Đề kiểm tra Vật Lí 12 Chân trời sáng tạo Chương 4 (có lời giải)
Đề kiểm tra Vật Lí 12 Chân trời sáng tạo Chương 4: Vật lí hạt nhân có đáp án chi tiết đầy đủ các mức độ sẽ giúp học sinh lớp 12 ôn luyện Vật Lí 12.
Đề kiểm tra Vật Lí 12 Chân trời sáng tạo Chương 4 (có lời giải)
Chỉ từ 200k mua trọn bộ Bài tập ôn tập + Đề kiểm tra Vật Lí 12 Chân trời sáng tạo theo chương theo cấu trúc mới bản word có lời giải chi tiết, trình bày đẹp mắt, dễ dàng chỉnh sửa:
- B1: gửi phí vào tk:
1133836868- CT TNHH DAU TU VA DV GD VIETJACK - Ngân hàng MB (QR) - B2: Nhắn tin tới Zalo VietJack Official - nhấn vào đây để thông báo và nhận đề thi
PHẦN I. Câu trắc nghiệm nhiều phương án lựa chọn. Mỗi câu hỏi thí sinh chỉ chọn một phương án.
Câu 1. Trong hạt nhân nguyên tử sắt có bao nhiêu neutron?
A. 26 neutron.
B. 30 neutron.
C. 56 neutron.
D. 82 neutron.
Câu 2. Biết khối lượng của các hạt proton, neutron và hạt nhân lần lượt là 1,0073u; 1,0087 u; 17,9948 u. Độ hụt khối của hạt nhân là
A. 0,1376u
B. 0,1506u
C. 0,1478u
D. 8,2202u
Câu 3. Coi hạt nhân nguyên tử như một quả cầu có bán kính (m) với A là số khối. Bán kính của hạt nhân có giá trị bằng
A. 0,36.10-12 m.
B. 3,6.10-12 m.
C. 0,36.10-15 m.
D. 3,6.10-15 m.
Câu 4. Hạt nhân có năng lượng liên kết 1 784 MeV. Năng lượng liên kết riêng của hạt nhân này là
A. 5,46 MeV/nucleon.
B. 12,48 MeV/nucleon.
C. 19,39 MeV/nucleon.
D. 7,59 MeV/nucleon.
Câu 5. Chất phóng xạ X có chu kì bán rã T. Ban đầu (t = 0), một mẫu chất phóng xạ X có số hạt là N0. Sau khoảng thời gian t = 3T (kể từ t = 0), số hạt nhân X còn lại là
A. 0,25N0.
B. 0,875N0.
C. 0,75N0.
D. 0,125N0.
Câu 6. Biết hạt/mol Trong có số neutron xấp xỉ là
A.
B.
C.
D.
Câu 7. Nitrogen tự nhiên có khối lượng nguyên tử m = 14,0067 amu và gồm hai đồng vị chính là có khối lượng nguyên tử m1 = 14,00307amu và có khối lượng nguyên tử m2 = 15,00011amu. Tỉ lệ phần trăm của hai đồng vị đó trong nitơ tự nhiên lần lượt là
A. và
B. và
C. và
D. và
Câu 8. Cho khối lượng của hạt nhân là 106,8783 amu; của neutron là 1,0087 amu; của proton là 1,0073 amu. Độ hụt khối của hạt nhân là
A. 0,9868 amu.
B. 0,6986 amu.
C. 0,6868 amu.
D. 0,9686 amu.
Câu 9. Khối lượng của hạt proton, neutron và hạt deuteri lần lượt là: 1,0073 amu; 1,0087 amu và 2,0136 amu. Năng lượng liên kết của hạt nhân là
A. 2,24 MeV.
B. 3,06 MeV.
C. 1,12 MeV.
D. 4,48 MeV.
Câu 10. Hạt nhân có khối lượng 10,0135 amu. Khối lượng của neutron mn = 1,0087 amu, của proton mp = 1,0073 amu. Năng lượng liên kết riêng của hạt nhân là
A. 0,6321 MeV/nucleon.
B. 63,2152 MeV/nucleon.
C. 632,1531 MeV/nucleon.
D. 6,3215 MeV/nucleon.
Câu 11. Trong phản ứng hạt nhân: hạt X là
A. electron.
B. positron.
C. proton.
D. hạt α.
Câu 12. Cho phản ứng hạt nhân: Năng lượng tỏa ra khi tổng hợp được 1 g khí helium là
A. 26,04.1016 MeV.
B. 13,02.1026 MeV.
C. 13,02.1023 MeV.
D. 26,04.1023 MeV.
Câu 13. Một lò phản ứng phân hạch có công suất 200 MW. Cho rằng toàn bộ năng lượng mà lò phản ứng này sinh ra đều do sự phân hạch của 235U và đồng vị này chỉ bị tiêu hao bởi quá trình phân hạch. Coi mỗi năm có 365 ngày; mỗi phân hạch sinh ra 200 MeV. Khối lượng 235U mà lò phản ứng tiêu thụ trong 3 năm là
