15 Bài tập Rút gọn biểu thức chứa căn thức bậc hai lớp 9 (có đáp án)
Với 15 Bài tập Rút gọn biểu thức chứa căn thức bậc hai lớp 9 có lời giải chi tiết sẽ giúp học sinh ôn tập, biết cách làm bài tập Rút gọn biểu thức chứa căn thức bậc hai.
15 Bài tập Rút gọn biểu thức chứa căn thức bậc hai lớp 9 (có đáp án)
(199k) Xem Khóa học Toán 9 KNTTXem Khóa học Toán 9 CDXem Khóa học Toán 9 CTST
1. Phương pháp giải
Bước 1: Vận dụng thích hợp các phép tính và các phép biến đổi đã biết làm xuất hiện căn thức cùng loại;
+ Đưa thừa số A2 ra ngoài dấu căn: với B ≥ 0;
+ Đưa thừa số vào tròn dấu căn: ;
+ Khử căn ở mẫu: với B ≠ 0, AB ≥ 0;
+ Trục căn thức ở mẫu: ; .
Bước 2: Cộng, trừ, các căc thức bậc hai cùng loại.
2. Ví dụ minh họa
Ví dụ 1. Rút gọn các biểu thức sau:
a) ;
b) .
Hướng dẫn giải:
Ví dụ 2. Cho biểu thức P = .
a) Rút gọn P;
b) Tính giá trị của P khi x = ;
c) Tìm x thỏa mãn .
Hướng dẫn giải:
a) Rút gọn biểu thức
b) Ta có: x = = =
Thay x = vào biểu thức P, ta được:
P = .
Giá trị của P khi x = là .
3. Bài tập trắc nghiệm
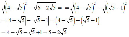
Câu 1: Giá trị của biểu thức là?
Lời giải:
Ta có:
Chọn đáp án A.
Câu 2: Giá trị của biểu thức
A. 1
B. 0
C. 2
D. 3
Lời giải:
Ta có:
Chọn đáp án B.
Câu 3: Rút gọn biểu thức với a > 0 ta được
Lời giải:
Ta có:
Chọn đáp án D.
Câu 4: Giá trị của biểu thức
A. 4
B. 5
C. 2
D. 3
Lời giải:
Ta có:
Chọn đáp án D.
Câu 5: Rút gọn biểu thức với a > 0 ta được
Lời giải:
Ta có:
Chọn đáp án A.
Câu 6: Rút gọn biểu thức :
Lời giải:
Chọn đáp án A.
Câu 7: Rút gọn biểu thức
A. 1
B. 2
C. 3
D. 4
Lời giải:
Chọn đáp án D.
Câu 8: Rút gọn biểu thức: (với a ≥ 0;a ≠ 1)
Lời giải:
Chọn đáp án C.
Câu 9: Rút gọn biểu thức: với x ≥ 0, x ≠ 1
Lời giải:
Chọn đáp án A.
Câu 10: Rút gọn biểu thức: với x ≥ 0, x ≠ 1
Lời giải:
Chọn đáp án D.
Câu 11: Giá trị biểu thức là:
A. 6
B. 4
C. 2
D. 3
Lời giải:
Đáp án cần chọn là: B
Câu 12: Rút gọn biểu thức với a > 0 ta được:
Lời giải:
Với a > 0, ta có
Đáp án cần chọn là: A
Câu 13: Rút gọn biểu thức ta được:
Lời giải:
Đáp án cần chọn là: D
Câu 14: Đẳng thức nào dưới đây là đúng:
Lời giải:
Đáp án cần chọn là: B
Câu 15: Với a, b > 0, đẳng thức nào dưới đây là đúng?
Lời giải:
Ta có:
Đáp án cần chọn là: A
4. Bài tập tự luyện
Bài 1. Thực hiện rút gọn các biểu thức sau:
a) ;
b) .
Hướng dẫn giải:
Bài 2. Rút gọn biểu thức:
a) ;
b) ;
c) ;
d) .
Hướng dẫn giải:
Bài 3. Chứng minh các đẳng thức sau:
a) ;
b) = 1 với a ≥ 0, a ≠ 1.
Hướng dẫn giải:
Bài 4. Với a > 0, các biểu thức sau được rút gọn:
a) ;
b) .
Hướng dẫn giải:
a)
=
= ;
b)
=
=
= .
Bài 5. Cho biểu thức N =
a) Rút gọn biểu thức N;
b) Tính giá trị của N khi x = ;
c) Tìm các giá trị của x nguyên để N nguyên.
Hướng dẫn giải:
a) Rút gọn biểu thức N:
b) Ta có: =>
Thay vào biểu thức N, ta được:
N = = =
Giá trị của N khi x = là .
c) N = = =
Để N nguyên khi =>
Suy ra ∈ Ư(4) = {–1; –2; –4; 1; 2; 4}.
|
– 1 |
– 2 |
– 4 |
1 |
2 |
4 |
|
|
2 |
1 |
– 1 |
4 |
5 |
7 |
|
|
x |
4 |
1 |
Loại |
16 |
25 |
49 |
|
|
(TM) |
(TM) |
|
(TM) |
(TM) |
(TM) |
Vậy x ∈ {1; 4; 16; 25; 49} để N nguyên
Bài 6. Nối cột A với cột B
Bài 7. Với hãy rút gọn biểu thức A = .
