15 Bài tập Biến đổi đơn giản biểu thức chứa căn thức bậc hai lớp 9 (có đáp án)
Với 15 Bài tập Biến đổi đơn giản biểu thức chứa căn thức bậc hai lớp 9 có lời giải chi tiết sẽ giúp học sinh ôn tập, biết cách làm bài tập Biến đổi đơn giản biểu thức chứa căn thức bậc hai.
15 Bài tập Biến đổi đơn giản biểu thức chứa căn thức bậc hai lớp 9 (có đáp án)
(199k) Xem Khóa học Toán 9 KNTTXem Khóa học Toán 9 CDXem Khóa học Toán 9 CTST
Câu 1: Kết quả của biểu thức rút gọn C = √125 - 3√45 + 2√20 ?
A. √5. B. 0. C. -√5. D. 2√5.
Lời giải:
Đưa một thừa số ra ngoài dấu căn
Ta có:
Chọn đáp án B.
Câu 2: Kết quả so sánh nào sau đây đúng ?
Lời giải:
Đưa thừa số vào trong dấu căn để sao sánh
Chọn đáp án A.
Câu 3: Rút gọn biểu thức với a > 0 ?
A. 3a B. a√3 C. 3√a D. a/√3
Lời giải:
Khử mẫu của biểu thức dưới dấu căn
Ta có:
Câu 4: Rút gọn biểu thức
Lời giải:
Trục căn thức ở mẫu
Ta có:
Chọn đáp án C.
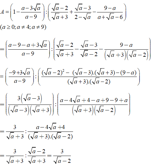
Câu 5: Cho biểu thức
Tìm giá trị của a để A - 1/A = 0?
A. a = 5 B. a = 3 C. a = 36 D. a = 25
Lời giải:
Ta có:
Ta có:
Chọn đáp án D.
Câu 6: Tính
A. 1
B. 0
C.√2
D.2√2
Lời giải:
Chọn đáp án B.
Câu 7: Tính
Lời giải:
Chọn đáp án C.
Câu 8: Tính
A. 0
B. 1
C. 2
D.3
Lời giải:
Chọn đáp án A.
Câu 9: Tìm x biết:
A. x = 2
B. x = 5
C. x = 10
D. x = 125
Lời giải:
Chọn đáp án B.
Câu 10: Rút gọn: (với x ≥ 0; y ≥ 0; x ≠ y )
Lời giải:
Với x ≥ 0; y ≥ 0; x ≠ y , áp dụng đưa thừa số ra ngoài dấu căn, ta có
Chọn đáp án A.
Câu 11: So sánh hai số 5√3 và 4√5
Lời giải:
Đáp án cần chọn là: D
Lời giải:
Đáp án cần chọn là: A
Câu 13: Khử mẫu biểu thức sau với x > 0; y > 0 ta được:
Lời giải:
Đáp án cần chọn là: D
Câu 14: Khử mẫu biểu thức sau với x < 0; y > 0 ta được:
Lời giải:
Đáp án cần chọn là: B
Câu 15: Khử mẫu biểu thức sau với x < 0; y < 0 ta được:
Lời giải:
Đáp án cần chọn là: D
Bài giảng: Bài 6: Biến đổi đơn giản biểu thức chứa căn thức bậc hai - Cô Phạm Thị Huệ Chi (Giáo viên VietJack)
(199k) Xem Khóa học Toán 9 KNTTXem Khóa học Toán 9 CDXem Khóa học Toán 9 CTST
Xem thêm lý thuyết và các dạng bài tập Toán lớp 9 có lời giải hay khác:
- Lý thuyết Rút gọn biểu thức chứa căn thức bậc hai (hay, chi tiết)
- Trắc nghiệm Rút gọn biểu thức chứa căn thức bậc hai
- Lý thuyết Căn bậc ba (hay, chi tiết)
- Trắc nghiệm Căn bậc ba
- Tổng hợp lý thuyết Căn bậc hai, Căn bậc ba (hay, chi tiết)
- 35+ Bài tập trắc nghiệm Căn bậc hai; Căn bậc ba (có đáp án)
Tủ sách VIETJACK luyện thi vào 10 cho 2k11 (2026):
Đã có app VietJack trên điện thoại, giải bài tập SGK, SBT Soạn văn, Văn mẫu, Thi online, Bài giảng....miễn phí. Tải ngay ứng dụng trên Android và iOS.
Theo dõi chúng tôi miễn phí trên mạng xã hội facebook và youtube:Loạt bài Chuyên đề: Lý thuyết - Bài tập Toán lớp 9 Đại số và Hình học có đáp án có đầy đủ Lý thuyết và các dạng bài được biên soạn bám sát nội dung chương trình sgk Đại số 9 và Hình học 9.
Nếu thấy hay, hãy động viên và chia sẻ nhé! Các bình luận không phù hợp với nội quy bình luận trang web sẽ bị cấm bình luận vĩnh viễn.
- Giải Tiếng Anh 9 Global Success
- Giải sgk Tiếng Anh 9 Smart World
- Giải sgk Tiếng Anh 9 Friends plus
- Lớp 9 Kết nối tri thức
- Soạn văn 9 (hay nhất) - KNTT
- Soạn văn 9 (ngắn nhất) - KNTT
- Giải sgk Toán 9 - KNTT
- Giải sgk Khoa học tự nhiên 9 - KNTT
- Giải sgk Lịch Sử 9 - KNTT
- Giải sgk Địa Lí 9 - KNTT
- Giải sgk Giáo dục công dân 9 - KNTT
- Giải sgk Tin học 9 - KNTT
- Giải sgk Công nghệ 9 - KNTT
- Giải sgk Hoạt động trải nghiệm 9 - KNTT
- Giải sgk Âm nhạc 9 - KNTT
- Giải sgk Mĩ thuật 9 - KNTT
- Lớp 9 Chân trời sáng tạo
- Soạn văn 9 (hay nhất) - CTST
- Soạn văn 9 (ngắn nhất) - CTST
- Giải sgk Toán 9 - CTST
- Giải sgk Khoa học tự nhiên 9 - CTST
- Giải sgk Lịch Sử 9 - CTST
- Giải sgk Địa Lí 9 - CTST
- Giải sgk Giáo dục công dân 9 - CTST
- Giải sgk Tin học 9 - CTST
- Giải sgk Công nghệ 9 - CTST
- Giải sgk Hoạt động trải nghiệm 9 - CTST
- Giải sgk Âm nhạc 9 - CTST
- Giải sgk Mĩ thuật 9 - CTST
- Lớp 9 Cánh diều
- Soạn văn 9 Cánh diều (hay nhất)
- Soạn văn 9 Cánh diều (ngắn nhất)
- Giải sgk Toán 9 - Cánh diều
- Giải sgk Khoa học tự nhiên 9 - Cánh diều
- Giải sgk Lịch Sử 9 - Cánh diều
- Giải sgk Địa Lí 9 - Cánh diều
- Giải sgk Giáo dục công dân 9 - Cánh diều
- Giải sgk Tin học 9 - Cánh diều
- Giải sgk Công nghệ 9 - Cánh diều
- Giải sgk Hoạt động trải nghiệm 9 - Cánh diều
- Giải sgk Âm nhạc 9 - Cánh diều
- Giải sgk Mĩ thuật 9 - Cánh diều


Giải bài tập SGK & SBT
Tài liệu giáo viên
Sách
Khóa học
Thi online
Hỏi đáp

