Tổng hợp lý thuyết Hàm số bậc nhất (hay, chi tiết)
Bài viết Tổng hợp lý thuyết Hàm số bậc nhất hay, chi tiết giúp bạn nắm vững kiến thức trọng tâm Chương 2 Đại Số 9.
Tổng hợp lý thuyết Hàm số bậc nhất (hay, chi tiết)
I. CHỦ ĐỀ 1: KHÁI NIỆM HÀM SỐ
1. Khái niệm hàm số
• Nếu đại lượng y phụ thuộc vào đại lượng thay đổi x sao cho với mỗi giá trị của x, ta luôn xác định được chỉ một giá trị tương ứng của y thì y được gọi là hàm số của x, x được gọi là biến số.
• Hàm số có thể cho bằng bảng hoặc công thức.
• Khi x thay đổi mà y luôn nhận một giá trị không đổi thì hàm số y được gọi là hàm hằng.
2. Đồ thị hàm số
Đồ thị của hàm số y = f(x) là tập hợp tất cả các điểm biểu diễn các cặp giá trị tương ứng (x; f(x)) trên mặt phẳng tọa độ Oxy.
3. Hàm số đồng biến, nghịch biến.
Cho hàm số y = f(x) xác định trên tập số thực R Với x1, x2 ∈ R ta có:
• Nếu x1 < x2 mà f(x1) < f(x2) thì hàm số đồng biến.
• Nếu x1 < x2 mà f(x1) > f(x2) thì hàm số nghịch biến.
II. CHỦ ĐỀ 2: HÀM BẬC NHẤT. ĐỒ THỊ HÀM SỐ y = ax + b (a ≠ 0)
1. Định nghĩa
• Hàm số bậc nhất là hàm số được cho bởi công thức y = ax + b trong đó a, b là các số cho trước và a ≠ 0
• Đặc biệt, khi b = 0 thì hàm số bậc nhất trở thành hàm số y = ax , biểu thị tương quan tỉ lệ thuận giữa y và x.
2. Tính chất.
Hàm số bậc nhất y = ax + b xác định với mọi giá trị x ∈ R và có tính chất:
a) Đồng biến trên R, khi a > 0.
b) Nghịch biến trên R, khi a < 0.
3. Nhận xét về đồ thị hàm số y = ax + b (a ≠ 0) .
• Đồ thị hàm số y = ax (a ≠ 0) là một đường thẳng đi qua gốc tọa độ mà ta gọi là đường thẳng y = ax. Đường thẳng y = ax nằm ở góc phần tư thứ I và thứ III khi a > 0 ; nằm ở góc phần tư thứ II và thứ IV khi a < 0 .
• Đồ thị hàm số y = ax + b (a ≠ 0) là một đường thẳng:
• Cắt trục tung tại điểm có tung độ bằng b.
• Song song với đường thẳng y = ax nếu b ≠ 0 , và trùng với đường thẳng y = ax nếu b = 0
4. Cách vẽ đồ thị hàm số y = ax + b (a ≠ 0) .
• Bước 1: Cho x = 0 thì y = b , ta được điểm P(0; b) thuộc trục tung Oy.
Cho y = 0 thì x = -b/a ta được điểm Q(-b/a; 0) thuộc trục hoành
• Bước 2: Vẽ đường thẳng đi qua hai điểm P và Q ta được đồ thị hàm số y = ax + b (a ≠ 0) .
5. Kiến thức mở rộng
Trong mặt phẳng toạ độ, cho hai điểm A(x1; y2) ; B(x2; y2) ta có:
•
• M(x; y) là trung điểm của AB
• A đối xứng với B qua trục hoành
• A đối xứng với B qua trục tung
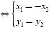
• A đối xứng với B qua gốc O
• A đối xứng với B qua đường thẳng y = x
• A đối xứng với B qua đường thẳng y = -x
III. CHỦ ĐỀ 3. ĐƯỜNG THẲNG SONG SONG VÀ ĐƯỜNG THẲNG CẮT NHAU. HỆ SỐ GÓC CỦA ĐƯỜNG THẲNG y = ax + b (a ≠ 0)
1. Đường thẳng song song, đường thẳng cắt nhau.
