Đề kiểm tra Vật Lí 12 Chân trời sáng tạo Chương 3 (có lời giải)
Đề kiểm tra Vật Lí 12 Chân trời sáng tạo Chương 3: Từ trường có đáp án chi tiết đầy đủ các mức độ sẽ giúp học sinh lớp 12 ôn luyện Vật Lí 12.
Đề kiểm tra Vật Lí 12 Chân trời sáng tạo Chương 3 (có lời giải)
Chỉ từ 200k mua trọn bộ Bài tập ôn tập + Đề kiểm tra Vật Lí 12 Chân trời sáng tạo theo chương theo cấu trúc mới bản word có lời giải chi tiết, trình bày đẹp mắt, dễ dàng chỉnh sửa:
- B1: gửi phí vào tk:
1133836868- CT TNHH DAU TU VA DV GD VIETJACK - Ngân hàng MB (QR) - B2: Nhắn tin tới Zalo VietJack Official - nhấn vào đây để thông báo và nhận đề thi
PHẦN I. Câu trắc nghiệm nhiều phương án lựa chọn. Mỗi câu hỏi thí sinh chỉ chọn một phương án.
Câu 1. Điện áp tức thời giữa hai đầu đoạn mạch điện xoay chiều là . Giá trị hiệu dụng của điện áp đó là
A. 311V
B. 220V
C. 156V
D. 440V
Câu 2. Phát biểu nào sau đây là sai?
A. Xung quanh dòng điện có từ trường.
B. Tương tác giữa hai dòng điện là tương tác từ.
C. Xung quanh điện tích chuyển động có cả điện trường và từ trường.
D. Các đường sức từ là các đường cong hở.
Câu 3. Trường hợp nào sau đây không có từ trường?
A. Xung quanh một quả cầu mang điện.
B. Xung quanh một dòng điện.
C. Ở gần một chùm tia electron.
D. Giữa hai cực của nam châm hình chữ U.
Câu 4. Phát biểu nào sau đây là sai?
Lực từ tác dụng lên một đoạn dây có dòng điện đặt trong từ trường đều tỉ lệ với
A. cường độ dòng điện trong đoạn dây.
B. chiều dài của đoạn dây.
C. góc hợp bởi đoạn dây và đường sức từ.
D. cảm ứng từ tại điểm đặt đoạn dây.
Câu 5. Một đoạn dây dẫn dài 10 cm đặt trong từ trường đều và vuông góc với vectơ cảm ứng từ. Dòng điện qua dây có cường độ 2 A. Lực từ tác dụng lên đoạn dây đó là 0,004 N. Cảm ứng từ trong đoạn dây có độ lớn là
A. 0,02 T.
B. 0,2 T.
C. 0,04 T.
D. 0,002 T.
Câu 6. Một đoạn dây dài đặt trong từ trường đều có cảm ứng từ B = 0,5 T hợp với đường cảm ứng từ một góc 30°. Dòng điện qua dây có cường độ 0,5 A thì lực từ tác dụng lên đoạn dây là 4.10-2 N. Chiều dài đoạn dây dẫn là
A. 32 cm.
B. 3,2 cm.
C. 16 cm.
D. 1,6 cm.
Câu 7. Một đoạn dây được uốn gập thành khung dây có dạng tam giác AMN vuông góc tại A. Đặt khung dây vào một từ trường đều có các vectơ cảm ứng từ nằm trong mặt phẳng ngang, có chiều từ trái qua phải như hình vẽ. Coi khung dây nằm cố định trong mặt phẳng hình vẽ và AM = 8 cm, AN = 6 cm, B = 3.10-3 T, I = 5 A. Lực từ tác dụng lên cạnh MN
A. nằm trong mặt phẳng hình vẽ, vuông góc với MN và có độ lớn là 0,6 mN.
B. vuông góc với hình vẽ, hướng vào trong mặt phẳng hình vẽ và có độ lớn 1,2 mN.
C. vuông góc với hình vẽ, hướng ra ngoài mặt phẳng hình vẽ và có độ lớn 1,2 mN.
D. nằm trong mặt phẳng hình vẽ, có hướng đi lên và có độ lớn 0,6 mN.
Câu 8. Giữa hai cực của một nam châm hình chữ U có một từ trường đều. Vectơ cảm ứng từ thẳng đứng, có độ lớn B = 0,5 T. Người ta treo một đoạn dây dẫn thẳng dài l = 5cm, khối lượng m = 5 g nằm ngang trong từ trường bằng hai dây dẫn mảnh nhẹ. Tìm góc lệch α của dây treo so với phương thẳng đứng khi cho dòng điện I = 2 A chạy qua dây. Biết g = 10 m/s2.
