Cách giải các bài toán về đường thẳng y = ax + b lớp 9 (cực hay, có đáp án)
Bài viết Cách giải các bài toán về đường thẳng y = ax + b lớp 9 với phương pháp giải chi tiết giúp học sinh ôn tập, biết cách làm bài tập Cách giải các bài toán về đường thẳng y = ax + b.
Cách giải các bài toán về đường thẳng y = ax + b lớp 9 (cực hay, có đáp án)
(199k) Xem Khóa học Toán 9 KNTTXem Khóa học Toán 9 CDXem Khóa học Toán 9 CTST
A. Phương pháp giải
Dạng 4.1: Tìm tọa độ giao điểm của parabol và đường thẳng
Bước 1: Viết phương trình hoành độ giao điểm của parabol và đường thẳng.
Bước 2: Giải phương trình bậc hai, tìm hoành độ giao điểm.
Bước 3: Tìm tung độ giao điểm (nếu có).
Bước 4: Kết luận.
Dạng 4.2. Biện luận số giao điểm của parabol và đường thẳng
Bước 1: Viết phương trình hoành độ giao điểm của parabol và đường thẳng.
Bước 2: Biện luận số giao điểm của parabol và đường thẳng theo số nghiệm của phương trình (số giao điểm của đường thẳng (d) và parabol (P) là số nghiệm của phương trình hoành độ giao điểm).
+) (d) cắt (P) tại hai điểm phân biệt ((d) và (P) có hai điểm chung phân biệt) ⇒ phương trình hoành độ giao điểm có hai nghiệm phân biệt (Δ > 0 hoặc Δ' > 0).
+) (d) tiếp xúc với (P) ((d) và (P) có một điểm chung) ⇒ phương trình hoành độ giao điểm có nghiệm kép (Δ = 0 hoặc Δ' = 0).
+) (d) và (P) không cắt nhau ((d) và (P) không có điểm chung) ⇒ phương trình hoành độ giao điểm vô nghiệm (Δ < 0 hoặc Δ' < 0).
Bước 3: Kết luận.
Dạng 4.3. Parabol cắt đường thẳng thỏa mãn điều kiện về tọa độ giao điểm
Cho parabol (P): y = ax2 (a ≠ 0) và đường thẳng y = mx + n.
Bước 1:Viết phương trình hoành độ giao điểm của parabol và đường thẳng.
ax2 = mx + n ⇔ ax2 - mx - n = 0 (*)
Bước 2:Xét điều kiện để parabol có điểm chung với đường thẳng:
- TH1: Parabol tiếp xúc với đường thẳng (có 1 điểm chung) ⇒ phương trình hoành độ giao điểm có nghiệm kép (Δ = 0 hoặc Δ' = 0).
- TH2: Parabol cắt đường thẳng tại hai điểm phân biệt (có 2 điểm chung phân biệt) ⇒ phương trình hoành độ giao điểm có hai nghiệm phân biệt (Δ > 0 hoặc Δ' > 0).
Bước 3:Xét điều kiện về tọa độ giao điểm:
+) Đường thẳng (d) cắt parabol (P) tại hai điểm có tung độ dương ⇒ a > 0.
+) Đường thẳng (d) cắt parabol (P) tại hai điểm có tung độ âm ⇒ a < 0.
+) Đường thẳng (d) cắt parabol (P) tại hai điểm có hoành độ cùng dấu ⇔ phương trình hoành độ giao điểm có hai nghiệm cùng dấu ⇒ hay a.n < 0.
+) Đường thẳng (d) cắt parabol (P) tại hai điểm có hoành độ dương ⇔ phương trình hoành độ giao điểm có hai nghiệm dương ⇒
+) Đường thẳng (d) cắt parabol (P) tại hai điểm có hoành độ âm ⇔ phương trình hoành độ giao điểm có hai nghiệm âm ⇒
+) Đường thẳng (d) cắt (P) tại hai điểm có hoành độ trái dấu ⇔ phương trình hoành độ giao điểm có hai nghiệm trái dấu ⇒ hay a.n > 0
+) Đường thẳng (d) cắt (P) tại hai điểm có tọa độ thỏa mãn biểu thức cho trước: Sử dụng hệ thức Vi-ét, kết hợp biến đổi biểu thức.
Bước 4: Kết luận.
Dạng 4.4. Parabol cắt đường thẳng thỏa mãn điều kiện về vị trí giao điểm
Cho parabol (P): y = ax2 (a ≠ 0) và đường thẳng y = mx + n.
