Cách biến đổi đơn giản biểu thức chứa căn bậc hai lớp 9 (cực hay, có đáp án)
Bài viết Cách biến đổi đơn giản biểu thức chứa căn bậc hai lớp 9 với phương pháp giải chi tiết giúp học sinh ôn tập, biết cách làm bài tập Cách biến đổi đơn giản biểu thức chứa căn bậc hai.
Cách biến đổi đơn giản biểu thức chứa căn bậc hai lớp 9 (cực hay, có đáp án)
(199k) Xem Khóa học Toán 9 KNTTXem Khóa học Toán 9 CDXem Khóa học Toán 9 CTST
Lý thuyết và Phương pháp giải
1. Đưa thừa số ra ngoài dấu căn
với B ≥ 0
2. Đưa thừa số vào trong dấu căn
với A ≥ 0; B ≥ 0
với A < 0; B ≥ 0
3. Khử mẫu ở biểu thức chứa căn
với AB ≥ 0; B ≠ 0
4. Trục căn thức ở mẫu
(A ≥ 0; B ≥ 0; A ≠ B)
5. Rút gọn biểu thức có chứa căn bậc hai
Bước 1: Dùng các phép biến đổi đơn giản để đưa các căn thức bậc hai phức tạp thành căn thức bậc hai đơn giản.
Bước 2: Thực hiện các phép tính theo thứ tự đã biết.
Ví dụ minh họa
Ví dụ 1: Sắp xếp các số sau theo thứ tự tăng dần:
Lời giải:
<a) Đưa thừa số vào trong dấu căn ta được:
5√2 = √50; 2√5 = √20; 2√3 = √12; 3√2 = √18
Mà √12 < √18 < √20 < √50
⇒ 2√3 < 3√2 < 2√5 < 5√2
b) Đưa thừa số vào trong dấu căn ta được:
6√(1/3) = √12; 2√8 = √32; 5√3 = √75
Mà √12 < √27 < √32 < √75
⇒ 6√(1/3) < √27 < 2√8 < 5√3
Nhận xét: Khi so sánh các căn thức với nhau, ta nên đưa các thừa số vào trong dấu căn, sau đó mới so sánh.
Ví dụ 2: Tính:
Lời giải:
Ví dụ 3: Chứng minh đẳng thức sau:
Lời giải:
Biến đổi vế trái, ta được:
Vế trái bằng vế phải, ta được điều phải chứng minh.
Ví dụ 4:Cho:
Tính giá trị của biểu thức A = (x4 - x3 - x2 + 2x - 1)2018
Lời giải:
Biến đổi biểu thức ở mẫu của x, ta được:
Ví dụ 5: Cho biểu thức:
a) Rút gọn P
b) Tính giá trị của P với x = 14 - 6√5
c) Tìm giá trị nhỏ nhất của biểu thức P
Lời giải:
a) ĐKXĐ: x ≥ 0; x ≠ 9. Ta có:
b) x = 14 - 6√5 = (3 - √5)2 thỏa mãn ĐKXĐ. Thay vào ta có:
Áp dụng bất đẳng thức Cauchy cho 2 số không âm , ta có:
⇒ P ≥ 6 - 2 = 4
Dấu bằng xảy ra khi:
⇒ (√x + 1)2 = 9 ⇒ √x + 1 = 3 ⇒ x = 4
Vậy giá trị nhỏ nhất của P là 4, đạt được khi x = 4
Bài tập tự luyện
Bài 1.
a) Khử căn thức ở mẫu số: ;
b) Rút gọn các biểu thức sau: ;
Hướng dẫn giải
b) Cách 1: Phân tích tử thành nhân tử rồi rút gọn:
Cách 2: Trục căn thức ở mẫu:
Bài 2. Rút gọn biểu thức:
a)
b)
c)
d) .
Hướng dẫn giải:
Bài 3. Cho . Với
Chứng minh rằng .
Hướng dẫn giải
ĐKXĐ: x ≠ 0
Khi đó, (1)
Bình phương hai vế, ta được:
Vì x ≠ 0 nên
Xét
Điều phải chứng minh
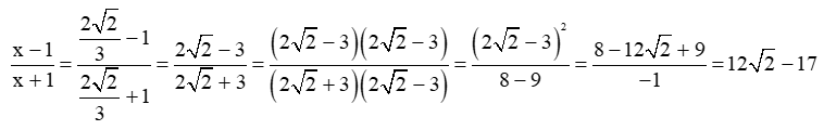
Bài 4. Tính giá trị biểu thức M = x5 – 6x3 + x tại .
Hướng dẫn giải
Ta có: = =
Ta có:
Thay x5, x3 và x vào biểu thức M, ta được:
Vậy tại thì giá trị của M là 0
Bài 5. Cho biểu thức
a) Rút gọn biểu thức N;
b) Tính giá trị của N khi ;
c) Tìm các giá trị của x nguyên để N nguyên.