A. 30°.
B. 60°.
C. 45°.
D. 90°.
Câu 9. Treo đoạn dây dẫn có chiều dài l = 10 cm; khối lượng m = 5 g bằng hai dây mảnh, nhẹ sao cho dây dẫn nằm ngang. Biết cảm ứng từ của từ trường hướng thẳng đứng lên trên (hình bên), có độ lớn B = 0,05 T và dòng điện chạy qua dây dẫn là Nếu lấy g = 10 m/s2 thì góc lệch a của dây treo so với phương thẳng đứng là
A. 60°.
B. 30°.
C. 15°.
D. 45°.
Câu 10. Một thanh nhôm MN, khối lượng 0,20 kg chuyển động trong từ trường đều và luôn tiếp xúc với hai thanh ray đặt song song cách nhau 1,6 m nằm ngang, nằm trong mặt phẳng hình vẽ. Từ trường ngược hướng với trọng lực, có độ lớn B = 0,05 T. Hệ số ma sát giữa thanh nhôm MN và hai thanh ray là m = 0,40. Biết thanh nhôm chuyển đều và điện trở của mạch không đổi. Lấy g = 10 m/s2. Bỏ qua hiện tượng cảm ứng điện từ. Thanh nhôm chuyển động về phía
A. gần nguồn và có I = 10A.
B. xa nguồn và có I = 10 A.
C. gần nguồn và có I = 5 A.
D. xa nguồn và có I = 5 A.
Câu 11. Một thanh nhôm MN, khối lượng 0,20 kg chuyển động trong từ trường đều và luôn tiếp xúc với hai thanh ray đặt song song cách nhau 1,6 m nằm ngang, nằm trong mặt phẳng hình vẽ. Từ trường ngược hướng với trọng lực, có độ lớn B = 0,05 T. Hệ số ma sát trượt giữa thanh nhôm MN và hai thanh ray là m = 0,40. Lấy g = 10 m/s2. Bỏ qua hiện tượng cảm ứng điện từ. Khi cho dòng điện 12 A chạy qua thanh thì nó chuyển động nhanh dần đều với gia tốc bằng
A. 0,3 m/s2.
B. 0,4 m/s2.
C. 0,8 m/s2.
D. 0,5 m/s2.
Câu 12. Dây dẫn thẳng dài có dòng điện 5 A chạy qua. Cảm ứng từ tại M có độ lớn là 10-5 T. Điểm M cách dây một khoảng là
A. 20 cm.
B. 10 cm.
C. 1 cm.
D. 2 cm.
Câu 13. Một khung dây phẳng giới hạn diện tích S = 5cm2 gồm 20 vòng dây đặt trong từ trường đều có cảm ứng từ B = 0,1 T sao cho mặt phẳng khung dây hợp với vectơ cảm ứng từ một góc 60°. Tính từ thông qua diện tích giới hạn bởi khung dây.
A.
B.
C.
D.
Câu 14. Một khung dây có diện tích 5 cm2, gồm 50 vòng dây. Đặt khung dây trong từ trường đều có cảm ứng từ và quay khung theo mọi hướng. Từ thông qua khung có giá trị cực đại 5.10-3 Wb. Cảm ứng từ B có giá trị nào?
A. 0,2 T.
B. 0,02 T.
C. 2 T.
D. 2.10-3 T.
Câu 15. Từ thông Φ qua một khung dây biến đổi, trong khoảng thời gian 0,2 s từ thông giảm đều từ 1,2 Wb xuống còn 0,4 Wb. Suất điện động cảm ứng xuất hiện trong khung có độ lớn bằng
A. 6 V.
B. 4 V.
C. 2 V.
D. 1 V.
Câu 16. Một khung dây dẫn phẳng dẹt hình chữ nhật có 500 vòng dây, diện tích mỗi vòng là 220 cm2. Khung quay đều quanh một trục đối xứng nằm trong mặt phẳng của khung dây với tốc độ 50 vòng/giây, trong một từ trường đều có vectơ cảm ứng từ vuông góc với trục quay và có độ lớn Suất điện động cực đại trong khung dây là
A. 100 V.
B.
