Cách chứng minh hai đường thẳng vuông góc lớp 9 (cực hay)
Bài viết Cách chứng minh hai đường thẳng vuông góc lớp 9 với phương pháp giải chi tiết giúp học sinh ôn tập, biết cách làm bài tập Cách chứng minh hai đường thẳng vuông góc.
Cách chứng minh hai đường thẳng vuông góc lớp 9 (cực hay)
(199k) Xem Khóa học Toán 9 KNTTXem Khóa học Toán 9 CDXem Khóa học Toán 9 CTST
A. Phương pháp giải
+ Ta thường sử dụng các kiến thức về số đo của góc có đỉnh bên trong và bên ngoài đường tròn, góc nội tiếp, góc tạo bởi tiếp tuyến và dây cung để chứng minh các góc bằng nhau.
- Các góc nội tiếp, góc tạo bởi tia tiếp tuyến và dây cung cùng chắn một cung
- Tính số đo góc cụ thể
+ Chứng minh hai đường thẳng vuông góc bằng cách:
- Chứng minh góc tạo bởi hai đường thẳng bằng 90o
- Từ song song đến vuông góc
- Đường trung trực, đường cao,…
B. Ví dụ minh họa
Ví dụ 1 : Cho tam giác ABC nội tiếp đường tròn tâm O. Gọi P, Q, R lần lượt là giao điểm của các tia phân giác trong góc A, B, C với đường tròn. Chứng minh: AP ⊥ QR
Hướng dẫn giải
Ta có: ( vì AP là tia phân giác của góc
)
Mà lần lượt là các góc nội tiếp chắn cung
và
.
Tương tự
Gọi S là giao điểm của AP và QR. Khi đó:
là góc có đỉnh nằm trong đường tròn chắn cung
và
.
Vì
⇒ AP ⊥ QR
Vậy ⊥ QR
Ví dụ 2 : Các điểm A1,A2,A3,….A19,A20 được sắp xếp theo thứ tự đó trên đường tròn (O) và chia đường tròn thành 20 cung bằng nhau.Chứng minh rằng dây A1A8 vuông góc với dây A3A16
Hướng dẫn giải
Gọi giao điểm của A1A8 và A3A16 là M.
Vì đường tròn được chia thành 20 cung bằng nhau nên số đo của mỗi cung là :
360o : 20 = 18o
Ta có: và
Vì là góc có đỉnh bên trong đường tròn (O) nên:
Suy ra A1A8 ⊥ A3A16
Vậy dây A1A8 vuông góc với dây A3A16.
Ví dụ 3 : Qua điểm A nằm bên ngoài đường tròn (O) vẽ hai cát tuyến ABC và AMN sao cho hai đường thẳng BN và CM cắt nhau tại một điểm S nằm bên tròn đường tròn.
Chứng minh .
Hướng dẫn giải
Góc là góc có đỉnh ở bên ngoài đường tròn (O) chắn hai cung NC và BM
Góc là góc có đỉnh ở bên trong đường tròn (O) chắn hai cung NC và BM
(1)
Ta có là góc nội tiếp chắn cung
(2)
Từ (1) và (2) suy ra .
Ví dụ 4 : A, B, C là ba điểm thuộc đường tròn (O) sao cho tiếp tuyến tại A cắt tia BC tại D.Tia phân giác của góc (BAC) cắt đường tròn ở M, tia phân giác của góc D cắt AM ở I. Chứng minh DI ⊥ AM.
Hướng dẫn giải
Ta có (AM là tia phân giác của
)
Gọi N là giao điểm của BD và AM
Ta có: (góc có đỉnh năm bên trong đường tròn chắn hai cung
)
Ta lại có: (góc tạo bởi tia tiếp tuyến và dây cung chắn cung AM)
Suy ra tam giác AND cân tại D
Tam giác AND cân tại D có DI là tia phân giác nên DI cũng là đường cao
Suy ra: DI ⊥ AM hay DI ⊥ AM
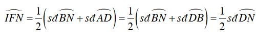
Ví dụ 5 : Cho đường tròn tâm O và dây cung AB. Vẽ đường kính CD vuông góc với AB (D thuộc cung nhỏ AB). Trên cung BC nhỏ, lấy điểm N. Các đường thẳng CN, DN cắt AB lần lượt tại E,F. Tiếp tuyến tại N của (O) cắt AB tại I. Chứng minh
a) Tam giác IEN, IFN cân
b)
Hướng dẫn giải
a) Ta có: ( góc tạo bởi tia tiếp tuyến với dây cung chắn cung ND)
(góc có đỉnh nằm ở bên trong đường tròn)
⇒ ΔIFN cân tại I
+ Gọi H là giao của CD và AB
Xét tam giác vuông EHC, có:
Ta lại có: (hai góc phụ nhau)
Mà (góc tạo bởi tia tiếp tuyến và dây cung và góc nội tiếp cùng chắn cung
)
Suy ra ⇒ ΔIEN cân tại I.
b) Từ a ta có: IN = IF = IE
AE + AF = AF + IE + IF + AF = AF + IF + IF + AF = 2AI
⇒ .