A. 461,6 g.
B. 461,6 kg.
C. 230,8 kg.
D. 230,8 g.
Câu 14. Cho phản ứng hạt nhân: . Biết khối lượng của n lần lượt là mD = 2,0135 amu; mHe = 3,0149 amu; mn = 1,0087 amu. Khối lượng Deuterium cần thiết để có thể thu được năng lượng nhiệt hạch tương đương với năng lượng toả ra khi đốt 1 tấn than là (biết năng lượng toả ra khi đốt 1 kg than là 30000 kJ)
A. 0,4 g.
B. 4 kg.
C. 8 g.
D. 4 g.
Câu 15. Ban đầu có 0,2 mol là chất phóng xạ b- với chu kì bán rã 14,2 ngày. Số hạt nhân còn lại sau 28,4 ngày. Lấy NA = 6,0221.1023 (mol).
A. 3,11.1022.
B. 2,03.1021.
C. 4,27.1022
D. 3,011.1022.
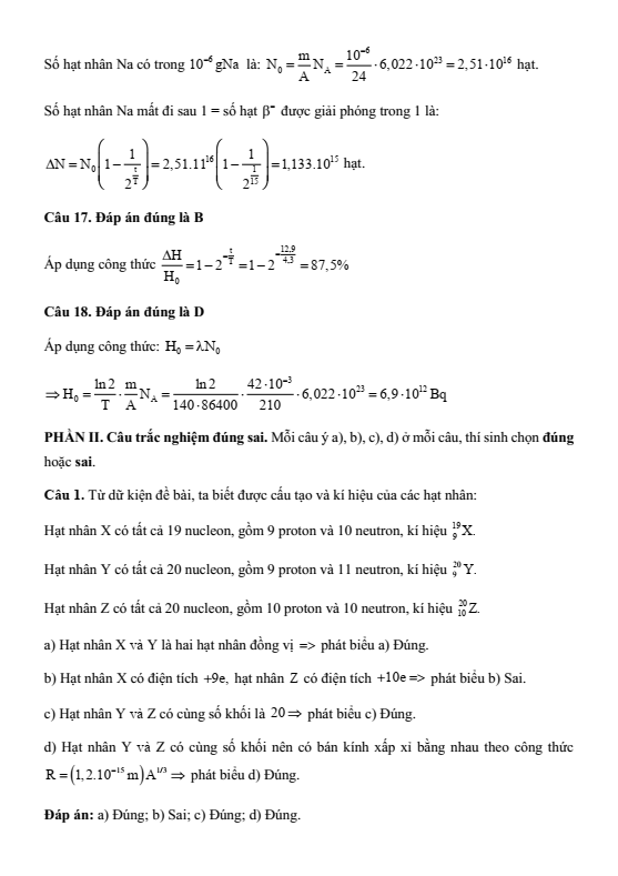
Câu 16. Đồng vị phóng xạ β- với chu kì bán rã T = 15 giờ. Hỏi có bao nhiêu hạt β- được giải phóng trong 1 giờ từ 10-6 g đồng vị Na?
A. 2,39.1016 hạt.
B. 2,51.1016 hạt.
C. 11,34.1015 hạt.
D. 1,134.1015 hạt.
Câu 17. Đồng vị phóng xạ có thời gian bán rã T = 4,3 phút. Sau thời gian 12,9 phút độ phóng xạ của đồng vị này giảm đi là
A. 85%.
B. 87,5%.
C. 82,5%.
D. 80%.
Câu 18. Chu kì bán rã của là 140 ngày. Lúc đầu có 42 mg Po; số Avogadro là NA = 6,022.1023 mol-1. Độ phóng xạ ban đầu nhận giá trị là
A. 6,8.1014 Bq.
B. 6,8.1012 Bq.
C. 6,8.109 Bq.
D. 6,9.1012 Bq.
PHẦN II. Câu trắc nghiệm đúng sai. Mỗi câu ý a), b), c), d) ở mỗi câu, thí sinh chọn đúng hoặc sai.
Câu 1. Cho ba hạt nhân X, Y, Z có các đặc điểm sau:
Hạt nhân X có 9 proton và 10 neutron.
Hạt nhân Y có tất cả 20 nucleon trong đó có 11 nucleon trung hoà.
Hạt nhân Z có 10 nucleon mang điện và 10 nucleon trung hoà.
Trong các phát biểu dưới đây, phát biểu nào là đúng, phát biểu nào là sai?
a) X và Y là hai hạt nhân đồng vị.
b) X và Z có cùng điện tích.
c) Y và Z có cùng số khối.
d) Y và Z có bán kính xấp xỉ bằng nhau.
