Cách xác định hệ số a của hàm số y = ax2 lớp 9 (hay, chi tiết)
Bài viết Cách xác định hệ số a của hàm số y = ax2 lớp 9 với phương pháp giải chi tiết giúp học sinh ôn tập, biết cách làm bài tập Cách xác định hệ số a của hàm số y = ax2.
Cách xác định hệ số a của hàm số y = ax2 hay, chi tiết
(199k) Xem Khóa học Toán 9 KNTTXem Khóa học Toán 9 CDXem Khóa học Toán 9 CTST
A. Phương pháp giải
Bài toán 1: Cho hàm số y = ax2 . Tìm a để đồ thị hàm số đi qua M(x0;y0)
Cách giải: Thay tọa độ của điểm M vào công thức của hàm số được phương trình y0 = ax02 (1). Giải phương trình (1) tìm a
Bài toán 2: Cho hàm số y = ax2 (trong đó a = f(m)). Tìm m để hàm số đã cho là hàm số bậc hai
Cách giải: Để hàm số y = ax2 là hàm số bậc hai thì hệ số a ≠ 0 hay f(m) ≠ 0. Giải điều kiện này ta tìm được m
Bài toán 3: Cho hàm số y = ax2 (trong đó a = f(m)). Tìm m để hàm số đã cho đồng biến hoặc nghịch biến
Cách giải: Ta sử dụng kết quả
+ Nếu a > 0 thì hàm số đồng biến khi x > 0, nghịch biến khi x < 0
+ Nếu a < 0 thì hàm số đồng biến khi x < 0, nghịch biến khi x > 0
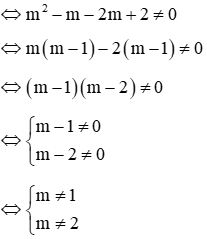
Ví dụ 1: Cho hàm số y = (m2 – m)x2. Tìm m để đồ thị hàm số đi qua điểm A(1;2)
Giải:
Đồ thị hàm số đi qua điểm A(1;2)
Vậy với m = -1 hoặc m = 2 thì đồ thị hàm số đi qua điểm A(1;2)
Ví dụ 2: Tìm m để hàm số y = (m + 2)x2 là hàm số bậc hai
Giải:
Để hàm số đã cho là hàm số bậc hai thì hệ số a = m + 2 ≠ 0 ⇔ m ≠ -2
Vậy với m ≠ -2 thì hàm số đã cho là hàm số bậc hai
Cho hàm số y = ax2. Tìm a để đồ thị hàm số đi qua điểm A(-2;8)
Giải:
Đồ thị hàm số đi qua điểm A(-2;8) ⇔ 8 = a(-2)2 ⇔ 8 = 4a ⇔ a = 2
Vậy với a = 2 thì đồ thị hàm số đi qua điểm A(-2;8)
Ví dụ 3: Tìm m để hàm số y = (m – 4)x2 đồng biến với mọi x > 0
Giải:
Hàm số y = (m – 4)x2 đồng biến với mọi x > 0 khi hệ số a = m – 4 > 0 hay m > 4
Vậy với m > 4 thì hàm số đồng biến với mọi x > 0
B. Bài tập
Câu 1: Cho hàm số y = (k2 – 2k + 3)x2. Tìm k để đồ thị hàm số đi qua điểm A(1;6)
A. k = 1, k = 2
B. k = -1, k = 3
C. k = 2, k = 5
D. k = 3, k = -4
Giải
Đồ thị hàm số đi qua điểm A(1;6)
Vậy với k = -1 hoặc k = 3 thì đồ thị hàm số đi qua điểm A(1;6)
Đáp án B
Câu 2: Cho hàm số y = (m + 1)x2. Tìm m để đồ thị hàm số đi qua điểm A(-4;32)
A. m = 1
B. m = 2
C. m = 3
D. m = 4
Giải
Đồ thị hàm số đi qua điểm A(-4;32)
Vậy với m = 1 thì đồ thị hàm số đi qua điểm A(-4;32) ⇔ 32 = (m + 1)(-4)2
⇔ 32 = (m + 1)16 ⇔ m + 1 = 2 ⇔ m = 1
Đáp án A
Câu 3: Cho hàm số y = ax2. Tìm a để đồ thị hàm số đi qua điểm
A. a = -1
B. a = 22
C. a = 3
D. a = 1
Giải
Đồ thị hàm số đi qua điểm
Vậy với a = 1 thì đồ thị hàm số đi qua điểm
Đáp án D
Câu 4: Tìm m để hàm số y = (m2 – 2)x2 là hàm số bậc hai
Giải
Để hàm số đã cho là hàm số bậc hai thì hệ số a = m2 - 2 ≠ 0 ⇔ m2 ≠ 2 ⇔
Vậy với thì hàm số đã cho là hàm số bậc hai.
