15 Bài tập Liên hệ giữa phép chia và phép khai phương lớp 9 (có đáp án)
Với 15 Bài tập Liên hệ giữa phép chia và phép khai phương lớp 9 có lời giải chi tiết sẽ giúp học sinh ôn tập, biết cách làm bài tập Liên hệ giữa phép chia và phép khai phương.
15 Bài tập Liên hệ giữa phép chia và phép khai phương lớp 9 (có đáp án)
(199k) Xem Khóa học Toán 9 KNTTXem Khóa học Toán 9 CDXem Khóa học Toán 9 CTST
Câu 1: Giá trị của biểu thức khi rút gọn là?
A. -xy2
B. xy2
C. -x2y
D. x2y
Lời giải:
Ta có:
Chọn đáp án C.
Câu 2: Nghiệm của phương trình
Lời giải:
Ta có:
Chọn đáp án D.
Câu 3: Giá trị của x trong phương trình
A. 10
B. 10 và -6
C. -6
D. -8
Lời giải:
Ta có:
Chọn đáp án B.
Câu 4: Nghiệm của phương trình
A. 2
B. 3
C. 4
D. 5
Lời giải:
Ta có:
Chọn đáp án C.
Câu 5: Không dùng máy tính, tính giá trị của biểu thức sau là?
Lời giải:
Ta có:
Chọn đáp án D.
Câu 6: Rút gọn biểu thức với a>0; b> 0; ta được kết quả:
A. 9a
B.9a2
C.-3a
D. 3a
Lời giải:
Ta có:
Chọn đáp án D.
Câu 7: Rút gọn biểu thức với a > 0; b < 0 ta được kết quả:
Lời giải:
Ta có:
Chọn đáp án B.
Câu 8: Rút gọn biểu thức với y < 1; x ≠ 1 ta được kết quả:
Lời giải:
Ta có:
Chọn đáp án C.
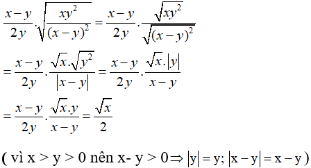
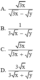
Câu 9: Rút gọn biểu thức với x > y > 0 ; ta được kết quả:
Lời giải:
Ta có:
Chọn đáp án A.
Câu 10: Tính
Lời giải:
Ta có:
Chọn đáp án B.
Câu 11: Với x, y ≥ 0; x ≠ y, rút gọn biểu thức ta được?
Lời giải:
Đáp án cần chọn là: D
Câu 12: Với x, y ≥ 0; 3x ≠ y, rút gọn biểu thức ta được?
Lời giải:
Đáp án cần chọn là: C
Câu 13: Giá trị của biểu thức là?
Lời giải:
Đáp án cần chọn là: A
Câu 14: Giá trị của biểu thức là?
Lời giải:
Đáp án cần chọn là: B
Câu 15: Với a ≥ 0, b ≥ 0, a ≠ b, rút gọn biểu thức ta được?
Lời giải:
Đáp án cần chọn là: B
Bài giảng: Bài 4: Liên hệ giữa phép chia và phép khai phương - Cô Phạm Thị Huệ Chi (Giáo viên VietJack)
(199k) Xem Khóa học Toán 9 KNTTXem Khóa học Toán 9 CDXem Khóa học Toán 9 CTST
Xem thêm lý thuyết và các dạng bài tập Toán lớp 9 có lời giải hay khác:
- Lý thuyết Bảng căn bậc hai (hay, chi tiết)
- Trắc nghiệm Bảng căn bậc hai
- Lý thuyết Biến đổi đơn giản biểu thức chứa căn thức bậc hai (hay, chi tiết)
- Trắc nghiệm Biến đổi đơn giản biểu thức chứa căn thức bậc hai
- Lý thuyết Rút gọn biểu thức chứa căn thức bậc hai (hay, chi tiết)
- Trắc nghiệm Rút gọn biểu thức chứa căn thức bậc hai
Tủ sách VIETJACK luyện thi vào 10 cho 2k11 (2026):
Đã có app VietJack trên điện thoại, giải bài tập SGK, SBT Soạn văn, Văn mẫu, Thi online, Bài giảng....miễn phí. Tải ngay ứng dụng trên Android và iOS.
Theo dõi chúng tôi miễn phí trên mạng xã hội facebook và youtube:Loạt bài Chuyên đề: Lý thuyết - Bài tập Toán lớp 9 Đại số và Hình học có đáp án có đầy đủ Lý thuyết và các dạng bài được biên soạn bám sát nội dung chương trình sgk Đại số 9 và Hình học 9.
Nếu thấy hay, hãy động viên và chia sẻ nhé! Các bình luận không phù hợp với nội quy bình luận trang web sẽ bị cấm bình luận vĩnh viễn.
- Giải Tiếng Anh 9 Global Success
- Giải sgk Tiếng Anh 9 Smart World
- Giải sgk Tiếng Anh 9 Friends plus
- Lớp 9 Kết nối tri thức
- Soạn văn 9 (hay nhất) - KNTT
- Soạn văn 9 (ngắn nhất) - KNTT
- Giải sgk Toán 9 - KNTT
- Giải sgk Khoa học tự nhiên 9 - KNTT
- Giải sgk Lịch Sử 9 - KNTT
- Giải sgk Địa Lí 9 - KNTT
- Giải sgk Giáo dục công dân 9 - KNTT
- Giải sgk Tin học 9 - KNTT
- Giải sgk Công nghệ 9 - KNTT
- Giải sgk Hoạt động trải nghiệm 9 - KNTT
- Giải sgk Âm nhạc 9 - KNTT
- Giải sgk Mĩ thuật 9 - KNTT
- Lớp 9 Chân trời sáng tạo
- Soạn văn 9 (hay nhất) - CTST
- Soạn văn 9 (ngắn nhất) - CTST
- Giải sgk Toán 9 - CTST
- Giải sgk Khoa học tự nhiên 9 - CTST
- Giải sgk Lịch Sử 9 - CTST
- Giải sgk Địa Lí 9 - CTST
- Giải sgk Giáo dục công dân 9 - CTST
- Giải sgk Tin học 9 - CTST
- Giải sgk Công nghệ 9 - CTST
- Giải sgk Hoạt động trải nghiệm 9 - CTST
- Giải sgk Âm nhạc 9 - CTST
- Giải sgk Mĩ thuật 9 - CTST
- Lớp 9 Cánh diều
- Soạn văn 9 Cánh diều (hay nhất)
- Soạn văn 9 Cánh diều (ngắn nhất)
- Giải sgk Toán 9 - Cánh diều
- Giải sgk Khoa học tự nhiên 9 - Cánh diều
- Giải sgk Lịch Sử 9 - Cánh diều
- Giải sgk Địa Lí 9 - Cánh diều
- Giải sgk Giáo dục công dân 9 - Cánh diều
- Giải sgk Tin học 9 - Cánh diều
- Giải sgk Công nghệ 9 - Cánh diều
- Giải sgk Hoạt động trải nghiệm 9 - Cánh diều
- Giải sgk Âm nhạc 9 - Cánh diều
- Giải sgk Mĩ thuật 9 - Cánh diều


Giải bài tập SGK & SBT
Tài liệu giáo viên
Sách
Khóa học
Thi online
Hỏi đáp