Bước 1:Viết phương trình hoành độ giao điểm của parabol và đường thẳng.
ax2 = mx + n ⇔ ax2 - mx - n = 0 (*)
Bước 2:Xét điều kiện để parabol có điểm chung với đường thẳng:
- TH1: Parabol tiếp xúc với đường thẳng (có 1 điểm chung) ⇒ phương trình hoành độ giao điểm có nghiệm kép (Δ = 0 hoặc Δ' = 0).
- TH2: Parabol cắt đường thẳng tại hai điểm phân biệt (có 2 điểm chung phân biệt) ⇒ phương trình hoành độ giao điểm có hai nghiệm phân biệt (Δ > 0 hoặc Δ' > 0).
Bước 3:Xét điều kiện về vị trí giao điểm:
+) Đường thẳng (d) cắt parabol (P) tại hai điểm nằm phía trên trục hoành ⇒ a > 0.
+) Đường thẳng (d) cắt parabol (P) tại hai điểm nằm phía dưới trục hoành ⇒ a < 0.
+) Đường thẳng (d) cắt parabol (P) tại hai điểm nằm cùng phía so với trục tung ⇔ phương trình hoành độ giao điểm có nghiệm cùng dấu ⇒ hay a.n < 0.
+) Đường thẳng (d) cắt parabol (P) tại hai điểm cùng nằm phía bên phải trục tung ⇔ phương trình hoành độ giao điểm có nghiệm dương ⇒
+) Đường thẳng (d) cắt parabol (P) tại hai điểm cùng nằm phía bên trái trục tung ⇔ phương trình hoành độ giao điểm có nghiệm âm ⇒
+) Đường thẳng (d) cắt (P) tại hai điểm nằm về hai phía trục tung ⇔ phương trình hoành độ giao điểm có hai nghiệm trái dấu ⇒ hay a.n > 0.
+) Đường thẳng (d) cắt (P) tại hai điểm thỏa mãn điều kiện khác: Sử dụng hệ thức Vi-ét, kết hợp biến đổi biểu thức.
B. Các ví dụ điển hình
Ví dụ 1: Cho parabol (P): y = mx2 (m ≠ 0) và đường thẳng (d): y = 2(m + 1)x - m - 2. Tọa độ giao điểm của (P) và (d) là:
Lời giải
Chọn B
Ví dụ 2:Đường thẳng nào sau đây luôn cắt parabol (P): y = 3x2 tại hai điểm phân biệt với mọi m?
Lời giải
Chọn B
Ví dụ 3:Trong mặt phẳng tọa độ Oxy cho đường thẳng (d):y = mx - 2m + 3 và parabol (P): y = x2 Tìm m để (d) cắt (P) tại hai điểm phân biệt có hoành độ x1, x2 thỏa mãn x12x2 + x22x1 = 5.
Lời giải
Chọn A
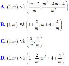
Ví dụ 4:Có bao nhiêu giá trị của m để parabol (P): y = -mx2 (m ≠ 0) và đường thẳng (d): y = x - m - 1 cắt nhau tại hai điểm phân biệt có hoành độ là các số nguyên và đều ở phía trên trục hoành.
Lời giải
Chọn D
C. Bài tập vận dụng
Bài 1: Cho parabol (P): y = x2 và đường thẳng (d): y = mx + 3 (với m là tham số, m ≠ 0) . Giá trị của m để (d) tiếp xúc với (P)
Lời giải:
Đáp án C
Bài 2: Cho hàm số y = -x2 có đồ thị là parabol (P) và hàm số y = m2 + 1 (với m là tham số). Khẳng định nào sau đây là đúng?
Lời giải:
Đáp án C
Bài 3: Đường thẳng nào sau đây cắt đồ thị hàm số tại hai điểm phân biệt?
Lời giải:
Đáp án A
Bài 4: Đường thẳng nào sau đây không có điểm chung với đồ thị của hàm số ?
Lời giải:
Đáp án B
Bài 5: Cho đường thẳng (d): y = 2(m - 2)x - 3 và parabol (P): . Tìm m để (d) tiếp xúc với (P).
Lời giải:
Đáp án A
Bài 6: Cho hàm số y = x2 có đồ thị là parabol (P) và đường thẳng (d): y = mx - m + 2. Tìm m để (d) cắt (P) tại hai điểm phân biệt có hoành độ x1; x2 mà x13 + x23 = 18.
Lời giải:
Đáp án C
Bài 7: Cho đường thẳng (d) có phương trình y = -x + 2 và parabol (P) có phương trình y = x2 Viết phương trình đường thẳng (d’) song song với (d) và tiếp xúc với (P) tại điểm có hoành độ bằng -1.
Lời giải:
Đáp án D
Bài 8: Đường thẳng nào sau đây tiếp xúc với parabol (P): y = -2x2 tại điểm (1; -2)?
