Tổng hợp lý thuyết Hàm số y = ax^2; Phương trình bậc hai một ẩn (hay, chi tiết)
Bài viết Tổng hợp lý thuyết Hàm số y = ax2; Phương trình bậc hai một ẩn hay, chi tiết giúp bạn nắm vững kiến thức trọng tâm Hàm số y = ax2; Phương trình bậc hai một ẩn.
Tổng hợp lý thuyết Hàm số y = ax2; Phương trình bậc hai một ẩn (hay, chi tiết)
1. Hàm số y = ax2 (a ≠ 0)
Hàm số y = ax2 (a ≠ 0) : Hàm số xác định với mọi số thực x
Tính chất biến thiên:
+ Nếu a > 0 thì hàm số đồng biến khi x > 0, nghịch biến khi x < 0.
+ Nếu a < 0 thì hàm đồng biến khi x < 0, nghịch biến khi x > 0.
Đồ thị hàm số là một đường Parabol nhận gốc tọa độ O làm đỉnh, nhận trục tung làm trục đối xứng. Khi a > 0 thì Parabol có bề lõm quay lên trên, khi a < 0 thì Parabol có bề lõm quay xuống dưới.
2. Phương trình bậc hai một ẩn
Phương trình bậc hai một ẩn là phương trình có dạng: ax2 + bx + c = 0. Trong đó x là ẩn số; a, b, c là những số cho trước gọi là các hệ số và a ≠ 0.
Đối với phương trình ax2 + bx + c = 0 (a ≠ 0) và biệt thức Δ = b2 - 4ac.
+ Nếu Δ > 0 thì phương trình có hai nghiệm phân biệt
+ Nếu Δ = 0 thì phương trình có nghiệm kép là
+ Nếu Δ < 0 thì phương trình vô nghiệm.
Đối với phương trình ax2 + bx + c = 0 (a ≠ 0) và b = 2b'; Δ' = b'2 - ac.
+ Nếu Δ' > 0, phương trình có hai nghiệm phân biệt
+ Nếu Δ' = 0, phương tình có nghiệm kép là
+ Nếu Δ' < 0, phương trình đã cho vô nghiệm.
3. Định lý Vi – ét và ứng dụng
Định lý Viet: Nếu x1, x2 là hai nghiệm của phương trình
ax2 + bx + c = 0, (a ≠ 0) thì
Chú ý: Trước khi sử dụng định lý Viet, chúng ta cần kiểm tra điều kiện phương trình có nghiệm, nghĩa là Δ ≥ 0.
Một số ứng dụng cơ bản của định lý Viet
+ Nhẩm nghiệm của một phương trình bậc hai:
Nếu a + b + c = 0 thì phương trình có hai nghiệm là x1 = 1; x2 = c/a.
Nếu a - b + c = 0 thì phương trình có hai nghiệm là x1 = -1; x2 = -c/a.
+ Tính giá trị của biểu thức g(x1, x2) trong đó g(x1, x2) là biểu thức đối xứng giữa hai nghiệm x1, x2 của phương trình (*):
Bước 1: Kiểm tra điều kiện Δ ≥ 0, sau đó áp dụng định lý Viet.
Bước 2: Biểu diễn biểu thức g(x1, x2) theo S = x1 + x2, P = x1.x2 từ đó tính được g(x1, x2).
Một số biểu thức đối xứng giữa hai nghiệm thường gặp:
+ Lập phương trình bậc hai có hai nghiệm là x1, x2 cho trước:
⋅ Bước 1: Tính S = x1 + x2; P = x1.x2.
⋅ Bước 2: Phương trình bậc hai nhận hai nghiệm x1, x2 là X2 - S.X + P = 0.