Đáp án C
Câu 5: Tìm m để hàm số y = (m – 4)x2 nghịch biến với mọi x > 0
A. m = 5
B. m < 4
C. m < 10
D. m = ±9
Giải
Hàm số y = (m – 4)x2 nghịch biến với mọi x > 0 khi hệ số a = m – 4 < 0
hay m < 4
Vậy với m < 4 thì hàm số nghịch biến với mọi x > 0
Đáp án B
Câu 6: Tìm m để hàm số y = (m2 – m)x2 đồng biến với mọi x > 0
A. m < 0 hoặc m > 1
B. m < -1 hoặc m > 1
C. m < -2 hoặc m > 1
D. m < -6 hoặc m > 10
Giải
Hàm số y = (m2 – m)x2 đồng biến với mọi x > 0 khi hệ số a = m2 – m > 0
Vậy với m > 1 hoặc m < 0 thì hàm số đồng biến với mọi x > 0
Đáp án A
Câu 7: Tìm m để hàm số y = (m2 – m)x2 nghịch biến với mọi x > 0
A. -1 < m < 1
B. -2 < m < 1
C. 0 < m < 1
D. -3 < m < 4
Giải
Hàm số y = (m2 – m)x2 nghịch biến với mọi x > 0 khi hệ số a = m2 – m < 0
Vậy với 0 < m < 1 thì hàm số nghịch biến với mọi x > 0
Đáp án C
Câu 8: Tìm m để hàm số y = (m2 – 3m + 2)x2 là hàm số bậc hai
A. m ≠ -2 và m ≠ -1
B. m ≠ 2 và m ≠ -1
C. m ≠ 3 và m ≠ 1
D. m ≠ 2 và m ≠ 1
Giải
Để hàm số đã cho là hàm số bậc hai thì hệ số a = m2 – 3m + 2 ≠ 0
Vậy với m ≠ 2 và m≠ 1 thì hàm số đã cho là hàm số bậc hai
Đáp án D
Câu 9: Tìm a để hàm số y = (2a2 – 6a)x2 là hàm số bậc hai
A. a ≠ -7 và a ≠ -1
B. a ≠ 0 và a ≠ 3
C. a ≠ 5 và a ≠ -1
D. a ≠ 4 và a ≠ 1
Giải
Để hàm số đã cho là hàm số bậc hai thì 2a2 – 6a ≠ 0
Vậy với a ≠ 0 và a ≠ 3 thì hàm số đã cho là hàm số bậc hai
Đáp án B
C. Bài tập tự luyện
Bài 1. Cho hàm số y = – (a2 + a) x2. Tìm a để y = – 2 khi x = – 1.
Bài 2. Cho hàm số y = (2a + 1) x2. Tìm a để đồ thị hàm số:
a) Đi qua điểm ;
b) Đi qua điểm (x0, y0) là nghiệm của hệ phương trình .
Bài 3. Cho hàm số y = (a2 + 2a + 3)x2. Tìm các giá trị của a để hàm số luôn nghịch biến với mọi x < 0 và đồng biến với mọi x > 0.
Bài 4. Cho hàm số y = (– a2 – 2a – 3)x2. Tìm các giá trị của a khi thì
Bài 5. Cho hàm số . Tìm các giá trị của a để hàm số:
a) Là hàm bậc hai;
b) Nghịch biến với mọi x > 0;
c) Đồng biến với mọi x > 0.
