Lý thuyết Hệ số góc của đường thẳng y = ax + b lớp 9 (hay, chi tiết)
Bài viết Lý thuyết Hệ số góc của đường thẳng y = ax + b lớp 9 hay, chi tiết giúp bạn nắm vững kiến thức trọng tâm Hệ số góc của đường thẳng y = ax + b.
Lý thuyết Hệ số góc của đường thẳng y = ax + b lớp 9 (hay, chi tiết)
(199k) Xem Khóa học Toán 9 KNTTXem Khóa học Toán 9 CDXem Khóa học Toán 9 CTST
Bài giảng: Bài 5: Hệ số góc của đường thẳng y = ax + b - Cô Phạm Thị Huệ Chi (Giáo viên VietJack)
A. Lý thuyết
I. KHÁI NIỆM
1. Góc tạo bởi đường thằng y = ax + b (a ≠ 0) với trục Ox.
Gọi A là giao điểm của đường thẳng y = ax + b với trục Ox và M là một điểm thuộc đường thẳng và có tung độ dương. Khi đó ∠MAx là góc tạo bởi đường thẳng y = ax + b với trục Ox.
2. Hệ số góc của đường thẳng y = ax + b (a ≠ 0).
* Các đường thẳng có cùng hệ số a ( a là hệ số của x) thì tạo với trục Ox các góc bằng nhau.
Khi a > 0, góc tạo bởi đường thẳng y = ax + b và trục Ox là góc nhọn và nếu a càng lớn thì góc đó càng lớn nhưng vẫn nhỏ hơn 90°.
Khi a < 0 góc tạo bởi đường thẳng y = ax + b và trục Ox là góc tù và nếu a càng lớn thì góc đó càng lớn nhưng vẫn nhỏ hơn 180°.
Như vậy, góc tạo bởi đường thẳng y = ax + b và trục Ox phụ thuộc vào a.
Người ta gọi a là hệ số góc của đường thẳng y = ax + b.
Chú ý:
Đường thẳng y = ax + b cắt 2 trục tọa độ tại nên
+ Khi a > 0, ta có:
Từ đó dùng bảng lượng giác hoặc máy tính bỏ túi suy ra số đo của ∠MAx.
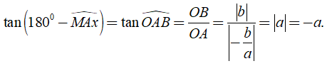
+ Khi a < 0 ta có:
Từ đó tìm số đo của góc (180° - ∠MAx), sau đó suy ra ∠MAx.
+ Các đường thẳng có cùng hệ số a (a là hệ số của x) thì tạo với trục Ox các góc bằng nhau.
+ Khi b = 0, ta có hàm số y = ax. Trong trường hợp này, ta có thể nói a là hệ số góc của đường thẳng y = ax
II. VÍ DỤ CỤ THỂ
Câu 1: Cho hàm số y = x + 2. Tính góc tạo bởi đường thẳng y = x + 2 với trục Ox (làm tròn đến phút)
Lời giải:
Vẽ đồ thị hàm số y = x + 2
Cho x = 0 thì y = 2 ta được điểm A (0; 2)
Cho y = 0 thì x = -2 ta được điểm B (-2; 0).
Đồ thị hàm số đã cho đi qua hai điểm A(0; 2); B(-2; 0).
Gọi góc tạo bởi đường thẳng y = x + 2 với trục Ox là α, ta có ∠ABO = α Xét tam giác vuông OAB , ta có (1 chính là hệ số góc của đường thẳng y = x + 2)
Khi đó số đo góc α là α = 45°
Câu 2: Cho (d): y = ax + b . Tìm a, b biết (d) đi qua gốc tọa độ và song song với (d') trong đó (d') có hệ số góc bằng 1.
Giải:
Theo bài ta, (d) đi qua gốc tọa độ nên ta có b = 0
(d) song song với (d') và (d') có hệ số góc bằng 1 nên a = 1
Vậy a = 1, b = 0.
B. Bài tập tự luận
Câu 1: Cho các điểm và nằm trên đường thẳng có hệ số góc là . Tìm giá trị của m
Lời giải:
Đường thẳng d có hệ số góc là m có nên có dạng: (d): y = mx + n
A và B là hai điểm thuộc đường thẳng d nên ta có:
Câu 2: Chứng minh rằng nếu một đường thẳng đi qua điểm A(x1; y1) và có hệ số góc bằng a thì đường thẳng đó có phương trình là y - y1 = a(x - x1)
Lời giải:
Đường thẳng d có hệ số góc là a nên có dạng là (d):y = ax + b (d) đi qua điểm A(x1; y1) nên y1 = ax1 + b ⇒ b = y1 - ax1 Do đó: (d):y = ax + (y1 - ax1 ) hay (d): y - y1 = a(x - x1 ) (đpcm)
C. Bài tập tự luyện
Bài 1. Đường thẳng y = 2(m + 1)x – 5m – 8 đi qua A(3; – 5) có hệ số góc bằng bao nhiêu?