C. 200 V.
D.
Câu 17. Điện áp ở hai đầu một đoạn mạch có biểu thức là (t tính bằng s). Giá trị của u ở thời điểm t = 5ms là
A. -220 V .
B.
C. 220 V .
D.
Câu 18. Tại thời điểm t điện áp trong đó (u tính bằng V, t tính bằng giây) có giá trị và đang giảm. Sau thời điểm đó s điện áp đó có giá trị là
A. -100 V.
B.
C.
D. 200 V.
PHẦN II. Câu trắc nghiệm đúng sai. Mỗi câu ý a), b), c), d) ở mỗi câu, thí sinh chọn đúng hoặc sai.
Câu 1. Một đoạn dây dẫn nằm ngang được giữ cố định ở vùng từ trường đều trong khoảng không gian giữa hai cực của nam châm. Nam châm này được đặt trên một cái cân (Hình vẽ). Phần nằm trong từ trường của đoạn dây dẫn có chiều dài là 1,0 cm. Khi không có dòng điện chạy trong đoạn dây, số chỉ của cân là 500,68 g. Khi có dòng điện cuờng độ 0,34 A chạy trong đoạn dây, số chỉ của cân là 500,12 g. Lấy Trong các phát biểu sau đây, phát biểu nào là đúng, phát biểu nào là sai?
a) Số chỉ của cân giảm đi chứng tỏ có một lực tác dụng vào cân theo chiều thẳng đứng lên trên.
b) Lực tác dụng làm cho số chỉ của cân giảm là lực từ tác dụng lên đoạn dây và có chiều hướng lên.
c) Dòng điện trong dây có chiều từ trái sang phải.
d) Độ lớn cảm ứng từ giữa các cực của nam châm là 0,16 T.
Câu 2. Ở một bóng đèn sợi đốt có ghi 220V - 75W. Đèn được nối vào mạng điện xoay chiều. Khi đèn sáng bình thường, trong các phát biểu sau đây, phát biểu nào là đúng, phát biểu nào là sai?
a) Cường độ dòng điện hiệu dụng qua đèn là 0,34A
b) Số đo cường độ dòng điện của ampe kế mắc nối tiếp với đèn là 0,48A
c) Trong một giờ, đèn tiêu thụ năng lượng điện là 75 W.h.
d) Điện trở của đèn là
Câu 3. Để làm tăng từ trường của một nam châm điện, trong các phát biểu sau đây, phát biểu nào đúng, phát biểu nào sai?
a) Tăng cường độ dòng điện của nó.
b) Đảo ngược chiều dòng điện trong nó.
c) Thay lõi sắt của nó bằng lõi nhôm.
d) Giữ nguyên cường độ dòng điện, tăng số vòng dây của nó.
Câu 4. Trong các phát biểu sau đây, phát biểu nào đúng, phát biểu nào sai?
a) Hai dây dẫn thẳng, dài sẽ hút nhau khi dòng điện chạy trong chúng ngược chiều nhau.
b) Tại một điểm của từ trường, cảm ứng từ có phương trùng với phương của kim nam châm nằm cân bằng tại điểm đang xét, có chiều từ cực nam sang cực bắc của kim nam châm.
c) Từ trường luôn tác dụng lực lên một dây dẫn thẳng dài mang dòng điện được đặt cố định trong từ trường.
d) Lực từ do từ trường đều tác dụng lên một dây dẫn thẳng dài mang dòng điện có hướng vuông góc với cả hướng của dòng điện và hướng của cảm ứng từ.
PHẦN III. Câu trả lời ngắn.
Câu 1. Một đoạn dây dẫn bằng đồng dài 20,0 m có diện tích mặt cắt ngang là Đoạn dây dẫn được đặt nằm ngang sao cho dòng điện trong đoạn dây dẫn chạy từ đông sang tây với cường độ 20,0A. Ở vị trí đang xét, từ trường Trái Đất có cảm ứng từ nằm ngang, hướng từ nam lên bắc và có độ lớn Biết khối lượng riêng của đồng là
a) Tìm độ lớn và hướng của lực từ tác dụng lên đoạn dây.
b) Tính lực hấp dẫn tác dụng lên đoạn dây.
