Cách giải hệ phương trình 2 ẩn bậc hai lớp 9 (cực hay)
Bài viết Cách giải hệ phương trình 2 ẩn bậc hai lớp 9 với phương pháp giải chi tiết giúp học sinh ôn tập, biết cách làm bài tập Cách giải hệ phương trình 2 ẩn bậc hai.
Cách giải hệ phương trình 2 ẩn bậc hai lớp 9 (cực hay)
(199k) Xem Khóa học Toán 9 KNTTXem Khóa học Toán 9 CDXem Khóa học Toán 9 CTST
A. Phương pháp giải
Để giải hệ phương trình chứa 2 ẩn x và y gồm một phương trình bậc nhất và một phương trình bậc hai ta rút x hoặc y từ phương trình bậc nhất thế vào phương trình bậc hai
Ví dụ 1: giải hệ phương trình:
Giải
Từ phương trình (1) ⇒ y = 2x – 7(*). Thế vào phương trình (2) ta được:
Ví dụ 2: Giải hệ phương trình
Giải
Từ phương trình (2) ⇒ y = x + 1(*). Thế vào phương trình (1) ta được
Ví dụ 3: Cho hệ phương trình
a. Giải hệ với m = 3
b. Tìm m để hệ có nghiệm duy nhất
Giải
Từ phương trình (1) ⇒ y = x + 1. Thế vào phương trình (2) ta được:
a. Với m = 3 thì phương trình (*) trở thành: 3x2 – 2x = 0
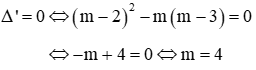
b. Hệ có nghiệm duy nhất khi (*) có nghiệm duy nhất
TH1: Nếu m = 0 thì phương trình (*): 4x – 3 = 0 (thỏa mãn)
TH2: Nếu m ≠ 0 thì (*) là phương trình bậc 2 . Khi đó (*) có nghiệm duy nhất khi
Vậy với m = 0 hoặc m = 4 thì hệ có nghiệm duy nhất
B. Bài tập
Câu 1: Cho hệ phương trình . Rút y từ phương trình (1) thế vào phương trình (2) ta được phương trình nào sau đây
A. x + 3 = 0
B. 2x2 + x + 3 = 0
C. -x + 3 = 0
D. –x2 + x + 3 = 0
Giải
Từ (1)⇒ y = 1 – x. Thế vào (2):
2t2 – 3t – 5 = 0
⇔ x2 + x - x2 + 3 = 0 ⇔ x + 3 = 0
Vậy đáp án đúng là A
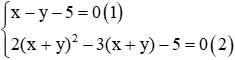
Câu 2: Cho hệ phương trình . Biết rằng hệ đã cho có 2 nghiệm (x1 ; y1) và (x2 ; y2), tính x1 + x2
Giải
Từ (1) ⇒ y = x – 5. Thế vào (2): 2(x + x – 5)2 - 3(x + x – 5) - 5 = 0
⇔ 2(2x - 5)2 - 3(2x - 5) - 5 = 0
Đặt t = 2x – 5. Phương trình trở thành: 2t2 – 3t – 5 = 0
Vậy đáp án đúng là C
Câu 3: Cho hệ phương trình . Biết rằng hệ đã cho có 2 nghiệm (x1 ; y1) và (x2 ; y2) trong đó x1 > x2 , tính x1 + y1
A. 1
B. 2
C. 3
D. 4
Giải
Vậy đáp án đúng là D
Câu 4: Cho hệ phương trình . Rút x từ phương trình (1) thế vào phương trình (2) ta được phương trình nào sau đây
A. y2 + 4 = 0
B. 3y2 + y - 3 = 0
C.-y2 - 4 = 0
D. y2 – 5y + 4 = 0
Giải
Từ (1) x = y – 2. Thế vào (2): (y - 2)2 - y = 0
⇔ y2 - 4y + 4 - y = 0 ⇔ y2 - 5y + 4 = 0
Vậy đáp án đúng là D
Câu 5: Cho hệ phương trình . Giá trị của m để hệ vô nghiệm là:
Giải
Biến đổi hệ đã cho về dạng:
Hệ vô nghiệm khi phương trình (*) vô nghiệm
Vậy đáp án đúng là B
Câu 6: Cho hệ phương trình . Giá trị của m để hệ có nghiệm duy nhất là:
Giải
Biến đổi hệ đã cho về dạng:
Hệ có nghiệm duy nhất khi phương trình (*) có nghiệm duy nhất
Vậy đáp án đúng là A
Câu 7: Cho hệ phương trình . Giá trị của m để hệ có hai nghiệm là:
Giải
Biến đổi hệ đã cho về dạng:
Hệ có 2 nghiệm khi phương trình (*) có 2 nghiệm
Vậy đáp án đúng là C
Câu 8: Cho hệ phương trình . Tìm m để hệ có hai nghiệm (x1 ; y1) và (x2 ; y2) sao cho
là:
Giải
Biến đổi hệ đã cho về dạng:
Hệ có 2 nghiệm khi phương trình (*) có 2 nghiệm
⇔ Δ' > 0 ⇔ (m - 1)2 - m2 + 2m + 3 > 0 ⇔ 4 > 0 (∀ m)