Cho hai đường thẳng (d1 ): y = ax + b (a ≠ 0); (d2): y = a'x + b' (a' ≠ 0)
• Khi a ≠ 0 và b = b’ thì hai đường thẳng có cùng tung độ gốc, do đó chúng cắt nhau tại 1 điểm trên trục tung có tung độ là b.
2. Hệ số góc của đường thẳng y = ax + b (a ≠ 0)
* Cho đường thẳng y = ax + b (a ≠ 0) thì a được gọi là hệ số góc của đường thẳng.
* Tính chất
• Khi a > 0 thì góc tạo bởi đường thẳng y = ax + b và trục Ox là góc nhọn.Hệ số a càng lớn thì góc càng lớn nhưng vẫn nhỏ hơn 90°.
• Khi a < 0 thì góc tạo bởi đường thẳng y = ax + b và trục Ox là góc tù. Hệ số a càng lớn thì góc càng lớn nhưng vẫn nhỏ hơn 180°.
3. Kiến thức bổ sung
Cho hai đường thẳng (d1): y = ax + b (a ≠ 0); (d2): y = a'x + b' (a' ≠ 0) .
• (d1) ⊥ (d2) ⇔ a.a' = -1
• Nếu (d1) cắt (d2) thì hoành độ giao điểm là nghiệm của phương trình ax + b = a'x + b'
B. Bài tập tự luận
Câu 1: Cho hai đường thẳng (d1): y = x - 2 và (d2): y = 2 - x
a) Vẽ hai đường thẳng trên cùng trục
b) Tìm tọa độ giao điểm của (d1), (d2)
c) Vẽ đồ thị hàm số y = |x - 2|
d) Biện luận số nghiệm của phương trình m = |x - 2|
Lời giải:
a) Vẽ (d1):
+ Cho x = 0 ⇒ y = -2
+ Cho y = 0 thì x = 2.
Đồ thị hàm số y = x - 2 là đường thẳng đi qua 2 điểm (0; -2) và (2; 0)
*Vẽ (d2): y = 2 - x
Cho x = 0 thì y = 2
Cho y = 0 thì x = 2
Đồ thị hàm số y = 2 – x là đường thẳng đi qua 2 điểm (0; 2) và (2; 0).
b) Hoành độ giao điểm của 2 đường thẳng đã cho là nghiệm phương trình :
x - 2 = 2 - x ⇔ 2x = 4 ⇔ x = 2
Với x = 2 ⇒ y = 2 - 2 = 0
Vậy tọa độ giao điểm là M(2; 0)
c) Ta có:
Nhận xét: y = x - 2 nếu x ≥ 2 là nửa đường thẳng nằm trên nửa mặt phẳng bờ là đường thẳng x = 2
Kết luận: Đồ thị y = |x - 2| như hình vẽ
d) Xét hai đồ thị: y = m, y = |x - 2|
Số nghiệm của phương trình m = |x - 2| là số giao điểm của đồ thị y = m và y = |x - 2|
+ Với m < 0 đường thẳng y = m không cắt đồ thị hàm số y = |x - 2| . Như vậy phương trình đã cho vô nghiệm.
+ Với m = 0 đường thẳng y = m cắt đồ thị hàm số y = |x - 2| tại một điểm duy nhất. Như vậy phương trình đã cho có 1 nghiệm duy nhất.
+ Với m > 0 đường thẳng y = m cắt đồ thị hàm số y = |x - 2| tại hai điểm phân biệt. Như vậy phương trình đã cho có hai nghiệm phân biệt.
Câu 2: Xác định các hệ số a và b để đường thẳng y = ax + b cắt trục tung tại điểm có tung độ bằng -2 và song song với đường thẳng OA, trong đó O là gốc tọa độ và điểm A(2; 1)
Lời giải:
Đường thẳng OA đi qua O nên có dạng: y = ax (a ≠ 0) .