4. Phương trình quy về phương trình bậc hai
a) Phương trình trùng phương
Phương trình trùng phương là phương trình có dạng ax4 + bx2 + c = 0 (a ≠ 0)
Giải phương trình ax4 + bx2 + c = 0 (a ≠ 0)
+ Đặt ẩn phụ x2 = t, t ≥ 0
+ Giải phương trình ẩn phụ mới: at2 + bt + c = 0
+ Với mỗi giá trị tìm được của t, lại giải phương trình x2 = t.
b) Phương trình chứa ẩn ở mẫu
Khi giải phương trình chứa ẩn ở mẫu thức, ta làm như sau:
+ Bước 1: Tìm điều kiện xác định của phương trình
+ Bước 2: Quy đồng mẫu thức hai vế rồi khử mẫu thức
+ Bước 3: Giải phương trình vừa nhận được
+ Bước 4: Trong các giá trị tìm được của ẩn, loại các giá trị không thỏa mãn điều kiện xác định, các giá trị thỏa mãn điều kiện xác định là nghiệm của phương trình đã cho.
B. Bài tập tự luận
Câu 1: Biết đồ thị của hàm số , (a ≠ 0) đi qua điểm M (3; -6) . Hãy xác định giá trị của a
Lời giải:
Câu 2: Cho hàm số y = 2x2 có đồ thị là (P). Tìm trên (P) các điểm có tung độ bằng 4, vẽ đồ thị (P).
Lời giải:
Thay y = 4 ta có 4 = 2x2 ⇔ x2 = 2 ⇔ x = ± √2
Vậy các điểm cần tìm là (√2; 4) và (-√2; 4) .
Bảng giá trị
| x | -2 | -1 | 0 | 1 | 2 |
| y = 2x2 | 8 | 2 | 0 | 2 | 8 |
Đồ thị
Câu 3: Tìm hàm số y = ax2 biết đồ thị của nó đi qua điểm A(-1; 2) Với hàm số tìm được hãy tìm các điểm trên đồ thị có tung độ là 8.
Lời giải:
+ Ta có đồ thị hàm số y = ax2 đi qua điểm A(-1; 2) nên ta có:
2 = a.(-1)2 ⇔ a = 2
Vậy hàm số cần tìm là y = ax2
+ Các điểm trên đồ thị có tung độ là 8.
Gọi điểm cần tìm là M(x0; y0)
Ta có: y0 = 8 ⇒ 8 = 2.x02 ⇔ x02 = ±2
Vậy các điểm cần tìm trên đồ thị có tung độ là 8 là: M(-2; 8); M(2; 8)
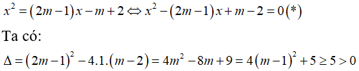
Câu 4: Cho Parabol (P): y = x2 và đường thẳng d: (2m - 1)x - m + 2 (m là tham số)
a) Chứng minh rằng với mọi m đường thẳng d luôn cắt (P) tại hai điểm phân biệt.
b) Tìm các giá trị của m để đường thẳng d luôn cắt (P) tại hai điểm phân biệt A(x1; y1), B(x2; y2) thỏa x1y1 + x2y2 .
Lời giải:
a) Phương trình hoành độ giao điểm
Do đó, phương trình (*) luôn có 2 nghiệm phân biệt với mọi m.
Vậy Parabol luông cắt đường thẳng tại hai điểm phân biệt.
b) Vì x1, x2 là nghiệm của phương trình (*) nên.
Câu 5: Cho Parabol (P): y = x2 và đường thẳng (d): y = 4x + 9 .
a) Vẽ đồ thị (P)
b) Viết phương trình đường thẳng (d1) biết (d1) song song với đường thẳng (d) và (d1) tiếp xúc (P)
Lời giải:
a) Vẽ đồ thị (P): y = x2
| x | -2 | -1 | 0 | 1 | 2 |
| y 4 | 1 | 0 | 1 | 4> |
Ta có đồ thị hàm số
Câu 6: Cho parabol (P): y = x2 và đường thẳng (d): y = -2ax - 4a (với a là tham số )
a) Tìm tọa độ giao điểm của (d) và (P) khi a = - 1/2 .
b) Tìm tất cả các giá trị của a để đường thẳng (d) cắt (P) taị hai điểm phân biệt có hoành độ x1; x2 thỏa mãn |x1| + |x2| = 3 .