Hướng dẫn giải:
a) Rút gọn biểu thức N:
b) Ta có:
Thay vào biểu thức N, ta được:
= =
Giá trị của N khi là
c) = = =
Để N nguyên khi
Suy ra
|
– 1 |
– 2 |
– 4 |
1 |
2 |
4 |
|
|
2 |
1 |
– 1 |
4 |
5 |
7 |
|
|
x |
4 |
1 |
Loại |
16 |
25 |
49 |
|
|
(TM) |
(TM) |
|
(TM) |
(TM) |
(TM) |
Vậy để N nguyên
Bài 6. Xác định a, b biết rẳng: = .
Bài 7. Cho và .
Chứng minh:
Bài 8. Cho biểu thức:
a) Rút gọn M;
b) Tìm giá trị lớn nhất của M.
Bài 9. Cho biểu thức
a) Rút gọn biểu thức P;
b) Tìm giá trị nhỏ nhất của P;
c) Tìm x để biểu thức nhận giá trị nguyên.
Bài 10. Tìm giá trị nhỏ nhất của biểu thức:
Chuyên đề Toán 9: đầy đủ Lý thuyết và các dạng bài tập có đáp án khác:
- Lý thuyết Chương 1: Căn bậc hai, Căn bậc ba
- Chủ đề: Căn bậc hai
- Chủ đề: Liên hệ phép nhân, phép chia với phép khai phương
- Chủ đề: Cách biến đổi đơn giản biểu thức chứa căn bậc hai cực hay, có đáp án
- Chủ đề: Căn bậc ba
- Chủ đề: Dùng biểu thức liên hợp để giải toán
- Chủ đề: Giải phương trình chứa dấu căn
- Bài tập trắc nghiệm Toán 9 Căn bậc hai (phần 1 - có đáp án)
- Bài tập trắc nghiệm Toán 9 Căn bậc hai (phần 2 - có đáp án)
Tủ sách VIETJACK luyện thi vào 10 cho 2k11 (2026):
Đã có app VietJack trên điện thoại, giải bài tập SGK, SBT Soạn văn, Văn mẫu, Thi online, Bài giảng....miễn phí. Tải ngay ứng dụng trên Android và iOS.
Theo dõi chúng tôi miễn phí trên mạng xã hội facebook và youtube:Loạt bài Chuyên đề: Lý thuyết - Bài tập Toán lớp 9 Đại số và Hình học có đáp án có đầy đủ Lý thuyết và các dạng bài được biên soạn bám sát nội dung chương trình sgk Đại số 9 và Hình học 9.
Nếu thấy hay, hãy động viên và chia sẻ nhé! Các bình luận không phù hợp với nội quy bình luận trang web sẽ bị cấm bình luận vĩnh viễn.
- Giải Tiếng Anh 9 Global Success
- Giải sgk Tiếng Anh 9 Smart World
- Giải sgk Tiếng Anh 9 Friends plus
- Lớp 9 Kết nối tri thức
- Soạn văn 9 (hay nhất) - KNTT
- Soạn văn 9 (ngắn nhất) - KNTT
- Giải sgk Toán 9 - KNTT
- Giải sgk Khoa học tự nhiên 9 - KNTT
- Giải sgk Lịch Sử 9 - KNTT
- Giải sgk Địa Lí 9 - KNTT
- Giải sgk Giáo dục công dân 9 - KNTT
- Giải sgk Tin học 9 - KNTT
- Giải sgk Công nghệ 9 - KNTT
- Giải sgk Hoạt động trải nghiệm 9 - KNTT
- Giải sgk Âm nhạc 9 - KNTT
- Giải sgk Mĩ thuật 9 - KNTT
- Lớp 9 Chân trời sáng tạo
- Soạn văn 9 (hay nhất) - CTST
- Soạn văn 9 (ngắn nhất) - CTST
- Giải sgk Toán 9 - CTST
- Giải sgk Khoa học tự nhiên 9 - CTST
- Giải sgk Lịch Sử 9 - CTST
- Giải sgk Địa Lí 9 - CTST
- Giải sgk Giáo dục công dân 9 - CTST
- Giải sgk Tin học 9 - CTST
- Giải sgk Công nghệ 9 - CTST
- Giải sgk Hoạt động trải nghiệm 9 - CTST
- Giải sgk Âm nhạc 9 - CTST
- Giải sgk Mĩ thuật 9 - CTST
- Lớp 9 Cánh diều
- Soạn văn 9 Cánh diều (hay nhất)
- Soạn văn 9 Cánh diều (ngắn nhất)
- Giải sgk Toán 9 - Cánh diều
- Giải sgk Khoa học tự nhiên 9 - Cánh diều
- Giải sgk Lịch Sử 9 - Cánh diều
- Giải sgk Địa Lí 9 - Cánh diều
- Giải sgk Giáo dục công dân 9 - Cánh diều
- Giải sgk Tin học 9 - Cánh diều
- Giải sgk Công nghệ 9 - Cánh diều
- Giải sgk Hoạt động trải nghiệm 9 - Cánh diều
- Giải sgk Âm nhạc 9 - Cánh diều
- Giải sgk Mĩ thuật 9 - Cánh diều


Giải bài tập SGK & SBT
Tài liệu giáo viên
Sách
Khóa học
Thi online
Hỏi đáp

