15 Bài tập Căn bậc hai lớp 9 (có đáp án)
Với 15 Bài tập Căn bậc hai lớp 9 có lời giải chi tiết sẽ giúp học sinh ôn tập, biết cách làm bài tập Căn bậc hai.
15 Bài tập Căn bậc hai lớp 9 (có đáp án)
(199k) Xem Khóa học Toán 9 KNTTXem Khóa học Toán 9 CDXem Khóa học Toán 9 CTST
Câu 1: Chọn đáp án đúng trong các phương án sau?
A. √2 > √3. B. √5 < 2. C. √7 < 3 D. √-4 = 2.
Lời giải:
- Ta có 2 < 3 ⇒ √2 < √3. Đáp án A sai.
- Ta có 5 > 4 ⇒ √5 > √4 ⇒ √5 > 2. Đáp án B sai.
- Ta có 7 < 9 ⇒ √7 < √9 ⇒ √7 < 3. Đáp án C đúng.
- Theo định nghĩa không tồn tại căn bậc hai của số âm. Đáp án D sai.
Chọn đáp án C.
Câu 2: Trong các nhận xét sau, nhận xét nào sai ?
A. Căn bậc hai số học của 36 là 6 và -6.
B. 25 có hai căn bậc hai là 5 và -5.
C. Số 0 có đúng một căn bậc hai là chính nó.
D. Số -7 không có căn bậc hai.
Lời giải:
- Căn bậc hai số học của 36 là 6. Đáp án A sai.
Chọn đáp án A.
Câu 3: Căn bậc hai số học của -81 là ?
A. 9 B. -9 C. ±9 D. Không xác định
Lời giải:
Không tồn tại căn bậc hai số học của số âm
Chọn đáp án D.
Câu 4: Một mảnh vườn hình vuông có diện tích bằng diện tích của một hình chữ nhật có chiều dài là 9 m và chiều rộng là 4 m. Hỏi cạnh của mảnh vườn hình vuông đó bằng bao nhiêu ?
A. 6m B. 8m C. 7m D. 36m
Lời giải:
Diện tích của hình chữ nhật là 9.4 = 36 (m2)
Diện tích của mảnh đất hình vuông là 36 (m2) nên cạnh hình vuông là √36 = 6 (m) (vì độ dài cạnh luôn dương)
Chọn đáp án A.
Câu 6: Khẳng định nào sau đây là sai:
Lời giải:
- Với hai số a, b không âm ta có a < b ⇔ √a < √b nên c đúng
- Với hai số a, b không âm ta có a > b ≥ 0 ⇔ √a > √b nên D sai
- Sử dụng hằng đẳng thức
nên A, B đúng
Đáp án cần chọn là: D
Câu 7: So sánh hai số 2 và 1 + √2
Lời giải:
Đáp án cần chọn là: C
Câu 8: So sánh hai số 5 và
Lời giải:
Đáp án cần chọn là: C
Câu 9: Biểu thức có nghĩa khi:
A. x < 3
B. x < 0
C. x ≥ 0
D. x ≥ 3
Lời giải:
Đáp án cần chọn là: D
Câu 10: Biểu thức có nghĩa khi
Lời giải:
Đáp án cần chọn là: B
Câu 11: Giá trị của biểu thức là:
A. 12
B. 13
C. 14
D. 15
Lời giải:
Đáp án cần chọn là: B
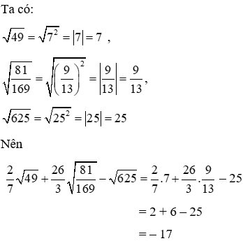
Câu 12: Giá trị của biểu thức là:
A. – 17
B. 15
C. 18
D. 17
Lời giải:
Đáp án cần chọn là: A
Câu 13: Tìm các số x không âm thỏa mãn √x ≥ 3
Lời giải:
Đáp án cần chọn là: A
Câu 14: Tìm các số x không âm thỏa mãn:
A. 0 ≤ x < 20
B. x < 20
C. c > 0
D. x < 2
Lời giải:
Đáp án cần chọn là: A
Câu 15: Tìm giá trị của x không âm biết
A. x = – 15
B. x = 225
C. x = 25
D. x = 15
Lời giải:
Đáp án cần chọn là: B
Bài giảng: Bài 1: Căn bậc hai - Cô Phạm Thị Huệ Chi (Giáo viên VietJack)
(199k) Xem Khóa học Toán 9 KNTTXem Khóa học Toán 9 CDXem Khóa học Toán 9 CTST
Xem thêm lý thuyết và các dạng bài tập Toán lớp 9 có lời giải hay khác:
- Lý thuyết Căn thức bậc hai và hằng đẳng thức (hay, chi tiết)
- Trắc nghiệm Căn thức bậc hai và hằng đẳng thức
- Lý thuyết Liên hệ giữa phép nhân và phép khai phương (hay, chi tiết)
- Trắc nghiệm Liên hệ giữa phép nhân và phép khai phương
- Lý thuyết Liên hệ giữa phép chia và phép khai phương (hay, chi tiết)
- Trắc nghiệm Liên hệ giữa phép chia và phép khai phương
Tủ sách VIETJACK luyện thi vào 10 cho 2k11 (2026):
Đã có app VietJack trên điện thoại, giải bài tập SGK, SBT Soạn văn, Văn mẫu, Thi online, Bài giảng....miễn phí. Tải ngay ứng dụng trên Android và iOS.