(199k) Xem Khóa học Toán 9 KNTTXem Khóa học Toán 9 CDXem Khóa học Toán 9 CTST
Xem thêm các dạng bài tập Toán lớp 9 chọn lọc, có đáp án hay khác:
- Tính giá trị của hàm số bậc hai tại 1 điểm hay, chi tiết
- Cách tìm giao điểm của parabol P và đường thẳng hay, chi tiết
- Cách xác định các hệ số a, b, c của phương trình bậc hai một ẩn
- Phương pháp giải phương trình bậc hai một ẩn hay, chi tiết
- Cách giải các dạng toán giải phương trình bậc hai một ẩn cực hay
Tủ sách VIETJACK luyện thi vào 10 cho 2k11 (2026):
Đã có app VietJack trên điện thoại, giải bài tập SGK, SBT Soạn văn, Văn mẫu, Thi online, Bài giảng....miễn phí. Tải ngay ứng dụng trên Android và iOS.
Theo dõi chúng tôi miễn phí trên mạng xã hội facebook và youtube:Loạt bài Chuyên đề: Lý thuyết - Bài tập Toán lớp 9 Đại số và Hình học có đáp án có đầy đủ Lý thuyết và các dạng bài được biên soạn bám sát nội dung chương trình sgk Đại số 9 và Hình học 9.
Nếu thấy hay, hãy động viên và chia sẻ nhé! Các bình luận không phù hợp với nội quy bình luận trang web sẽ bị cấm bình luận vĩnh viễn.
- Giải Tiếng Anh 9 Global Success
- Giải sgk Tiếng Anh 9 Smart World
- Giải sgk Tiếng Anh 9 Friends plus
- Lớp 9 Kết nối tri thức
- Soạn văn 9 (hay nhất) - KNTT
- Soạn văn 9 (ngắn nhất) - KNTT
- Giải sgk Toán 9 - KNTT
- Giải sgk Khoa học tự nhiên 9 - KNTT
- Giải sgk Lịch Sử 9 - KNTT
- Giải sgk Địa Lí 9 - KNTT
- Giải sgk Giáo dục công dân 9 - KNTT
- Giải sgk Tin học 9 - KNTT
- Giải sgk Công nghệ 9 - KNTT
- Giải sgk Hoạt động trải nghiệm 9 - KNTT
- Giải sgk Âm nhạc 9 - KNTT
- Giải sgk Mĩ thuật 9 - KNTT
- Lớp 9 Chân trời sáng tạo
- Soạn văn 9 (hay nhất) - CTST
- Soạn văn 9 (ngắn nhất) - CTST
- Giải sgk Toán 9 - CTST
- Giải sgk Khoa học tự nhiên 9 - CTST
- Giải sgk Lịch Sử 9 - CTST
- Giải sgk Địa Lí 9 - CTST
- Giải sgk Giáo dục công dân 9 - CTST
- Giải sgk Tin học 9 - CTST
- Giải sgk Công nghệ 9 - CTST
- Giải sgk Hoạt động trải nghiệm 9 - CTST
- Giải sgk Âm nhạc 9 - CTST
- Giải sgk Mĩ thuật 9 - CTST
- Lớp 9 Cánh diều
- Soạn văn 9 Cánh diều (hay nhất)
- Soạn văn 9 Cánh diều (ngắn nhất)
- Giải sgk Toán 9 - Cánh diều
- Giải sgk Khoa học tự nhiên 9 - Cánh diều
- Giải sgk Lịch Sử 9 - Cánh diều
- Giải sgk Địa Lí 9 - Cánh diều
- Giải sgk Giáo dục công dân 9 - Cánh diều
- Giải sgk Tin học 9 - Cánh diều
- Giải sgk Công nghệ 9 - Cánh diều
- Giải sgk Hoạt động trải nghiệm 9 - Cánh diều
- Giải sgk Âm nhạc 9 - Cánh diều
- Giải sgk Mĩ thuật 9 - Cánh diều


Giải bài tập SGK & SBT
Tài liệu giáo viên
Sách
Khóa học
Thi online
Hỏi đáp

