Tìm m để phương trình trùng phương vô nghiệm, có 1, 2, 3, 4 nghiệm
Bài viết Tìm m để phương trình trùng phương vô nghiệm, có 1, 2, 3, 4 nghiệm lớp 9 với phương pháp giải chi tiết giúp học sinh ôn tập, biết cách làm bài tập Tìm m để phương trình trùng phương vô nghiệm, có 1, 2, 3, 4 nghiệm.
Tìm m để phương trình trùng phương vô nghiệm, có 1, 2, 3, 4 nghiệm
(199k) Xem Khóa học Toán 9 KNTTXem Khóa học Toán 9 CDXem Khóa học Toán 9 CTST
A. Phương pháp giải
Cho phương trình ax4 + bx2 + c = 0 (a ≠ 0) (1)
Đặt t = x2 (t ≥ 0), khi đó phương trình (1) trở thành: at2 + bt + c = 0 (2)
+ Để phương trình (1) vô nghiệm thì phương trình (2) vô nghiệm hoặc có nghiệm âm
+ Để phương trình (1) có 1 nghiệm thì phương trình (2) có nghiệm kép t = 0 hoặc có1 nghiệm âm và 1 nghiệm bằng 0
+ Để phương trình (1) có 2 nghiệm thì phương trình (2) có nghiệm kép dương hoặc có 2 nghiệm trái dấu
+ Để phương trình (1) có 3 nghiệm thì phương trình (2) có 1 nghiệm bằng 0 và 1 nghiệm dương
+ Để phương trình (1) có 4 nghiệm thì phương trình (2) có 2 nghiệm dương phân biệt
Ví dụ 1: Cho phương trình x4 – 2(m + 4)x2 + m2 = 0 (1). Tìm m để phương trình (1)
a. Có nghiệm
b. Có 1 nghiệm
c. Có 2 nghiệm phân biệt
d. Có 3 nghiệm phân biệt
e. Có 4 nghiệm phân biệt
Giải
Đặt t = x2, khi đó phương trình (1) trở thành: t2 – 2(m + 4)t + m2 = 0 (2)
a. Để phương trình (1) vô nghiệm thì phương trình (2) vô nghiệm hoặc có nghiệm âm
+ Xét TH1: Phương trình (2) vô nghiệm ⇔ Δ' < 0
+ Xét TH2: Phương trình (2) có nghiệm âm
Vậy với m < -2 thì phương trình (1) vô nghiệm
b. Để phương trình (1) có 1 nghiệm thì phương trình (2) có nghiệm kép t = 0 hoặc có1 nghiệm âm và 1 nghiệm bằng 0
Vì t = 0 là nghiệm của phương trình (2) nên thay t = 0 vào (2) ta được:
m2 = 0 ⇔ m = 0
Với m = 0 thì phương trình (2) có dạng:
Suy ra m = 0 không thỏa mãn
Vậy không có giá trị nào của m để phương trình (1) có 1 nghiệm
c. Để phương trình (1) có 2 nghiệm thì phương trình (2) có nghiệm kép dương hoặc có 2 nghiệm trái dấu
+ Xét TH1: phương trình (2) có nghiệm kép dương
∆ꞌ = 8m + 16 = 0 ⇔ m = -2
Với m = -2 thì phương trình (2) có nghiệm kép
Suy ra m = -2 thỏa mãn
+ Xét TH2: phương trình (2) có 2 nghiệm trái dấu ⇔ a.c < 0
⇔ m2 < 0 (bất phương trình vô nghiệm )
Vậy với m = -2 thì phương trình (1) có 2 nghiệm phân biệt
d. Để phương trình (1) có 3 nghiệm thì phương trình (2) có 1 nghiệm bằng 0 và 1 nghiệm dương
theo kết quả câu (b) ta có với m = 0 thì phương trình (2) có 2 nghiệm: t = 0, t = 8
Suy ra m = 0 thỏa mãn
Vậy với m = 0 thì phương trình (1) có 3 nghiệm phân biệt
e. Để phương trình (1) có 4 nghiệm thì phương trình (2) có 2 nghiệm dương phân biệt