Điểm A nằm trên đường thẳng OA nên: 1 = a.2 ⇒ a = 1/2
Vậy phương trình đường thẳng OA là y = 1/2
Vì đường thẳng y = ax + b song song với đường thẳng OA nên a = 1/2
Mặt khác đường thẳng đó đi qua điểm có tọa độ là (0; -2)
Khi đó ta có: -2 = 0.1/2 + b ⇒ b = -2
Vậy giá trị cần tìm là a = 1/2; b = -2
Câu 3: Lập phương trình đường thẳng đi qua M(-1; -2) và thỏa mãn:
Lời giải:
Câu 4: Cho hai hàm số y = (m + 3)x - 1 (1) và y = (1 - 2m)x + 5 (2)
Với giá trị nào của m thì đồ thị hai hàm số là hai đường thẳng
a) Song song
b) Cắt nhau
c) Trùng nhau
Lời giải:
Xét (1) ta có: a = m + 3, b = -1
Xét (2) ta có: a' = 1 - 2m, b' = 5
Câu 5: Cho hàm số y = (m - 1)x + m (d)
a) Tìm điểm M cố định mà đồ thị đi qua với mọi m
b) Viết đường thẳng đi qua điểm M và gốc tọa độ
c) Tìm m để khoảng cách từ O đến (d) là lớn nhất.
Lời giải:
a) Gọi M(x0; y0) là điểm cố định mà đồ thị hàm số đi qua với mọi m
b) Vì đường thẳng OM đi qua gốc tọa độ O
Nên phương trình có dạng : y = ax (a ≠ 0)
Điểm M(-1; 1) thuộc đường thẳng OM nên
1 = a.(-1) nên a = -1
Vậy phương trình đường thẳng OM là y = -x
c) Gọi H là hình chiếu của O lên (d)
Ta có: OH ≤ OM (không đổi)
Vậy để OH đạt giá trị lớn nhất thì đường thẳng (d) vuông góc với đường thẳng OM
⇔ (m - 1)(-1) = -1 ⇔ m = 2
Câu 6: Cho đường thẳng y = mx + m - 1 (m là tham số) (1)
a) Chứng minh rằng đường thẳng (1) luôn đi qua một điểm cố định với mọi giá trị của m
b) Tìm giá trị của m để đường thẳng (1) tạo với các trục tọa độ một tam giác có diện tích bằng 2.
Lời giải:
a) Điều kiện để đường thẳng (1) đi qua điểm N(x0; y0) với mọi m là:
Vậy đường thẳng (1) luôn đi qua điểm cố định là N(-1; -1)
b) Gọi A là giao điểm của đường thẳng (1) với trục tung
Với x = 0 ⇒ y = m - 1 ⇒ A(0; m - 1) . Do đó: OA = |m - 1|
Gọi B là giao điểm của đường thẳng (1) với trục hoành
Với
Ta có:
Có 3 đường thẳng đi qua điểm N tạo với các trục tọa độ một tam giác có diện tích bằng 2
Câu 7: Tìm m để hai đường thẳng cắt nhau tại một điểm thuộc góc phần tư thứ nhất; góc phần tư thứ hai với mx + 2y = 5 (1) và 2x + y = 1 (2)
Lời giải:
Hai đường thẳng cắt nhau khi và chỉ khi
+ Hai đường thẳng cắt nhau tại một điểm thuộc góc phần tư thứ nhất khi:
+ Hai đường thẳng cắt nhau tại một điểm thuộc góc phần tư thứ hai khi:
Câu 8: Vẽ đồ thị các hàm số sau:
a) y = 2|x - 2| - 3
b) y = |x - 1| + |x - 3|
Lời giải:
b) Ta có: y = |x - 1| + |x - 3|
Bảng xét dấu:
Dựa vào bảng trên ta có:
Bảng giá trị:
Đồ thị hàm số:
Câu 9: Tìm m để ba đường thẳng sau đồng quy:
(d1 ):y = 2x - 3, (d2): y = x - 1, (d3): y = (m - 1)x + 2m
Lời giải:
Hoành độ giao điểm của (d1); (d2) là nghiệm của hệ phương trình:
Câu 10: Cho điểm B(4; 1). Đường thẳng (d) đi qua B cắt Ox, Oy theo thứ tự tại I(a; 0), J(0; b) với a, b > 0
a) Viết phương trình đường thẳng d để diện tích Δ OIJ nhỏ nhất
b) Tìm b để (OI + OJ) nhỏ nhất
Lời giải:
a) Đường thẳng d đi qua B cắt Ox, Oy tại I (a; 0) và J(0; b) nên phương trình đường thẳng d:
b) Ta có:
Xem thêm lý thuyết và các dạng bài tập Toán lớp 9 có lời giải hay khác:
- Lý thuyết Một số hệ thức về cạnh và đường cao trong tam giác vuông (hay, chi tiết)
- Trắc nghiệm Một số hệ thức về cạnh và đường cao trong tam giác vuông
- Lý thuyết Tỉ số lượng giác của góc nhọn (hay, chi tiết)
- Trắc nghiệm Tỉ số lượng giác của góc nhọn
- Lý thuyết Một số hệ thức về cạnh và góc trong tam giác vuông (hay, chi tiết)
- Trắc nghiệm Một số hệ thức về cạnh và góc trong tam giác vuông
Tủ sách VIETJACK luyện thi vào 10 cho 2k11 (2026):
Đã có app VietJack trên điện thoại, giải bài tập SGK, SBT Soạn văn, Văn mẫu, Thi online, Bài giảng....miễn phí. Tải ngay ứng dụng trên Android và iOS.