Bài 8. Các đẳng thức dưới đây được chứng minh đúng hay sai?
|
Đẳng thức |
Đúng/ Sai |
|
với a + b < 0, b ≠ 0 |
|
|
- - = với a ≠ b; a, b ≥ 0 |
|
Bài 9. Với a > 0, cho hai biểu thức A = và B = .
a) Tính giá trị của A khi x = 4;
b) Tìm các giá trị thực của x để B = ;
c) So sánh B với 1;
d) Đặt P = A : B. Tìm x thỏa mãn = .
Bài 10. Cho biểu thức:
P = : với x ≥ 0, x ≠ 1
a) Rút gọn P;
b) Tìm x để P < ;
c) Tìm x nguyên để P nguyên;
d) Tìm giá trị nhỏ nhất của P.
(199k) Xem Khóa học Toán 9 KNTTXem Khóa học Toán 9 CDXem Khóa học Toán 9 CTST
Xem thêm lý thuyết và các dạng bài tập Toán lớp 9 có lời giải hay khác:
- Lý thuyết Căn bậc ba (hay, chi tiết)
- Trắc nghiệm Căn bậc ba
- Tổng hợp lý thuyết Căn bậc hai, Căn bậc ba (hay, chi tiết)
- 35+ Bài tập trắc nghiệm Căn bậc hai; Căn bậc ba (có đáp án)
- Lý thuyết Nhắc lại và bổ sung các khái niệm về hàm số (hay, chi tiết)
- Trắc nghiệm Nhắc lại và bổ sung các khái niệm về hàm số
Tủ sách VIETJACK luyện thi vào 10 cho 2k11 (2026):
Đã có app VietJack trên điện thoại, giải bài tập SGK, SBT Soạn văn, Văn mẫu, Thi online, Bài giảng....miễn phí. Tải ngay ứng dụng trên Android và iOS.
Theo dõi chúng tôi miễn phí trên mạng xã hội facebook và youtube:Loạt bài Chuyên đề: Lý thuyết - Bài tập Toán lớp 9 Đại số và Hình học có đáp án có đầy đủ Lý thuyết và các dạng bài được biên soạn bám sát nội dung chương trình sgk Đại số 9 và Hình học 9.
Nếu thấy hay, hãy động viên và chia sẻ nhé! Các bình luận không phù hợp với nội quy bình luận trang web sẽ bị cấm bình luận vĩnh viễn.
- Giải Tiếng Anh 9 Global Success
- Giải sgk Tiếng Anh 9 Smart World
- Giải sgk Tiếng Anh 9 Friends plus
- Lớp 9 Kết nối tri thức
- Soạn văn 9 (hay nhất) - KNTT
- Soạn văn 9 (ngắn nhất) - KNTT
- Giải sgk Toán 9 - KNTT
- Giải sgk Khoa học tự nhiên 9 - KNTT
- Giải sgk Lịch Sử 9 - KNTT
- Giải sgk Địa Lí 9 - KNTT
- Giải sgk Giáo dục công dân 9 - KNTT
- Giải sgk Tin học 9 - KNTT
- Giải sgk Công nghệ 9 - KNTT
- Giải sgk Hoạt động trải nghiệm 9 - KNTT
- Giải sgk Âm nhạc 9 - KNTT
- Giải sgk Mĩ thuật 9 - KNTT
- Lớp 9 Chân trời sáng tạo
- Soạn văn 9 (hay nhất) - CTST
- Soạn văn 9 (ngắn nhất) - CTST
- Giải sgk Toán 9 - CTST
- Giải sgk Khoa học tự nhiên 9 - CTST
- Giải sgk Lịch Sử 9 - CTST
- Giải sgk Địa Lí 9 - CTST
- Giải sgk Giáo dục công dân 9 - CTST
- Giải sgk Tin học 9 - CTST
- Giải sgk Công nghệ 9 - CTST
- Giải sgk Hoạt động trải nghiệm 9 - CTST
- Giải sgk Âm nhạc 9 - CTST
- Giải sgk Mĩ thuật 9 - CTST
- Lớp 9 Cánh diều
- Soạn văn 9 Cánh diều (hay nhất)
- Soạn văn 9 Cánh diều (ngắn nhất)
- Giải sgk Toán 9 - Cánh diều
- Giải sgk Khoa học tự nhiên 9 - Cánh diều
- Giải sgk Lịch Sử 9 - Cánh diều
- Giải sgk Địa Lí 9 - Cánh diều
- Giải sgk Giáo dục công dân 9 - Cánh diều
- Giải sgk Tin học 9 - Cánh diều
- Giải sgk Công nghệ 9 - Cánh diều
- Giải sgk Hoạt động trải nghiệm 9 - Cánh diều
- Giải sgk Âm nhạc 9 - Cánh diều
- Giải sgk Mĩ thuật 9 - Cánh diều


Giải bài tập SGK & SBT
Tài liệu giáo viên
Sách
Khóa học
Thi online
Hỏi đáp