Lời giải:
Đáp án A
Bài 9: Cho hàm số có đồ thị là parabol (P). Có bao nhiêu đường thẳng đi qua điểm và tiếp xúc với (P)?
Lời giải:
Đáp án B
Bài 10: Cho parabol (P): y = x2 và đường thẳng y = (2 -m)x + 8. Số giá trị của m để (P) và (d) cắt nhau tại hai điểm có hoành độ x1, x2 sao cho biểu thức Q = (x12 - 1)(x22 - 4) đạt giá trị lớn nhất là:
Lời giải:
Đáp án B
(199k) Xem Khóa học Toán 9 KNTTXem Khóa học Toán 9 CDXem Khóa học Toán 9 CTST
Xem thêm các dạng bài tập Toán lớp 9 chọn lọc, có đáp án hay khác:
- Cách tìm tọa độ giao điểm của parabol và đường thẳng cực hay, có đáp án
- Cách biện luận số giao điểm của đường thẳng và parabol cực hay, có đáp án
- Cách làm bài toán parabol cắt đường thẳng thỏa mãn điều kiện về tọa độ giao điểm cực hay, có đáp án
- Cách làm bài toán parabol cắt đường thẳng thỏa mãn điều kiện về vị trí giao điểm cực hay, có đáp án
- Cách giải phương trình bậc hai một ẩn cực hay, có đáp án
Tủ sách VIETJACK luyện thi vào 10 cho 2k11 (2026):
Đã có app VietJack trên điện thoại, giải bài tập SGK, SBT Soạn văn, Văn mẫu, Thi online, Bài giảng....miễn phí. Tải ngay ứng dụng trên Android và iOS.
Theo dõi chúng tôi miễn phí trên mạng xã hội facebook và youtube:Loạt bài Chuyên đề: Lý thuyết - Bài tập Toán lớp 9 Đại số và Hình học có đáp án có đầy đủ Lý thuyết và các dạng bài được biên soạn bám sát nội dung chương trình sgk Đại số 9 và Hình học 9.
Nếu thấy hay, hãy động viên và chia sẻ nhé! Các bình luận không phù hợp với nội quy bình luận trang web sẽ bị cấm bình luận vĩnh viễn.
- Giải Tiếng Anh 9 Global Success
- Giải sgk Tiếng Anh 9 Smart World
- Giải sgk Tiếng Anh 9 Friends plus
- Lớp 9 Kết nối tri thức
- Soạn văn 9 (hay nhất) - KNTT
- Soạn văn 9 (ngắn nhất) - KNTT
- Giải sgk Toán 9 - KNTT
- Giải sgk Khoa học tự nhiên 9 - KNTT
- Giải sgk Lịch Sử 9 - KNTT
- Giải sgk Địa Lí 9 - KNTT
- Giải sgk Giáo dục công dân 9 - KNTT
- Giải sgk Tin học 9 - KNTT
- Giải sgk Công nghệ 9 - KNTT
- Giải sgk Hoạt động trải nghiệm 9 - KNTT
- Giải sgk Âm nhạc 9 - KNTT
- Giải sgk Mĩ thuật 9 - KNTT
- Lớp 9 Chân trời sáng tạo
- Soạn văn 9 (hay nhất) - CTST
- Soạn văn 9 (ngắn nhất) - CTST
- Giải sgk Toán 9 - CTST
- Giải sgk Khoa học tự nhiên 9 - CTST
- Giải sgk Lịch Sử 9 - CTST
- Giải sgk Địa Lí 9 - CTST
- Giải sgk Giáo dục công dân 9 - CTST
- Giải sgk Tin học 9 - CTST
- Giải sgk Công nghệ 9 - CTST
- Giải sgk Hoạt động trải nghiệm 9 - CTST
- Giải sgk Âm nhạc 9 - CTST
- Giải sgk Mĩ thuật 9 - CTST
- Lớp 9 Cánh diều
- Soạn văn 9 Cánh diều (hay nhất)
- Soạn văn 9 Cánh diều (ngắn nhất)
- Giải sgk Toán 9 - Cánh diều
- Giải sgk Khoa học tự nhiên 9 - Cánh diều
- Giải sgk Lịch Sử 9 - Cánh diều
- Giải sgk Địa Lí 9 - Cánh diều
- Giải sgk Giáo dục công dân 9 - Cánh diều
- Giải sgk Tin học 9 - Cánh diều
- Giải sgk Công nghệ 9 - Cánh diều
- Giải sgk Hoạt động trải nghiệm 9 - Cánh diều
- Giải sgk Âm nhạc 9 - Cánh diều
- Giải sgk Mĩ thuật 9 - Cánh diều


Giải bài tập SGK & SBT
Tài liệu giáo viên
Sách
Khóa học
Thi online
Hỏi đáp