Vậy với m > -2 và m ≠ 0 thì phương trình (1) có 4 nghiệm phân biệt
Ví dụ 2: Tìm m để phương trình (m – 1)x4 + 2(m – 3)x2 + m + 3 = 0 (1) vô nghiệm
Giải
Đặt t = x2 (t ≥ 0), khi đó phương trình (1) trở thành: (m – 1)t2 + 2(m – 3)t + m + 3 = 0 (2)
Nếu m = 1 thì phương trình (2) có dạng: -4t + 4 = 0 ⇔ t = 1
Với t = 1 ⇒ x2=1 ⇔ x=±1
Suy ra m = 1 không thỏa mãn
Nếu m ≠ 1 thì phương trình (2) là phương trình bậc hai
Để phương trình (1) vô nghiệm thì phương trình (2) vô nghiệm hoặc có nghiệm âm
+ Xét TH1: phương trình (2) vô nghiệm ⇔ Δ' < 0
+ Xét TH2: Phương trình (2) có nghiệm âm
Kết hợp điều kiện m ≠ 1 ta có với m < -3 hoặc m > 3/2 thì phương trình (1) vô nghiệm
B. Bài tập
Câu 1: Số giá trị của m để phương trình mx4 + 5x2 – 1 = 0 (1) có 2 nghiệm phân biệt là
A. 1
B. 2
C. 3
D. vô số
Giải
Đặt t = x2 (t ≥ 0), khi đó phương trình (1) trở thành: mt2 + 5t - 1 = 0 (2)
Nếu m = 0 thì phương trình (2) có dạng:
Suy ra m = 0 thỏa mãn
Nếu m ≠ 0 thì phương trình (2) là phương trình bậc hai
Để phương trình (1) có 2 nghiệm phân biệt thì phương trình (2) có nghiệm kép dương hoặc có 2 nghiệm trái dấu
+ Xét TH1: phương trình (2) có nghiệm kép dương
Với
thì phương trình (2) có nghiệm kép:
Suy ra thỏa mãn
+ Xét TH2: phương trình (2) có 2 nghiệm trái dấu ⇔ a.c < 0
⇔ -m < 0 ⇔ m > 0
Kết hợp điều kiện m ≠ 0 ta có với m = 0, , m > 0 thì phương trình (1) có 2 nghiệm phân biệt
Đáp án là D
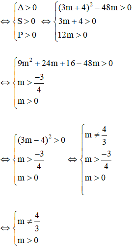
Câu 2: Tìm m để phương trình x4 – (3m + 4)x2 + 12m = 0 (1) có 4 nghiệm phân biệt là
Giải
Đặt t = x2 (t ≥ 0), khi đó phương trình (1) trở thành: t2 – (3m + 4)t + 12m = 0 (2)
Để phương trình (1) có 4 nghiệm phân biệt thì phương trình (2) có 2 nghiệm dương phân biệt
Vậy với m > 0 và m ≠ 4/3 thì phương trình (1) có 4 nghiệm phân biệt
Đáp án là B
Câu 3: Số giá trị của m để phương trình x4 – (m + 2)x2 + m = 0 (1) có 3 nghiệm phân biệt là
A. 1
B. 3
C. 5
D. vô số
Giải
Đặt t = x2 (t ≥ 0), khi đó phương trình (1) trở thành: t2 – (m + 2)t + m = 0 (2)
Để phương trình (1) có 3 nghiệm phân biệt thì phương trình (2) có 1 nghiệm bằng 0 và 1 nghiệm dương
Vì t = 0 là nghiệm của phương trình (2) nên thay t = 0 vào (2) ta được: m = 0
Với m = 0 thì phương trình (2) có dạng:
Suy ra m = 0 thỏa mãn
Vậy với m = 0 thì phương trình (1) có 3 nghiệm phân biệt
Đáp án là A
Câu 4: Tìm m để phương trình x4 + (1 – 2m)x2 + m2 - 1 = 0 (1) vô nghiệm
A. không tồn tại m
B. m < -1 hoặc m > 5/4
C. m > -1 hoặc m < -3
D. m > 2 hoặc m < -1
Giải
Đặt t = x2 (t ≥ 0), khi đó phương trình (1) trở thành: t2 + (1 – 2m)t + m2 -1 = 0 (2)
