Bài tập Liên hệ phép nhân, phép chia với phép khai phương lớp 9 (có đáp án)
Bài viết Liên hệ phép nhân, phép chia với phép khai phương với phương pháp giải chi tiết giúp học sinh ôn tập, biết cách làm bài tập Liên hệ phép nhân, phép chia với phép khai phương.
Bài tập Liên hệ phép nhân, phép chia với phép khai phương lớp 9 (có đáp án)
(199k) Xem Khóa học Toán 9 KNTTXem Khóa học Toán 9 CDXem Khóa học Toán 9 CTST
Bài 1: Rút gọn các biểu thức sau:
Bài 2: Rút gọn các biểu thức sau:
a) với y < 2
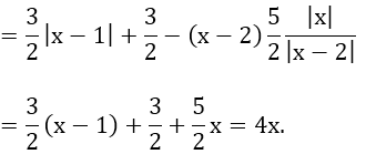
b) với x; y ≥ 0 và xy ≠ 1
c)
d) với 1 < x < 2
Bài 3: Giải các phương trình sau:
Bài 4: Cho
a) Tìm điều kiện để A có nghĩa
b) Rút gọn rồi tính giá trị của A với x = 9 – 4√2 và y = 6 + 4√2
Bài 5: Tính giá trị của các biểu thức sau:
a) với
b) với x = √5
Bài 6: Rút gọn các biểu thức:
Bài 7: Chứng minh rằng biểu thức sau luôn không đổi với x > 0, x ≠ 1.
Bài 8: Rút gọn các biểu thức sau:
a) với x > 3
b) với x > 2
Đáp án và hướng dẫn giải
Bài 1:
= |√3 - √2| - |√3 + √2|
= √3 - √2 - (√3 + √2) = -2√2
= (5 + 4√2)(9 - 4(1 + √2)) = (5 + 4√2)(5 - 4√2)
= 25 - 32 = -7.
Bài 2:
a) với y < 2
= 2x2.|y - 2| = 2x2 (2 - y).
b) với x; y ≥ 0 và xy ≠ 1
c) với 1 < x < 2
Bài 3:
a) ĐKXĐ: x ≥ 2
Đối chiếu với ĐKXĐ thì phương trình có nghiệm x = 3.
ĐKXĐ: x ≥ 2
Nếu ⇔ x ≥ 4 thì phương trình trở thành:
⇔ x - 2 = 2 ⇔ x = 4 (TMĐK)
Nếu thì phương trình trở thành:
⇔ 0x = 0
⇒ Phương trình nghiệm đúng với mọi x thỏa mãn ĐK 2 ≤ x < 4
Vậy phương trình đã cho có nghiệm 2 ≤ x ≤ 4.
ĐKXĐ:
⇔ 3x - 1 = 5(x + 2) ⇔ 2x = -11 ⇔ x = -11/2
Đối chiếu với ĐKXĐ thấy không thỏa mãn.
Vậy phương trình đã cho vô nghiệm.
ĐKXĐ:
⇔ 3x - 1 = 5(x + 2) ⇔ 2x = -11 ⇔ x = -11/2
Đối chiếu với ĐKXĐ thấy thỏa mãn.
Vậy phương trình có nghiệm x = -11/2
Bài 4:
a) ĐKXĐ: x ≥ 0; y ≥ 0; x ≠ y
Bài 5:
a)
Với thì
=|3 + 5 - 4| = 4
Với x = √5 ta có:
B = |2 + 1| - |2 - 1| = 2
Bài 6:
Bài 7:
Với x > 0, x ≠ 1
= x2 - 2x - x2 + 2x - 1 = -1
Vậy giá trị của biểu thức A không phụ thuộc vào x.