Theo dõi chúng tôi miễn phí trên mạng xã hội facebook và youtube:Loạt bài Chuyên đề: Lý thuyết - Bài tập Toán lớp 9 Đại số và Hình học có đáp án có đầy đủ Lý thuyết và các dạng bài được biên soạn bám sát nội dung chương trình sgk Đại số 9 và Hình học 9.
Nếu thấy hay, hãy động viên và chia sẻ nhé! Các bình luận không phù hợp với nội quy bình luận trang web sẽ bị cấm bình luận vĩnh viễn.
- Giải Tiếng Anh 9 Global Success
- Giải sgk Tiếng Anh 9 Smart World
- Giải sgk Tiếng Anh 9 Friends plus
- Lớp 9 Kết nối tri thức
- Soạn văn 9 (hay nhất) - KNTT
- Soạn văn 9 (ngắn nhất) - KNTT
- Giải sgk Toán 9 - KNTT
- Giải sgk Khoa học tự nhiên 9 - KNTT
- Giải sgk Lịch Sử 9 - KNTT
- Giải sgk Địa Lí 9 - KNTT
- Giải sgk Giáo dục công dân 9 - KNTT
- Giải sgk Tin học 9 - KNTT
- Giải sgk Công nghệ 9 - KNTT
- Giải sgk Hoạt động trải nghiệm 9 - KNTT
- Giải sgk Âm nhạc 9 - KNTT
- Giải sgk Mĩ thuật 9 - KNTT
- Lớp 9 Chân trời sáng tạo
- Soạn văn 9 (hay nhất) - CTST
- Soạn văn 9 (ngắn nhất) - CTST
- Giải sgk Toán 9 - CTST
- Giải sgk Khoa học tự nhiên 9 - CTST
- Giải sgk Lịch Sử 9 - CTST
- Giải sgk Địa Lí 9 - CTST
- Giải sgk Giáo dục công dân 9 - CTST
- Giải sgk Tin học 9 - CTST
- Giải sgk Công nghệ 9 - CTST
- Giải sgk Hoạt động trải nghiệm 9 - CTST
- Giải sgk Âm nhạc 9 - CTST
- Giải sgk Mĩ thuật 9 - CTST
- Lớp 9 Cánh diều
- Soạn văn 9 Cánh diều (hay nhất)
- Soạn văn 9 Cánh diều (ngắn nhất)
- Giải sgk Toán 9 - Cánh diều
- Giải sgk Khoa học tự nhiên 9 - Cánh diều
- Giải sgk Lịch Sử 9 - Cánh diều
- Giải sgk Địa Lí 9 - Cánh diều
- Giải sgk Giáo dục công dân 9 - Cánh diều
- Giải sgk Tin học 9 - Cánh diều
- Giải sgk Công nghệ 9 - Cánh diều
- Giải sgk Hoạt động trải nghiệm 9 - Cánh diều
- Giải sgk Âm nhạc 9 - Cánh diều
- Giải sgk Mĩ thuật 9 - Cánh diều


Giải bài tập SGK & SBT
Tài liệu giáo viên
Sách
Khóa học
Thi online
Hỏi đáp