Để phương trình (1) vô nghiệm thì phương trình (2) vô nghiệm hoặc có nghiệm âm
+ Xét TH1: Phương trình (2) vô nghiệm ⇔ Δ < 0
+ Xét TH2: Phương trình (2) có nghiệm âm
Vậy với m < -1 hoặc m > 5/4 thì phương trình (1) vô nghiệm
Đáp án là B
Câu 5: Số giá trị của m để phương trình mx4 – 2(m – 1)x2 + m – 1 = 0 (1) có 1 nghiệm là
A. 0
B. 1
C. 2
D. vô số
Giải
Đặt t = x2 (t ≥ 0), khi đó phương trình (1) trở thành: mt2 – 2(m – 1)t + m - 1 = 0 (2)
Nếu m = 0 thì phương trình (2) có dạng: 2t - 1 = 0 ⇔ t = 1/2
Suy ra m = 0 không thỏa mãn đề bài
Nếu m ≠ 0 thì phương trình (2) là phương trình bậc hai
Để phương trình (1) có 1 nghiệm thì phương trình (2) có nghiệm kép t = 0 hoặc có1 nghiệm âm và 1 nghiệm bằng 0
Vì t = 0 là nghiệm của phương trình (2) nên thay t = 0 vào (2) ta được:
m - 1 = 0 ⇔ m = 1
Với m = 1 thì phương trình (2) có dạng: t2 = 0 ⇔ t = 0 ⇒ x2 = 0 ⇔ x = 0
Suy ra m = 1 thỏa mãn đề bài
Vậy với m = 1 thì phương trình (1) có 1 nghiệm
Đáp án là B
Câu 6: Tìm m để phương trình (m + 2)x4 + 3x2 - 1 = 0 (1) có 4 nghiệm phân biệt
Giải
Đặt t = x2 (t ≥ 0), khi đó phương trình (1) trở thành: (m + 2)t2 + 3t -1 = 0 (2)
Để phương trình (1) có 4 nghiệm phân biệt thì phương trình (2) là phương trình bậc hai có 2 nghiệm dương phân biệt
Vậy với thì phương trình (1) có 4 nghiệm phân biệt
Đáp án là C
Câu 7: Tìm m để phương trình (m - 2)x4 – 2(m + 1)x2 + m - 1 = 0 (1) có 3 nghiệm phân biệt
A. m = 1
B. m = -1
C. m = 0
D. không tồn tại m
Giải
Đặt t = x2 (t ≥ 0), khi đó phương trình (1) trở thành: (m - 2)t2 – 2(m + 1)t + m -1 = 0 (2)
Để phương trình (1) có 3 nghiệm phân biệt thì phương trình (2) phải là phương trình bậc hai có 2 nghiệm ,trong đó một nghiệm bằng 0 và một nghiệm dương
Vì t = 0 là nghiệm của phương trình (2) nên thay t = 0 vào (2) ta được:
m - 1 = 0 ⇔ m = 1
Với m = 1 thì phương trình (2) có dạng:
Suy ra m = 1 không thỏa mãn đề bài
Vậy không có giá trị nào của m để phương trình (1) có 3 nghiệm
Đáp án là D
(199k) Xem Khóa học Toán 9 KNTTXem Khóa học Toán 9 CDXem Khóa học Toán 9 CTST
Xem thêm các dạng bài tập Toán lớp 9 chọn lọc, có đáp án hay khác:
- Cách giải và biện luận phương trình chứa ẩn ở mẫu cực hay
- Cách giải phương trình bậc bốn bằng cách đặt t (dạng (x + a)(x + b)(x + c)(x + d) = 0)
- Cách giải phương trình bậc bốn bằng cách đặt t (dạng (x + a)4 + (x + b)4 = c)
- Cách giải phương trình bậc bốn dạng ax4 + bx3 + cx2 ± kbx + k2a = 0
Tủ sách VIETJACK luyện thi vào 10 cho 2k11 (2026):
Đã có app VietJack trên điện thoại, giải bài tập SGK, SBT Soạn văn, Văn mẫu, Thi online, Bài giảng....miễn phí. Tải ngay ứng dụng trên Android và iOS.