Bài 8:
a) với x > 3
b) với x > 2
Chuyên đề Toán 9: đầy đủ Lý thuyết và các dạng bài tập có đáp án khác:
- Tóm tắt lý thuyết Căn bậc hai, Căn bậc ba
- Chủ đề: Căn bậc hai
- Chủ đề: Liên hệ phép nhân, phép chia với phép khai phương
- Chủ đề: Biến đổi đơn giản biểu thức chứa căn bậc hai
- Chủ đề: Căn bậc ba
- Chủ đề: Dùng biểu thức liên hợp để giải toán
- Chủ đề: Giải phương trình chứa dấu căn
- Bài tập trắc nghiệm Toán 9 Căn bậc hai (phần 1 - có đáp án)
- Bài tập trắc nghiệm Toán 9 Căn bậc hai (phần 2 - có đáp án)
Tủ sách VIETJACK luyện thi vào 10 cho 2k11 (2026):
Đã có app VietJack trên điện thoại, giải bài tập SGK, SBT Soạn văn, Văn mẫu, Thi online, Bài giảng....miễn phí. Tải ngay ứng dụng trên Android và iOS.
Theo dõi chúng tôi miễn phí trên mạng xã hội facebook và youtube:Loạt bài Chuyên đề: Lý thuyết - Bài tập Toán lớp 9 Đại số và Hình học có đáp án có đầy đủ Lý thuyết và các dạng bài được biên soạn bám sát nội dung chương trình sgk Đại số 9 và Hình học 9.
Nếu thấy hay, hãy động viên và chia sẻ nhé! Các bình luận không phù hợp với nội quy bình luận trang web sẽ bị cấm bình luận vĩnh viễn.
- Giải Tiếng Anh 9 Global Success
- Giải sgk Tiếng Anh 9 Smart World
- Giải sgk Tiếng Anh 9 Friends plus
- Lớp 9 Kết nối tri thức
- Soạn văn 9 (hay nhất) - KNTT
- Soạn văn 9 (ngắn nhất) - KNTT
- Giải sgk Toán 9 - KNTT
- Giải sgk Khoa học tự nhiên 9 - KNTT
- Giải sgk Lịch Sử 9 - KNTT
- Giải sgk Địa Lí 9 - KNTT
- Giải sgk Giáo dục công dân 9 - KNTT
- Giải sgk Tin học 9 - KNTT
- Giải sgk Công nghệ 9 - KNTT
- Giải sgk Hoạt động trải nghiệm 9 - KNTT
- Giải sgk Âm nhạc 9 - KNTT
- Giải sgk Mĩ thuật 9 - KNTT
- Lớp 9 Chân trời sáng tạo
- Soạn văn 9 (hay nhất) - CTST
- Soạn văn 9 (ngắn nhất) - CTST
- Giải sgk Toán 9 - CTST
- Giải sgk Khoa học tự nhiên 9 - CTST
- Giải sgk Lịch Sử 9 - CTST
- Giải sgk Địa Lí 9 - CTST
- Giải sgk Giáo dục công dân 9 - CTST
- Giải sgk Tin học 9 - CTST
- Giải sgk Công nghệ 9 - CTST
- Giải sgk Hoạt động trải nghiệm 9 - CTST
- Giải sgk Âm nhạc 9 - CTST
- Giải sgk Mĩ thuật 9 - CTST
- Lớp 9 Cánh diều
- Soạn văn 9 Cánh diều (hay nhất)
- Soạn văn 9 Cánh diều (ngắn nhất)
- Giải sgk Toán 9 - Cánh diều
- Giải sgk Khoa học tự nhiên 9 - Cánh diều
- Giải sgk Lịch Sử 9 - Cánh diều
- Giải sgk Địa Lí 9 - Cánh diều
- Giải sgk Giáo dục công dân 9 - Cánh diều
- Giải sgk Tin học 9 - Cánh diều
- Giải sgk Công nghệ 9 - Cánh diều
- Giải sgk Hoạt động trải nghiệm 9 - Cánh diều
- Giải sgk Âm nhạc 9 - Cánh diều
- Giải sgk Mĩ thuật 9 - Cánh diều


Giải bài tập SGK & SBT
Tài liệu giáo viên
Sách
Khóa học
Thi online
Hỏi đáp

