9 - KNTT
- Giải sgk Mĩ thuật 9 - KNTT
- Lớp 9 Chân trời sáng tạo
- Soạn văn 9 (hay nhất) - CTST
- Soạn văn 9 (ngắn nhất) - CTST
- Giải sgk Toán 9 - CTST
- Giải sgk Khoa học tự nhiên 9 - CTST
- Giải sgk Lịch Sử 9 - CTST
- Giải sgk Địa Lí 9 - CTST
- Giải sgk Giáo dục công dân 9 - CTST
- Giải sgk Tin học 9 - CTST
- Giải sgk Công nghệ 9 - CTST
- Giải sgk Hoạt động trải nghiệm 9 - CTST
- Giải sgk Âm nhạc 9 - CTST
- Giải sgk Mĩ thuật 9 - CTST
- Lớp 9 Cánh diều
- Soạn văn 9 Cánh diều (hay nhất)
- Soạn văn 9 Cánh diều (ngắn nhất)
- Giải sgk Toán 9 - Cánh diều
- Giải sgk Khoa học tự nhiên 9 - Cánh diều
- Giải sgk Lịch Sử 9 - Cánh diều
- Giải sgk Địa Lí 9 - Cánh diều
- Giải sgk Giáo dục công dân 9 - Cánh diều
- Giải sgk Tin học 9 - Cánh diều
- Giải sgk Công nghệ 9 - Cánh diều
- Giải sgk Hoạt động trải nghiệm 9 - Cánh diều
- Giải sgk Âm nhạc 9 - Cánh diều
- Giải sgk Mĩ thuật 9 - Cánh diều


Giải bài tập SGK & SBT
Tài liệu giáo viên
Sách
Khóa học
Thi online
Hỏi đáp