C. Bài tập trắc nghiệm
Câu 1 : Cho đường tròn tâm O bán kính R và dây AB bất kỳ. Gọi M là điểm chính giữa của cung nhỏ AB. E và F là hai điểm bất kỳ trên dây AB. Gọi C và D tương ứng là giao điểm của ME, MF của đường tròn (O). Tính tổng
A. 360o
B. 180o
C. 270o
D. 90o
Hướng dẫn giải
Đáp án B
Ta có M là điểm chính giữa cung nhỏ AB
(1)
(góc có đỉnh nằm bên trong đường tròn chắn hai cung
và
)
(góc nội tiếp chắn cung MD)
Câu 2 : Trên đường tròn (O; R) đặt liên tiếp các dây cung: AB = BC = CD < R. AB cắt CD tại E. Tiếp tuyến tại B và D với đường tròn (O) cắt nhau tại F. Biểu thức nào dưới đây đúng:
Hướng dẫn giải
Đáp án A
Ta có: (góc có đỉnh năm bên ngoài đường tròn chắn hai cung AD và BC) (1)
(góc có đỉnh nằm ngoài đường tròn chắn cung AD )
Mà AB = CB = CD ⇒
Từ (1) và (2)⇒
Ta có: là góc nội tiếp chắn cung CD
là góc tạo bởi tia tiếp tuyến và dây cung lần lượt chắn các cung
Mà
Mà (hai góc đối đỉnh)
Xét ΔEBC và ΔFBD , ta có:
⇒ ΔEBC ∼ ΔFBD (g - g)
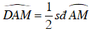
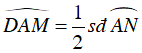
Câu 3 : Cho nửa đường tròn tâm O đường kính AB, C là điểm tùy ý trên nửa đường tròn.Tiếp tuyến của (O) tại A cắt tia BC tại D.Tia phân giác của góc BAC cắt dây BC tại M và cung BC tại N. ΔDAM là tam giác gì?
A.Tam giác vuông
B.Tam giác vuông cân
C.Tam giác cân
D.Tam giác đều
Hướng dẫn giải
Đáp án C
Vì AM là phân giác của
Ta có: ( góc có đỉnh nằm trong đường tròn chắn cung AC, BN)
Ta lại có: ( góc tạo bởi tia tiếp tuyến và dây cung chắn cung AN)
cân tại D.
Câu 4 : Trên đường tròn (O) lấy ba cung liên tiếp AB = BC = CD sao cho số đo của chúng đều bằng 45o .Gọi I là giao điểm của hai tia AB và DC, H là giao điểm của hai dây AC và BD. Khẳng định nào sau đây đúng?
A.ΔIBC là tam giác vuông
B.ΔIBC là tam giác cân
C. ΔIBC là tam giác vuông cân
D. A,B,C đều đúng
Hướng dẫn giải
Đáp án C
Ta có AB = BC = CD
là góc nội tiếp chắn
là góc nội tiếp chắn
(hai góc nội tiếp cùng chắn hai cung bằng nhau)
⇒ ΔIAD cân tại I ⇒ IA = ID
Mà AB = CD
⇒ IB = IC ⇒ ΔIBC cân tại I
Ta lại có ( góc có đỉnh nằm ngoài đường tròn chắn cung AD, BC)
Mặt khác (vì
)
⇒ ΔIBC vuông cân.
Câu 5 : Cho tam giác đều ABC nội tiếp trog đường tròn tâm O; M là một điểm trên cung nhỏ AC (M khác A và C) sao cho .Góc giữa hai đường thẳng AC và BM là:
A.45
B.60
C.65
D.90
Hướng dẫn giải
Đáp án D
Gọi giao điểm của BM và AC là H
Ta có: ( góc nội tiếp chắn cung MC)
Ta lại có: ΔABC đều
( góc nội tiếp chắn cung AB)
.
D. Bài tập tự luyện
Bài 1. Cho đường tròn (O), đường kính AB và S là một điểm nằm bên ngoài đường tròn. Có SA và SB lần lượt cắt đường tròn tại M, N. Gọi P là giao điểm của BM và AN. Chứng minh SP ⊥ AB.
Bài 2. Cho đường tròn (O), đường kính AB, điểm D thuộc đường tròn. Gọi E là điểm đối xứng với A qua D.
a) Tam giác ABE là tam giác gì?
b) Gọi K là giao điểm của EB với (O). Chứng minh rằng OD ⊥ AK.