Bài 2. Tính hệ số góc của đường thẳng d: y = (2m – 4)x + 5, biết nó song song với đường thẳng d’: 2x – y – 3 = 0. Vẽ đường thẳng d tìm được.
Bài 3. Tính hệ số góc của đường thẳng d: y = (3 – m)x + 2, biết nó vuông góc với đường thẳng d’: x – 2y – 6 = 0. Vẽ đường thẳng d tìm được.
Bài 4. Tìm hệ số góc của đường thẳng d biết:
a) d đi qua gốc tọa độ O và đi qua điểm A(1; 3);
b) d đi qua hai điểm M(4; 5) và N(1; – 1).
Bài 5. Tìm hệ số góc của đường thẳng d biết:
a) d đi qua gốc tọa độ O và đi qua điểm K(;3);
b) d đi qua giao điểm A của hai đường thẳng y = 3 – x, y = 2x và đi qua điểm E(– 1; 3).
(199k) Xem Khóa học Toán 9 KNTTXem Khóa học Toán 9 CDXem Khóa học Toán 9 CTST
Xem thêm lý thuyết và các dạng bài tập Toán lớp 9 có lời giải hay khác:
- Tổng hợp lý thuyết Hàm số bậc nhất (hay, chi tiết)
- 35+ Bài tập trắc nghiệm Hàm số bậc nhất (có đáp án)
- Lý thuyết Một số hệ thức về cạnh và đường cao trong tam giác vuông (hay, chi tiết)
- Trắc nghiệm Một số hệ thức về cạnh và đường cao trong tam giác vuông
- Lý thuyết Tỉ số lượng giác của góc nhọn (hay, chi tiết)
- Trắc nghiệm Tỉ số lượng giác của góc nhọn
Tủ sách VIETJACK luyện thi vào 10 cho 2k11 (2026):
Đã có app VietJack trên điện thoại, giải bài tập SGK, SBT Soạn văn, Văn mẫu, Thi online, Bài giảng....miễn phí. Tải ngay ứng dụng trên Android và iOS.
Theo dõi chúng tôi miễn phí trên mạng xã hội facebook và youtube:Loạt bài Chuyên đề: Lý thuyết - Bài tập Toán lớp 9 Đại số và Hình học có đáp án có đầy đủ Lý thuyết và các dạng bài được biên soạn bám sát nội dung chương trình sgk Đại số 9 và Hình học 9.
Nếu thấy hay, hãy động viên và chia sẻ nhé! Các bình luận không phù hợp với nội quy bình luận trang web sẽ bị cấm bình luận vĩnh viễn.
- Giải Tiếng Anh 9 Global Success
- Giải sgk Tiếng Anh 9 Smart World
- Giải sgk Tiếng Anh 9 Friends plus
- Lớp 9 Kết nối tri thức
- Soạn văn 9 (hay nhất) - KNTT
- Soạn văn 9 (ngắn nhất) - KNTT
- Giải sgk Toán 9 - KNTT
- Giải sgk Khoa học tự nhiên 9 - KNTT
- Giải sgk Lịch Sử 9 - KNTT
- Giải sgk Địa Lí 9 - KNTT
- Giải sgk Giáo dục công dân 9 - KNTT
- Giải sgk Tin học 9 - KNTT
- Giải sgk Công nghệ 9 - KNTT
- Giải sgk Hoạt động trải nghiệm 9 - KNTT
- Giải sgk Âm nhạc 9 - KNTT
- Giải sgk Mĩ thuật 9 - KNTT
- Lớp 9 Chân trời sáng tạo
- Soạn văn 9 (hay nhất) - CTST
- Soạn văn 9 (ngắn nhất) - CTST
- Giải sgk Toán 9 - CTST
- Giải sgk Khoa học tự nhiên 9 - CTST
- Giải sgk Lịch Sử 9 - CTST
- Giải sgk Địa Lí 9 - CTST
- Giải sgk Giáo dục công dân 9 - CTST
- Giải sgk Tin học 9 - CTST
- Giải sgk Công nghệ 9 - CTST
- Giải sgk Hoạt động trải nghiệm 9 - CTST
- Giải sgk Âm nhạc 9 - CTST
- Giải sgk Mĩ thuật 9 - CTST
- Lớp 9 Cánh diều
- Soạn văn 9 Cánh diều (hay nhất)
- Soạn văn 9 Cánh diều (ngắn nhất)
- Giải sgk Toán 9 - Cánh diều
- Giải sgk Khoa học tự nhiên 9 - Cánh diều
- Giải sgk Lịch Sử 9 - Cánh diều
- Giải sgk Địa Lí 9 - Cánh diều
- Giải sgk Giáo dục công dân 9 - Cánh diều
- Giải sgk Tin học 9 - Cánh diều
- Giải sgk Công nghệ 9 - Cánh diều
- Giải sgk Hoạt động trải nghiệm 9 - Cánh diều
- Giải sgk Âm nhạc 9 - Cánh diều
- Giải sgk Mĩ thuật 9 - Cánh diều


Giải bài tập SGK & SBT
Tài liệu giáo viên
Sách
Khóa học
Thi online
Hỏi đáp

