15 Bài tập Căn bậc ba lớp 9 (có đáp án)
Với 15 Bài tập Căn bậc ba lớp 9 có lời giải chi tiết sẽ giúp học sinh ôn tập, biết cách làm bài tập Căn bậc ba.
15 Bài tập Căn bậc ba lớp 9 (có đáp án)
(199k) Xem Khóa học Toán 9 KNTTXem Khóa học Toán 9 CDXem Khóa học Toán 9 CTST
Câu 1: Kết quả so sánh nào sau đây sai ?
A. 5 > ∛123 B. 5∛6 = 6∛5
C. 3∛2 < ∛55 D. 3∛4 > 2∛13
Lời giải:
Chọn đáp án B.
Câu 2: Kết quả của phép tính là ?
Lời giải:
Ta có
Chọn đáp án C.
Câu 3: Kết quả rút gọn của biểu thức là ?
Lời giải:
Ta có:
Chọn đáp án C.
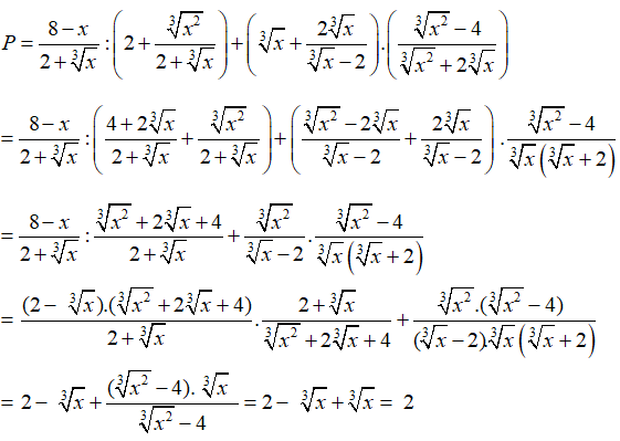
Câu 4: Cho biểu thức
với x > 0 và x ≠ 8. Rút gọn P ta được ?
A. 2 B. 2 - 2∛x C. ∛x D. 1/2
Lời giải:
Ta có:
Chọn đáp án A.
Câu 5: Kết quả của phép tính là = ?
Lời giải:
Ta có :
Chọn đáp án B
Câu 6: Tính
A. 15
B. -1
C.17
D. 1
Lời giải:
Ta có:
Chọn đáp án C.
Câu 7: Tìm kết quả đúng
A. -3
B. 3
C. 6
D.- 6
Lời giải:
Ta có:
Chọn đáp án A.
Câu 8: Tìm x biết
A. x = 1
B. x = 13
C.x = 4
D.x = 6
Lời giải:
Ta có :
Chọn đáp án B.
Câu 9: Rút gọn
A. a
B.2a
C. – 2a
D. – a
Lời giải:
Ta có:
Chọn đáp án D.
Câu 10: Rút gọn
A. -5b2(a+1)
B.5b2(a+1)
C. -5b2(a -1)
D. Đáp án khác
Lời giải:
Ta có:
Chọn đáp án A.
Câu 11: Thu gọn
với a ≠ 0 ta được
Lời giải:
Đáp án cần chọn là: C
Câu 12: Rút gọn biểu thức ta được
Lời giải:
Đáp án cần chọn là: A
Câu 13: Rút gọn biểu thức ta được
A. 14a
B. 20a
C. 9a
D. −8a
Lời giải:
Đáp án cần chọn là: B
Câu 14: Rút gọn biểu thức ta được
Lời giải:
Đáp án cần chọn là: A
Câu 15: Rút gọn biểu thức ta được
Lời giải:
Đáp án cần chọn là: A
Bài giảng: Bài 9: Căn bậc ba - Cô Phạm Thị Huệ Chi (Giáo viên VietJack)
(199k) Xem Khóa học Toán 9 KNTTXem Khóa học Toán 9 CDXem Khóa học Toán 9 CTST
Xem thêm lý thuyết và các dạng bài tập Toán lớp 9 có lời giải hay khác:
- Tổng hợp lý thuyết Căn bậc hai, Căn bậc ba (hay, chi tiết)
- 35+ Bài tập trắc nghiệm Căn bậc hai; Căn bậc ba (có đáp án)
- Lý thuyết Nhắc lại và bổ sung các khái niệm về hàm số (hay, chi tiết)
- Trắc nghiệm Nhắc lại và bổ sung các khái niệm về hàm số
- Lý thuyết Hàm số bậc nhất (hay, chi tiết)
- Trắc nghiệm Hàm số bậc nhất
Tủ sách VIETJACK luyện thi vào 10 cho 2k11 (2026):
Đã có app VietJack trên điện thoại, giải bài tập SGK, SBT Soạn văn, Văn mẫu, Thi online, Bài giảng....miễn phí. Tải ngay ứng dụng trên Android và iOS.