Bài 3. Cho nửa (O) đường kính AB = 2R và điểm C nằm ngoài nửa đường tròn. CA cắt nửa đường tròn ở M, CB cắt nửa đường tròn ở N. Gọi H là giao điểm của AN và BM.
a) Chứng minh CH ⊥ AB.
b) Gọi I là trung điểm của CH. Chứng minh MI là tiếp tuyến của nửa đường tròn (O).
Bài 4. Cho tam giác ABC nội tiếp đường tròn (O) và AB < AC. Đường tròn (I) đi qua B và C, tiếp xúc với AB tại B cắt đường thẳng AC tại D. Chứng minh: OA ⊥ BD.
Bài 5. Cho tam giác ABC ngoại tiếp đường tròn (I). Các tia AI, BI, CI cắt đường tròn ngoại tiếp tam giác ABC tại D, E, F. Dây EF cắt AB, AC lần lượt tại M và N. Chứng minh DI ⊥ EF.
(199k) Xem Khóa học Toán 9 KNTTXem Khóa học Toán 9 CDXem Khóa học Toán 9 CTST
Xem thêm các dạng bài tập Toán lớp 9 chọn lọc, có lời giải chi tiết hay khác:
- Cách giải bài tập Quỹ tích cung chứa góc cực hay, chi tiết
- Cách chứng minh nhiều điểm cùng thuộc một đường tròn cực hay
- Cách dựng cung chứa góc cực hay, chi tiết
- Cách chứng minh tứ giác nội tiếp cực hay, chi tiết
- Ứng dụng của tứ giác nội tiếp chứng minh song song, vuông góc, thẳng hàng, đồng quy
Tủ sách VIETJACK luyện thi vào 10 cho 2k11 (2026):
Đã có app VietJack trên điện thoại, giải bài tập SGK, SBT Soạn văn, Văn mẫu, Thi online, Bài giảng....miễn phí. Tải ngay ứng dụng trên Android và iOS.
Theo dõi chúng tôi miễn phí trên mạng xã hội facebook và youtube:Loạt bài Chuyên đề: Lý thuyết - Bài tập Toán lớp 9 Đại số và Hình học có đáp án có đầy đủ Lý thuyết và các dạng bài được biên soạn bám sát nội dung chương trình sgk Đại số 9 và Hình học 9.
Nếu thấy hay, hãy động viên và chia sẻ nhé! Các bình luận không phù hợp với nội quy bình luận trang web sẽ bị cấm bình luận vĩnh viễn.
- Giải Tiếng Anh 9 Global Success
- Giải sgk Tiếng Anh 9 Smart World
- Giải sgk Tiếng Anh 9 Friends plus
- Lớp 9 Kết nối tri thức
- Soạn văn 9 (hay nhất) - KNTT
- Soạn văn 9 (ngắn nhất) - KNTT
- Giải sgk Toán 9 - KNTT
- Giải sgk Khoa học tự nhiên 9 - KNTT
- Giải sgk Lịch Sử 9 - KNTT
- Giải sgk Địa Lí 9 - KNTT
- Giải sgk Giáo dục công dân 9 - KNTT
- Giải sgk Tin học 9 - KNTT
- Giải sgk Công nghệ 9 - KNTT
- Giải sgk Hoạt động trải nghiệm 9 - KNTT
- Giải sgk Âm nhạc 9 - KNTT
- Giải sgk Mĩ thuật 9 - KNTT
- Lớp 9 Chân trời sáng tạo
- Soạn văn 9 (hay nhất) - CTST
- Soạn văn 9 (ngắn nhất) - CTST
- Giải sgk Toán 9 - CTST
- Giải sgk Khoa học tự nhiên 9 - CTST
- Giải sgk Lịch Sử 9 - CTST
- Giải sgk Địa Lí 9 - CTST
- Giải sgk Giáo dục công dân 9 - CTST
- Giải sgk Tin học 9 - CTST
- Giải sgk Công nghệ 9 - CTST
- Giải sgk Hoạt động trải nghiệm 9 - CTST
- Giải sgk Âm nhạc 9 - CTST
- Giải sgk Mĩ thuật 9 - CTST
- Lớp 9 Cánh diều
- Soạn văn 9 Cánh diều (hay nhất)
- Soạn văn 9 Cánh diều (ngắn nhất)
- Giải sgk Toán 9 - Cánh diều
- Giải sgk Khoa học tự nhiên 9 - Cánh diều
- Giải sgk Lịch Sử 9 - Cánh diều
- Giải sgk Địa Lí 9 - Cánh diều
- Giải sgk Giáo dục công dân 9 - Cánh diều
- Giải sgk Tin học 9 - Cánh diều
- Giải sgk Công nghệ 9 - Cánh diều
- Giải sgk Hoạt động trải nghiệm 9 - Cánh diều
- Giải sgk Âm nhạc 9 - Cánh diều
- Giải sgk Mĩ thuật 9 - Cánh diều


Giải bài tập SGK & SBT
Tài liệu giáo viên
Sách
Khóa học
Thi online
Hỏi đáp