Lời giải:
a) Phương trình hoành độ (d) và (P) là x2 = -2ax - 4a
x2 + 2ax + 4a = 0
Khi a = - 1/2 thì phương trình trở thành x2 - x - 2 = 0
Có a - b + c = 0 nên phương trình có 2 nghiệm là x = -1; x = 2
* Với x = - 1 thì y = 1 ta được điểm A(-1; 1)
* Với x = 2 thì y = 4 ta được điểm B( 2; 4 ).
Vậy giao điểm cần tìm là: A(-1; 1); B(2; 4)
b) Phương trình hoành độ (d) và (P) là x2 + 2ax + 4a = 0 (*)
để đường thẳng (d) cắt (P) tại hai điểm phân biệt thì phương trình (*) phải có 2 nghiệm phân biệt
Câu 7: Cho hai hàm số y = x2 và y = mx + 4, với m là tham số.
a) Khi m = 3 , tìm tọa độ các giao điểm của hai đồ thị hàm số trên.
b) Chứng minh rằng với mọi giá trị m , đồ thị của hai hàm số đã cho luôn cắt nhau tại hai điểm phân biệt A1(x1; y1) và A2(x2; y2) Tìm tất cả các giá trị của m sao cho (y1)2 + (y2)2 = 72 .
Lời giải:
a) Phương trình hoành độ giao điểm của y = x2 và y = mx + 4 là x2 - mx - 4 = 0 (1)
Thay m = 3 vào phương trình (1) ta có: x2 - 3x - 4 = 0
Ta có: a - b + c = 1 - (-3) + (-4) = 0
Vậy phương trình x2 - 3x - 4 = 0 có hai nghiệm x = -1; x = 4
Với x = -1 ⇒ y = 1 ⇒ A(-1; 1)
Với x = 4 ⇒ ⇒ y = 16 ⇒ B(4; 16)
Vậy với m = 3 thì hai đồ thị hàm số giao nhau tại 2 điểm A(-1; 1) và B(4; 16) .
b) Ta có số giao điểm của hai đồ thị hàm số đã cho là số nghiệm của phương trình (1)
Phương trình (1) có: Δ = m2 - 4.(-4) = m2 + 16 > 0 ∀ m ∈ R
Do đó (1) luôn có hai nghiệm phân biệt x1; x2
Vậy đồ thị của hai hàm số đã cho luôn cắt nhau tại hai điểm phân biệt A1(x1; y1) và A2(x2; y2) với mọi m
Câu 8: Trong mặt phẳng tọa độ Oxy cho parabol (P) có phương trình và hai điểm A, B thuộc (P) có hoành độ lần lượt là xA = -1, xB = 2
a) Tìm tọa độ của hai điểm A, B.
b) Viết phương trình đường thẳng (d) đi qua hai điểm A, B.
c) Tính khoảng cách từ điểm O (gốc tọa độ) tới đường thẳng (d) .
Lời giải:
a) Vì A, B thuộc (P) nên:
b) Gọi phương trình của đường thẳng (d) là y = ã + b .
Ta có hệ phương tình:
c) (d) cắt trục Oy tại điểm C(0; 1) và cắt trục Ox tại điểm D(-2; 0) và OD = 2 .
Gọi h là khoảng cách từ O tới (d)
Áp dụng hệ thức về cạnh và đường cao trong tam giác vuông OCD , ta có:
Câu 9: Cho parabol (P): y = 2x2 và đường thẳng (d): y = x + 1.
a) Vẽ đồ thị của (P) và (d) trên cùng hệ trục tọa độ.
b) Bằng phép tính, xác định tọa độ giao điểm A và B của (P) và (d) Tính độ dài đoạn thẳng AB
Lời giải:
a) Vẽ đồ thị: (như hình vẽ bên)
b) Tọa độ giao điểm của (P) và (d)
Phương trình hoành độ giao điểm: 2x2 - x - 1 = 0
Ta có a + b + c nên phương trình có hai nghiệm - 1/2 ; 1
Suy ra tọa độ hai giao điểm là: A(-1/2; 1/2) và B(1; 2)
b) Tính độ dài
Câu 10: Một người đi xe đạp từ A đến B cách nhau 24km. Khi đi từ B trở về A người đó tăng vận tốc thêm 4km/h so với lúc đi, nên thời gian về ít hơn thời gian đi là 30 phút. Tính vận tốc của xe đạp khi đi từ A đến B.
