Tổng hợp lý thuyết Căn bậc hai, Căn bậc ba (hay, chi tiết)
Bài viết Tổng hợp lý thuyết Căn bậc hai, Căn bậc ba hay, chi tiết giúp bạn nắm vững kiến thức trọng tâm Chương 1 Đại Số 9.
Tổng hợp lý thuyết Căn bậc hai, Căn bậc ba (hay, chi tiết)
I. LÝ THUYẾT
1. Ta có x = √a
2. Điều kiện tồn tại của √A là A ≥ 0.
3.
4. với A ≥ 0; B ≥ 0
Tổng quát với A1 ≥ 0 (1 ≤ i ≤ n).
5. Với A ≥ 0; B > 0 ta có .
6. Khi đưa thừa số A2 ra ngoài dấu căn bậc hai ta được |A|.
; B ≥ 0
7. Đưa thừa số vào trong dấu căn bậc hai
8. Khử mẫu của biểu thức dưới dấu căn bậc hai.
Đối với biểu thức dưới dấu căn, ta nhân mẫu số với thừa số phụ thích hợp để mẫu số có dạng C2
9. Trục căn thức ở mẫu số
Gồm các dạng cơ bản sau:
(Lưu ý: Nhân cả tử và mẫu với một thừa số thích hợp để mẫu có dạng: )
10. Một số chú ý giải phương trình
II. MỘT SỐ VÍ DỤ CỤ THỂ
Câu 1: Tìm giá trị của x để biểu thức sau có nghĩa
Lời giải:
Câu 2: Tính giá trị của biểu thức
Lời giải:
Câu 3: Rút gọn các biểu thức sau:
Lời giải:
c) Ta có
Câu 4: Giải các phương trình sau đây
Lời giải:
a) Điều kiện: x ≥ 1/2.
b) Điều kiện: x ≥ -2
Ta có
III. Bài tập tự luận
1. Mức độ Nhận biết – Thông hiểu
Câu 1: Với giá trị nào của x thì mỗi biểu thức sau có nghĩa ?
Lời giải:
Câu 2: Tính giá trị của các biểu thức sau:
Lời giải:
a) Ta có:
b) Ta có:
c) Ta có:
Câu 3: Rút gọn các biểu thức sau :
Lời giải:
a) Ta có:
b) Ta có:
c) Ta có:
Câu 4: So sánh các số sau:
Lời giải:
a) Ta có: 64 < 65 ⇒ √64 < √65 ⇒ 8 < √65
b) Ta có:
c) Ta có:
Câu 5: Giải các phương trình sau:
Lời giải:
a) Điều kiện: x ≥ 0
Ta có:
Vậy S = {1}.
b) Điều kiện: x ≥ 1/3
Ta có:
Vậy S = {5/3}.
c) Điều kiện: x ≥ -2
Ta có:
d) Điều kiện:
Ta có:
Vậy S = {-4; 3}.
2. Mức độ Vận dụng – Vận dụng cao.
Câu 1: Cho biểu thức
với x > 0, x ≠ 0.
a) Rút gọn biểu thức V.
b) Tìm giá trị của x để V = 1/3.
Lời giải:
Điều kiện x ≠ 4.
a) Ta có:
b) Theo bài ra,
( thỏa mãn điều kiện).
Vậy x = 64
Câu 2: Giải các phương trình sau:
Lời giải:
Câu 3: Cho biểu thức:
, với x ≥ 0, x ≠ 1.
a) Rút gọn biểu thức P.
b) Cho biểu thức, với x ≥ 0, x ≠ 1, x ≠ 4. Chứng minh Q ≥ 6
Lời giải:
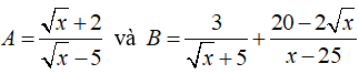
Câu 4: Cho hai biểu thức
với x ≥ 0, x ≠ 25.
a. Tính giá trị biểu thức A khi x = 9.
b. Chứng minh rằng
c. Tìm tất cả các giá trị của x để A = B.|x - 4|.
Lời giải:
a) Tính giá trị biểu thức A khi x = 9.
Khi x = 9 ta có:
Vậy với x = 9 thì giá trị của biểu thức A là -5/2
b) Chứng minh rằng
Với x ≥ 0, x ≠ 25 thì
c) Tìm tất cả các giá trị của x để A = B.|x - 4|.
Với x ≥ 0, x ≠ 25 Ta có: A = B.|x - 4|
Vậy có hai giá trị x = 1 và x = 9 thỏa mãn yêu cầu bài toán.
Câu 5: Tìm x, y, z biết rằng
Lời giải:
Điều kiện: x ≥ 2; y ≥ 3; z ≥ 5
Ta có:
Vậy x = 3; y = 7; z = 14
Câu 6: Chứng minh rằng:
a) Với mọi n ∈ Z+, ta có:
b) Với mọi n ∈ Z+, ta có:
Lời giải:
a) Ta có:
Khi đó
b) Ta có:
Khi đó
(điều phải chứng minh).
Câu 7: Rút gọn các biểu thức sau:
Lời giải:
b) Điều kiện
Ta có:
c) Ta có:
Câu 8: Tính
a) Tính GTLN của biểu thức
, biết x + y = 4.
b) Tính GTNN của biểu thức
với 0 < x < 1
Lời giải:
a) Điều kiện: x ≥ 1, y ≥ 2
Ta có
Áp dụng BĐT Bunhia – copxki ta có:
b) Để áp dụng BĐT Cosi , ta xét biểu thức
Câu 9: Cho biểu thức
(với x ≥ 0; x ≠ 1).
a) Chứng minh
b) Chứng minh rằng nếu x ≥ 0; x ≠ 1 thì P ≤ 3/2.