Theo dõi chúng tôi miễn phí trên mạng xã hội facebook và youtube:Loạt bài Chuyên đề: Lý thuyết - Bài tập Toán lớp 9 Đại số và Hình học có đáp án có đầy đủ Lý thuyết và các dạng bài được biên soạn bám sát nội dung chương trình sgk Đại số 9 và Hình học 9.
Nếu thấy hay, hãy động viên và chia sẻ nhé! Các bình luận không phù hợp với nội quy bình luận trang web sẽ bị cấm bình luận vĩnh viễn.
- Giải Tiếng Anh 9 Global Success
- Giải sgk Tiếng Anh 9 Smart World
- Giải sgk Tiếng Anh 9 Friends plus
- Lớp 9 Kết nối tri thức
- Soạn văn 9 (hay nhất) - KNTT
- Soạn văn 9 (ngắn nhất) - KNTT
- Giải sgk Toán 9 - KNTT
- Giải sgk Khoa học tự nhiên 9 - KNTT
- Giải sgk Lịch Sử 9 - KNTT
- Giải sgk Địa Lí 9 - KNTT
- Giải sgk Giáo dục công dân 9 - KNTT
- Giải sgk Tin học 9 - KNTT
- Giải sgk Công nghệ 9 - KNTT
- Giải sgk Hoạt động trải nghiệm 9 - KNTT
- Giải sgk Âm nhạc 9 - KNTT
- Giải sgk Mĩ thuật 9 - KNTT
- Lớp 9 Chân trời sáng tạo
- Soạn văn 9 (hay nhất) - CTST
- Soạn văn 9 (ngắn nhất) - CTST
- Giải sgk Toán 9 - CTST
- Giải sgk Khoa học tự nhiên 9 - CTST
- Giải sgk Lịch Sử 9 - CTST
- Giải sgk Địa Lí 9 - CTST
- Giải sgk Giáo dục công dân 9 - CTST
- Giải sgk Tin học 9 - CTST
- Giải sgk Công nghệ 9 - CTST
- Giải sgk Hoạt động trải nghiệm 9 - CTST
- Giải sgk Âm nhạc 9 - CTST
- Giải sgk Mĩ thuật 9 - CTST
- Lớp 9 Cánh diều
- Soạn văn 9 Cánh diều (hay nhất)
- Soạn văn 9 Cánh diều (ngắn nhất)
- Giải sgk Toán 9 - Cánh diều
- Giải sgk Khoa học tự nhiên 9 - Cánh diều
- Giải sgk Lịch Sử 9 - Cánh diều
- Giải sgk Địa Lí 9 - Cánh diều
- Giải sgk Giáo dục công dân 9 - Cánh diều
- Giải sgk Tin học 9 - Cánh diều
- Giải sgk Công nghệ 9 - Cánh diều
- Giải sgk Hoạt động trải nghiệm 9 - Cánh diều
- Giải sgk Âm nhạc 9 - Cánh diều
- Giải sgk Mĩ thuật 9 - Cánh diều


Giải bài tập SGK & SBT
Tài liệu giáo viên
Sách
Khóa học
Thi online
Hỏi đáp