Lời giải:
Đổi 30 phút 1/2 giờ.
Gọi vận tốc của xe đạp khi đi từ A đến B là x (km/h, ). Thời gian xe đi từ A đến B là 24/x (giờ).
Đi từ B về A, người đó đi với vận tốc x + 4 (km/h). Thời gian xe đi từ B về A là (giờ) Do thời gian về ít hơn thời gian đi là 30 phút nên ta có phương trình:
Do thời gian về ít hơn thời gian đi là 30 phút nên ta có phương trình:
Giải phương trình
Đối chiếu với điều kiện ta có vận tốc của xe đạp đi từ A đến B là 12km/h.
Câu 11: Quãng đường AB dài 120 km. Lúc 7h sang một xe máy đi từ A đến B. Đi được 3/4 quãng đường xe bị hỏng phải dừng lại 10 phút để sửa rồi đi tiếp với vận tốc kém vận tốc lúc đầu 10km/h. Biết xe máy đến B lúc 11h40 phút trưa cùng ngày. Giả sử vận tốc xe máy trên 3/4 quãng đường đầu không đổi và vận tốc xe máy trên 1/4 quãng đường sau cũng không đổi. Hỏi xe máy bị hỏng lúc mấy giờ?
Lời giải:
Gọi vận tốc trên 3/4 quãng đường ban đầu là x (km/h), điều kiện: x > 10
Thì vận tốc trên 1/4 quãng đường sau là x - 10 (km/h)
3/4 quãng đường đầu dài 3/4 . 120 = 90 ( km)
Thời gian trên 3/4 quãng đường ban đầu là 90/x (h)
Thời gian đi trên 1/4 quãng đường sau là: (h)
Thời gian đi cả hai quãng đường là: 11 giờ 40 phút – 7 giờ - 10 phút = 4 giờ 30 phút = 9/2 giờ.
Nên ta có phương trình:
Giải phương trình ta được x = 30 thỏa mãn điều kiện
Do đó thời gian đi trên 3/4 quãng đường ban đầu 90/30 = 3 (giờ)
Vậy xe hỏng lúc: 7 + 3 = 10 giờ.
Câu 12: Một công nhân theo kế hoạch phải làm 85 sản phẩm trong một khoảng thời gian dự định. Nhưng do yêu cầu đột xuất, người công nhân đó phải làm 96 sản phẩm. Do người công nhân mỗi giờ đã làm tăng thêm 3 sản phẩm nên người đó đã hoàn thành công việc sớm hơn so với thời gian dự định là 20 phút. Tính xem theo dự định mỗi giờ người đó phải làm bao nhiêu sản phẩm, biết rằng mỗi giờ chỉ làm được không quá 20 sản phẩm.
Lời giải:
Gọi số sản phẩm công nhân dự định làm trong một giờ là x (0 < x ≤ 20) .
Thời gian dự kiến người đó làm xong 85 sản phẩm là 85/x (giờ)
Thực tế mỗi giờ làm tăng thêm 3 sản phẩm nên số sản phẩm làm được mỗi giờ là x + 3 .
Do đó 96 sản phẩm được làm trong (giờ)
Thời gian hoàn thành công việc thực tế sớm hơn so với dự định là 20 phút = 1/3 giờ nên ta có phương trình
Giải phương trình ta được x = 15 hoặc x = -51
Đối chiếu điều kiện ta loại nghiệm .
Theo dự định mỗi giờ người đó phải làm 15 sản phẩm.