⇒ phương trình (*) luôn có 2 nghiệm : x1 = m + 1; x2 = m – 3
Với x1 = m + 1 ⇒ y1 = 1
Với x2 = m – 3 ⇒ y2 = -3
Vậy đáp án đúng là B
Câu 9: Cho hệ phương trình . Rút y từ phương trình (1) thế vào phương trình (2) ta được phương trình nào sau đây
A. 2x2 + 4x - 3 = 0
B. x2 – 10x - 2 = 0
C. 3x2 – 4x + 4 = 0
D. x2 – 5x + 1 = 0
Giải
Vậy đáp án đúng là B
Câu 10: Số nghiệm của hệ phương trình là
A. 1
B. 2
C. 3
D. 4
Giải
Từ (1)⇒ x = 1 – 3y. Thế vào (2): (1 – 3y)2 + y - 5 = 0
⇔ 9y2 - 6y + 1 + y - 5 = 0 ⇔ 9y2 - 5y - 4 = 0
Phương trình 9y2 – 5y – 4 = 0 có a + b + c = 9 – 5 – 4 = 0 nên có 2 nghiệm y = 1, y =
Vậy đáp án đúng là B
(199k) Xem Khóa học Toán 9 KNTTXem Khóa học Toán 9 CDXem Khóa học Toán 9 CTST
Xem thêm các dạng bài tập Toán lớp 9 chọn lọc, có đáp án hay khác:
- Cách giải các dạng toán giải phương trình bậc hai một ẩn cực hay
- Cách giải và biện luận phương trình bậc hai một ẩn cực hay
- Cách tìm m để hai phương trình có nghiệm chung cực hay
- Cách giải phương trình bậc nhất hai ẩn cực hay, chi tiết
Tủ sách VIETJACK luyện thi vào 10 cho 2k11 (2026):
Đã có app VietJack trên điện thoại, giải bài tập SGK, SBT Soạn văn, Văn mẫu, Thi online, Bài giảng....miễn phí. Tải ngay ứng dụng trên Android và iOS.
Theo dõi chúng tôi miễn phí trên mạng xã hội facebook và youtube:Loạt bài Chuyên đề: Lý thuyết - Bài tập Toán lớp 9 Đại số và Hình học có đáp án có đầy đủ Lý thuyết và các dạng bài được biên soạn bám sát nội dung chương trình sgk Đại số 9 và Hình học 9.
Nếu thấy hay, hãy động viên và chia sẻ nhé! Các bình luận không phù hợp với nội quy bình luận trang web sẽ bị cấm bình luận vĩnh viễn.
- Giải Tiếng Anh 9 Global Success
- Giải sgk Tiếng Anh 9 Smart World
- Giải sgk Tiếng Anh 9 Friends plus
- Lớp 9 Kết nối tri thức
- Soạn văn 9 (hay nhất) - KNTT
- Soạn văn 9 (ngắn nhất) - KNTT
- Giải sgk Toán 9 - KNTT
- Giải sgk Khoa học tự nhiên 9 - KNTT
- Giải sgk Lịch Sử 9 - KNTT
- Giải sgk Địa Lí 9 - KNTT
- Giải sgk Giáo dục công dân 9 - KNTT
- Giải sgk Tin học 9 - KNTT
- Giải sgk Công nghệ 9 - KNTT
- Giải sgk Hoạt động trải nghiệm 9 - KNTT
- Giải sgk Âm nhạc 9 - KNTT
- Giải sgk Mĩ thuật 9 - KNTT
- Lớp 9 Chân trời sáng tạo
- Soạn văn 9 (hay nhất) - CTST
- Soạn văn 9 (ngắn nhất) - CTST
- Giải sgk Toán 9 - CTST
- Giải sgk Khoa học tự nhiên 9 - CTST
- Giải sgk Lịch Sử 9 - CTST
- Giải sgk Địa Lí 9 - CTST
- Giải sgk Giáo dục công dân 9 - CTST
- Giải sgk Tin học 9 - CTST
- Giải sgk Công nghệ 9 - CTST
- Giải sgk Hoạt động trải nghiệm 9 - CTST
- Giải sgk Âm nhạc 9 - CTST
- Giải sgk Mĩ thuật 9 - CTST
- Lớp 9 Cánh diều
- Soạn văn 9 Cánh diều (hay nhất)
- Soạn văn 9 Cánh diều (ngắn nhất)
- Giải sgk Toán 9 - Cánh diều
- Giải sgk Khoa học tự nhiên 9 - Cánh diều
- Giải sgk Lịch Sử 9 - Cánh diều
- Giải sgk Địa Lí 9 - Cánh diều
- Giải sgk Giáo dục công dân 9 - Cánh diều
- Giải sgk Tin học 9 - Cánh diều
- Giải sgk Công nghệ 9 - Cánh diều
- Giải sgk Hoạt động trải nghiệm 9 - Cánh diều
- Giải sgk Âm nhạc 9 - Cánh diều
- Giải sgk Mĩ thuật 9 - Cánh diều


Giải bài tập SGK & SBT
Tài liệu giáo viên
Sách
Khóa học
Thi online
Hỏi đáp