Câu 2. Một vòng dây dẫn phẳng có diện tích được đặt vuông góc với cảm ứng từ trong một từ trường đồng nhất nhưng có độ lớn tăng đều với tốc độ (Hình vẽ).
a) Tìm độ lớn suất điện động cảm ứng trong vòng dây.
b) Biết tổng điện trở của mạch là , tính cường độ của dòng điện cảm ứng trong vòng dây.
Câu 3. Một mặt có diện tích được đặt trong từ truờng đều và tạo với cảm ứng từ góc (Hình vẽ). Từ thông qua mặt S là Độ lớn của cảm ứng từ là bao nhiêu tesla (kết quả được viết đến hai chữ số thập phân)?
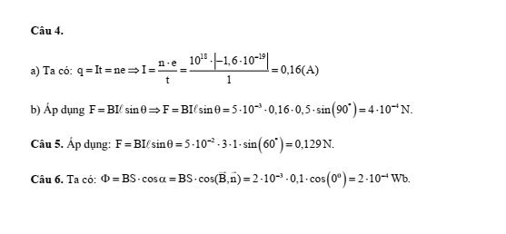
Câu 4. Một dây dẫn dài 50 cm mang dòng điện được đặt vuông góc với một từ trường có B = 5 mT.
a) Nếu trong mỗi giây có 1018 electron đi qua tiết diện thẳng của dây dẫn thì cường độ dòng điện là bao nhiêu? (e = 1,6.10-19 C)
b) Tính độ lớn lực từ tác dụng lên dây dẫn.
Câu 5. Xét một đoạn dây dẫn thẳng có chiều dài L = 1 m, có dòng điện I = 3 A chạy qua được đặt trong từ trường đều có cảm ứng từ B = 5.10-2 T. Hãy xác định độ lớn của lực từ tác dụng lên đoạn dây dẫn mang dòng điện nếu phương của dây dẫn hợp với vectơ cảm ứng từ một góc 60°.
Câu 6. Một vòng dây dẫn phẳng có diện tích 0,10 m2 được đặt vuông góc với từ trường có độ lớn cảm ứng từ là 2,0.10-3 T. Tính từ thông qua vòng dây này.
................................
................................
................................
Xem thêm đề kiểm tra Vật Lí lớp 12 Chân trời sáng tạo có đáp án hay khác:
Đề kiểm tra Vật Lí 12 Chân trời sáng tạo Chương 1 (có lời giải)
Đề kiểm tra Vật Lí 12 Chân trời sáng tạo Chương 2 (có lời giải)
Đề kiểm tra Vật Lí 12 Chân trời sáng tạo Chương 4 (có lời giải)
Xem thêm các tài liệu học tốt lớp 12 hay khác:
- Giải sgk Vật Lí 12 Chân trời sáng tạo
- Giải Chuyên đề Vật Lí 12 Chân trời sáng tạo
- Giải SBT Vật Lí 12 Chân trời sáng tạo
- Giải lớp 12 Chân trời sáng tạo (các môn học)
- Giải lớp 12 Kết nối tri thức (các môn học)
- Giải lớp 12 Cánh diều (các môn học)
Đã có app VietJack trên điện thoại, giải bài tập SGK, SBT Soạn văn, Văn mẫu, Thi online, Bài giảng....miễn phí. Tải ngay ứng dụng trên Android và iOS.
Theo dõi chúng tôi miễn phí trên mạng xã hội facebook và youtube:Nếu thấy hay, hãy động viên và chia sẻ nhé! Các bình luận không phù hợp với nội quy bình luận trang web sẽ bị cấm bình luận vĩnh viễn.
- Soạn văn 12 (hay nhất) - CTST
- Soạn văn 12 (ngắn nhất) - CTST
- Giải sgk Toán 12 - CTST
- Giải Tiếng Anh 12 Global Success
- Giải sgk Tiếng Anh 12 Smart World
- Giải sgk Tiếng Anh 12 Friends Global
- Giải sgk Vật Lí 12 - CTST
- Giải sgk Hóa học 12 - CTST
- Giải sgk Sinh học 12 - CTST
- Giải sgk Lịch Sử 12 - CTST
- Giải sgk Địa Lí 12 - CTST
- Giải sgk Giáo dục KTPL 12 - CTST
- Giải sgk Tin học 12 - CTST
- Giải sgk Hoạt động trải nghiệm 12 - CTST
- Giải sgk Âm nhạc 12 - CTST


Giải bài tập SGK & SBT
Tài liệu giáo viên
Sách
Khóa học
Thi online
Hỏi đáp