Xem thêm lý thuyết và các dạng bài tập Toán lớp 9 có lời giải hay khác:
- Lý thuyết Góc ở tâm - Số đo cung (hay, chi tiết)
- Trắc nghiệm Góc ở tâm - Số đo cung
- Lý thuyết Liên hệ giữa cung và dây (hay, chi tiết)
- Trắc nghiệm Liên hệ giữa cung và dây
- Lý thuyết Góc nội tiếp (hay, chi tiết)
- Trắc nghiệm Góc nội tiếp
Tủ sách VIETJACK luyện thi vào 10 cho 2k11 (2026):
Đã có app VietJack trên điện thoại, giải bài tập SGK, SBT Soạn văn, Văn mẫu, Thi online, Bài giảng....miễn phí. Tải ngay ứng dụng trên Android và iOS.
Theo dõi chúng tôi miễn phí trên mạng xã hội facebook và youtube:Loạt bài Chuyên đề: Lý thuyết - Bài tập Toán lớp 9 Đại số và Hình học có đáp án có đầy đủ Lý thuyết và các dạng bài được biên soạn bám sát nội dung chương trình sgk Đại số 9 và Hình học 9.
Nếu thấy hay, hãy động viên và chia sẻ nhé! Các bình luận không phù hợp với nội quy bình luận trang web sẽ bị cấm bình luận vĩnh viễn.
- Giải Tiếng Anh 9 Global Success
- Giải sgk Tiếng Anh 9 Smart World
- Giải sgk Tiếng Anh 9 Friends plus
- Lớp 9 Kết nối tri thức
- Soạn văn 9 (hay nhất) - KNTT
- Soạn văn 9 (ngắn nhất) - KNTT
- Giải sgk Toán 9 - KNTT
- Giải sgk Khoa học tự nhiên 9 - KNTT
- Giải sgk Lịch Sử 9 - KNTT
- Giải sgk Địa Lí 9 - KNTT
- Giải sgk Giáo dục công dân 9 - KNTT
- Giải sgk Tin học 9 - KNTT
- Giải sgk Công nghệ 9 - KNTT
- Giải sgk Hoạt động trải nghiệm 9 - KNTT
- Giải sgk Âm nhạc 9 - KNTT
- Giải sgk Mĩ thuật 9 - KNTT
- Lớp 9 Chân trời sáng tạo
- Soạn văn 9 (hay nhất) - CTST
- Soạn văn 9 (ngắn nhất) - CTST
- Giải sgk Toán 9 - CTST
- Giải sgk Khoa học tự nhiên 9 - CTST
- Giải sgk Lịch Sử 9 - CTST
- Giải sgk Địa Lí 9 - CTST
- Giải sgk Giáo dục công dân 9 - CTST
- Giải sgk Tin học 9 - CTST
- Giải sgk Công nghệ 9 - CTST
- Giải sgk Hoạt động trải nghiệm 9 - CTST
- Giải sgk Âm nhạc 9 - CTST
- Giải sgk Mĩ thuật 9 - CTST
- Lớp 9 Cánh diều
- Soạn văn 9 Cánh diều (hay nhất)
- Soạn văn 9 Cánh diều (ngắn nhất)
- Giải sgk Toán 9 - Cánh diều
- Giải sgk Khoa học tự nhiên 9 - Cánh diều
- Giải sgk Lịch Sử 9 - Cánh diều
- Giải sgk Địa Lí 9 - Cánh diều
- Giải sgk Giáo dục công dân 9 - Cánh diều
- Giải sgk Tin học 9 - Cánh diều
- Giải sgk Công nghệ 9 - Cánh diều
- Giải sgk Hoạt động trải nghiệm 9 - Cánh diều
- Giải sgk Âm nhạc 9 - Cánh diều
- Giải sgk Mĩ thuật 9 - Cánh diều


Giải bài tập SGK & SBT
Tài liệu giáo viên
Sách
Khóa học
Thi online
Hỏi đáp