Theo dõi chúng tôi miễn phí trên mạng xã hội facebook và youtube:Loạt bài Chuyên đề: Lý thuyết - Bài tập Toán lớp 9 Đại số và Hình học có đáp án có đầy đủ Lý thuyết và các dạng bài được biên soạn bám sát nội dung chương trình sgk Đại số 9 và Hình học 9.
Nếu thấy hay, hãy động viên và chia sẻ nhé! Các bình luận không phù hợp với nội quy bình luận trang web sẽ bị cấm bình luận vĩnh viễn.
- Giải Tiếng Anh 9 Global Success
- Giải sgk Tiếng Anh 9 Smart World
- Giải sgk Tiếng Anh 9 Friends plus
- Lớp 9 Kết nối tri thức
- Soạn văn 9 (hay nhất) - KNTT
- Soạn văn 9 (ngắn nhất) - KNTT
- Giải sgk Toán 9 - KNTT
- Giải sgk Khoa học tự nhiên 9 - KNTT
- Giải sgk Lịch Sử 9 - KNTT
- Giải sgk Địa Lí 9 - KNTT
- Giải sgk Giáo dục công dân 9 - KNTT
- Giải sgk Tin học 9 - KNTT
- Giải sgk Công nghệ 9 - KNTT
- Giải sgk Hoạt động trải nghiệm 9 - KNTT
- Giải sgk Âm nhạc 9 - KNTT
- Giải sgk Mĩ thuật 9 - KNTT
- Lớp 9 Chân trời sáng tạo
- Soạn văn 9 (hay nhất) - CTST
- Soạn văn 9 (ngắn nhất) - CTST
- Giải sgk Toán 9 - CTST
- Giải sgk Khoa học tự nhiên 9 - CTST
- Giải sgk Lịch Sử 9 - CTST
- Giải sgk Địa Lí 9 - CTST
- Giải sgk Giáo dục công dân 9 - CTST
- Giải sgk Tin học 9 - CTST
- Giải sgk Công nghệ 9 - CTST
- Giải sgk Hoạt động trải nghiệm 9 - CTST
- Giải sgk Âm nhạc 9 - CTST
- Giải sgk Mĩ thuật 9 - CTST
- Lớp 9 Cánh diều
- Soạn văn 9 Cánh diều (hay nhất)
- Soạn văn 9 Cánh diều (ngắn nhất)
- Giải sgk Toán 9 - Cánh diều
- Giải sgk Khoa học tự nhiên 9 - Cánh diều
- Giải sgk Lịch Sử 9 - Cánh diều
- Giải sgk Địa Lí 9 - Cánh diều
- Giải sgk Giáo dục công dân 9 - Cánh diều
- Giải sgk Tin học 9 - Cánh diều
- Giải sgk Công nghệ 9 - Cánh diều
- Giải sgk Hoạt động trải nghiệm 9 - Cánh diều
- Giải sgk Âm nhạc 9 - Cánh diều
- Giải sgk Mĩ thuật 9 - Cánh diều


Giải bài tập SGK & SBT
Tài liệu giáo viên
Sách
Khóa học
Thi online
Hỏi đáp