Theo dõi chúng tôi miễn phí trên mạng xã hội facebook và youtube:Loạt bài Chuyên đề: Lý thuyết - Bài tập Toán lớp 9 Đại số và Hình học có đáp án có đầy đủ Lý thuyết và các dạng bài được biên soạn bám sát nội dung chương trình sgk Đại số 9 và Hình học 9.
Nếu thấy hay, hãy động viên và chia sẻ nhé! Các bình luận không phù hợp với nội quy bình luận trang web sẽ bị cấm bình luận vĩnh viễn.
- Giải Tiếng Anh 9 Global Success
- Giải sgk Tiếng Anh 9 Smart World
- Giải sgk Tiếng Anh 9 Friends plus
- Lớp 9 Kết nối tri thức
- Soạn văn 9 (hay nhất) - KNTT
- Soạn văn 9 (ngắn nhất) - KNTT
- Giải sgk Toán 9 - KNTT
- Giải sgk Khoa học tự nhiên 9 - KNTT
- Giải sgk Lịch Sử 9 - KNTT
- Giải sgk Địa Lí 9 - KNTT
- Giải sgk Giáo dục công dân 9 - KNTT
- Giải sgk Tin học 9 - KNTT
- Giải sgk Công nghệ 9 - KNTT
- Giải sgk Hoạt động trải nghiệm 9 - KNTT
- Giải sgk Âm nhạc 9 - KNTT
- Giải sgk Mĩ thuật 9 - KNTT
- Lớp 9 Chân trời sáng tạo
- Soạn văn 9 (hay nhất) - CTST
- Soạn văn 9 (ngắn nhất) - CTST
- Giải sgk Toán 9 - CTST
- Giải sgk Khoa học tự nhiên 9 - CTST
- Giải sgk Lịch Sử 9 - CTST
- Giải sgk Địa Lí 9 - CTST
- Giải sgk Giáo dục công dân 9 - CTST
- Giải sgk Tin học 9 - CTST
- Giải sgk Công nghệ 9 - CTST
- Giải sgk Hoạt động trải nghiệm 9 - CTST
- Giải sgk Âm nhạc 9 - CTST
- Giải sgk Mĩ thuật 9 - CTST
- Lớp 9 Cánh diều
- Soạn văn 9 Cánh diều (hay nhất)
- Soạn văn 9 Cánh diều (ngắn nhất)
- Giải sgk Toán 9 - Cánh diều
- Giải sgk Khoa học tự nhiên 9 - Cánh diều
- Giải sgk Lịch Sử 9 - Cánh diều
- Giải sgk Địa Lí 9 - Cánh diều
- Giải sgk Giáo dục công dân 9 - Cánh diều
- Giải sgk Tin học 9 - Cánh diều
- Giải sgk Công nghệ 9 - Cánh diều
- Giải sgk Hoạt động trải nghiệm 9 - Cánh diều
- Giải sgk Âm nhạc 9 - Cánh diều
- Giải sgk Mĩ thuật 9 - Cánh diều


Giải bài tập SGK & SBT
Tài liệu giáo viên
Sách
Khóa học
Thi online
Hỏi đáp