Lời giải:
a) Ta có:
b) Ta có:
Câu 10: Cho biểu thức
(với x > 0; x ≠ 1).
a) Rút gọn biểu thức A.
b) Có bao nhiêu giá trị nguyên của x để
Lời giải:
a) Ta có:
b) Ta có:
Vì x > 0, x ≠ 1 và x nguyên nên x ∈ {2; 3; 4; ...; 2018}. Suy ra có 2017 giá trị nguyên của x thỏa mãn bài toán.
Câu 11:
a) Cho x, y là hai số thực thỏa mãn Chứng minh rằng:
b) Cho các số thực x, y thỏa mãn
Tính giá trị của biểu thức:
c) Tính giá trị của biểu thức:
Lời giải:
a) Ta có:
b) Ta có:
c) Ta có:0
Với n ∈ N*, ta có:
Áp dụng kết quả trên, ta được:
IV. Bài tập tự luyện
Bài 1. Với giá trị nào của x thì các biểu thức sau có nghĩa
a) b) c) d)
Bài 2. Rút gọn các biểu thức sau:
a) ;
b) ;
c) ;
d) .
Bài 3. Giải các phương trình và bất phương trình sau:
a) ;
b) ;
c) ;
d) .
Bài 4. Cho biểu thức với x ≥ 0, x ≠ 1.
a) Rút gọn P;
b) Tính giá trị của P khi ;
c) Tìm giá trị của x để ;
d) Tìm x ∈ ℤ để P ∈ ℤ;
e) Tìm x để P < 1 - ;
g) Tìm giá trị nhỏ nhất của P.
Bài 5. Cho a, b, c > 0 và ab + bc + ca = 1. Chứng minh:
Xem thêm lý thuyết và các dạng bài tập Toán lớp 9 có lời giải hay khác:
- Lý thuyết Nhắc lại và bổ sung các khái niệm về hàm số (hay, chi tiết)
- Trắc nghiệm Nhắc lại và bổ sung các khái niệm về hàm số
- Lý thuyết Hàm số bậc nhất (hay, chi tiết)
- Trắc nghiệm Hàm số bậc nhất
- Lý thuyết Đồ thị của hàm số y = ax + b (hay, chi tiết)
- Trắc nghiệm Đồ thị của hàm số y = ax + b
Tủ sách VIETJACK luyện thi vào 10 cho 2k11 (2026):
Đã có app VietJack trên điện thoại, giải bài tập SGK, SBT Soạn văn, Văn mẫu, Thi online, Bài giảng....miễn phí. Tải ngay ứng dụng trên Android và iOS.
Theo dõi chúng tôi miễn phí trên mạng xã hội facebook và youtube:Loạt bài Chuyên đề: Lý thuyết - Bài tập Toán lớp 9 Đại số và Hình học có đáp án có đầy đủ Lý thuyết và các dạng bài được biên soạn bám sát nội dung chương trình sgk Đại số 9 và Hình học 9.
Nếu thấy hay, hãy động viên và chia sẻ nhé! Các bình luận không phù hợp với nội quy bình luận trang web sẽ bị cấm bình luận vĩnh viễn.
- Giải Tiếng Anh 9 Global Success
- Giải sgk Tiếng Anh 9 Smart World
- Giải sgk Tiếng Anh 9 Friends plus
- Lớp 9 Kết nối tri thức
- Soạn văn 9 (hay nhất) - KNTT
- Soạn văn 9 (ngắn nhất) - KNTT
- Giải sgk Toán 9 - KNTT
- Giải sgk Khoa học tự nhiên 9 - KNTT
- Giải sgk Lịch Sử 9 - KNTT
- Giải sgk Địa Lí 9 - KNTT
- Giải sgk Giáo dục công dân 9 - KNTT
- Giải sgk Tin học 9 - KNTT
- Giải sgk Công nghệ 9 - KNTT
- Giải sgk Hoạt động trải nghiệm 9 - KNTT
- Giải sgk Âm nhạc 9 - KNTT
- Giải sgk Mĩ thuật 9 - KNTT
- Lớp 9 Chân trời sáng tạo
- Soạn văn 9 (hay nhất) - CTST
- Soạn văn 9 (ngắn nhất) - CTST
- Giải sgk Toán 9 - CTST
- Giải sgk Khoa học tự nhiên 9 - CTST
- Giải sgk Lịch Sử 9 - CTST
- Giải sgk Địa Lí 9 - CTST
- Giải sgk Giáo dục công dân 9 - CTST
- Giải sgk Tin học 9 - CTST
- Giải sgk Công nghệ 9 - CTST
- Giải sgk Hoạt động trải nghiệm 9 - CTST
- Giải sgk Âm nhạc 9 - CTST
- Giải sgk Mĩ thuật 9 - CTST
- Lớp 9 Cánh diều
- Soạn văn 9 Cánh diều (hay nhất)
- Soạn văn 9 Cánh diều (ngắn nhất)
- Giải sgk Toán 9 - Cánh diều
- Giải sgk Khoa học tự nhiên 9 - Cánh diều
- Giải sgk Lịch Sử 9 - Cánh diều
- Giải sgk Địa Lí 9 - Cánh diều
- Giải sgk Giáo dục công dân 9 - Cánh diều
- Giải sgk Tin học 9 - Cánh diều
- Giải sgk Công nghệ 9 - Cánh diều
- Giải sgk Hoạt động trải nghiệm 9 - Cánh diều
- Giải sgk Âm nhạc 9 - Cánh diều
- Giải sgk Mĩ thuật 9 - Cánh diều


Giải bài tập SGK & SBT
Tài liệu giáo viên
Sách
Khóa học
Thi online
Hỏi đáp