Câu 2. Cho hai hạt nhân A và B có các đặc điểm sau:
Hạt nhân A có 202 nucleon trong đó gồm 122 neutron. Độ hụt khối của hạt nhân A là 1,71228 u.
Hạt nhân B có 204 nucleon trong đó gồm 80 proton. Độ hụt khối của hạt nhân B là 1,72675 u.
Trong các phát biểu sau đây, phát biểu nào là đúng, phát biểu nào là sai?
a) A và B là hai hạt nhân đồng vị.
b) Số nucleon trung hoà trong mỗi hạt nhân bằng nhau.
c) Hạt nhân A có năng lượng liên kết nhỏ hơn hạt nhân B.
d) Hạt nhân B bền vững hơn hạt nhân A.
Câu 3. Đồng vị phóng xạ xenon được sử dụng trong phương pháp nguyên tử đánh dấu của y học hạt nhân khi kiểm tra chức năng và chẩn đoán các bệnh về phổi. Chu kì bán rã của xenon là 5,24 ngày. Một mẫu khí chứa xenon khi được sản xuất tại nhà máy có độ phóng xạ Mẫu đó được vận chuyển về bệnh viện và sử dụng cho bệnh nhân sau đó 3,00 ngày. Các ý a), b), c), d) dưới đây là đúng hay sai?
a) Sản phẩm phân rã của xenon là cesium
b) Hằng số phóng xạ của xenon là
c) Số nguyên tử có trong mẫu mới sản xuất là nguyên tử.
d) Khi bệnh nhân sử dụng, độ phóng xạ của mẫu khí là
Câu 4: Cho khối lượng của proton, neutron, hạt nhân , hạt nhân lần lượt là Trong mỗi phát biểu sau, em hãy chọn đúng hoặc sai.
a) và đều là đồng vị của
b) Độ hụt khối của lớn hơn độ hụt khối của
c) Năng lượng liên kết của lớn hơn năng lượng liên kết của một lượng 9,73MeV
d) Hạt nhân kém bền vững hơn hạt nhân
PHẦN III. Câu trắc nghiệm trả lời ngắn.
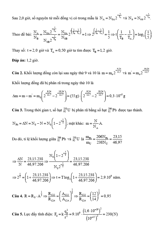
Câu 1. Một mẫu chất chứa hai đồng vị phóng xạ A và B. Tại thời điểm ban đầu, tỉ lệ số nguyên tử đồng vị A trên số nguyên tử đồng vị B là 5. Sau đó 2,0 giờ, tỉ lệ số nguyên tử đồng vị A trên số nguyên tử đồng vị B là 1. Biết rằng chu kì bán rã của đồng vị A là 0,50 giờ. Chu kì bán rã của đồng vị B là mấy giờ? Biết rằng hai đồng vị phóng xạ này không phải là sản phẩm phân rã của nhau. (Kết quả lấy đến một chữ số sau dấu phẩy thập phân).
Câu 2. Một phòng thí nghiệm nhập về lượng đồng phóng xạ nguyên chất có khối lượng ban đầu là 55g Chu kì bán rã của đồng vị này là 12,7 giờ. Tính khối lượng đã bị phân rã trong ngày thứ 10 kể từ lúc nhập về. (Kết quả tính có đơn vị là mg và lấy một chữ số sau dấu phẩy thập phân).
Câu 3. Đồng vị phân rã qua một chuỗi phân rã phóng xạ α và β biến thành hạt nhân bền Biết chu kì bán rã của là năm. Một khối đá được phát hiện chứa và Giả sử khối đá khi mới hình thành không chứa nguyên tố chì và tất cả lượng chì có mặt trong đó đều là sản phẩm phân rã của Tuổi của khối đá đó là bao nhiêu tỉ năm? (Kết quả lấy đến một chữ số sau dấu thập phân).
Câu 4. So sánh bán kính hạt nhân của hai đồng vị của nguyên tố carbon:
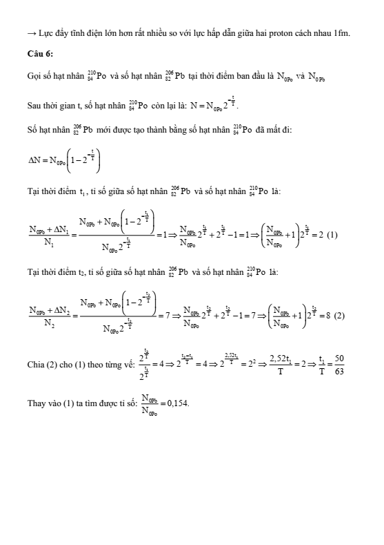
Câu 5. So sánh lực đẩy tĩnh điện và lực hấp dẫn giữa hai proton đặt cách nhau 1 fm. Biết rằng điện tích của proton là 1,6.10-19 C và lực hấp dẫn giữa hai proton ở khoảng cách 1 fm có giá trị là 1,87.10-14 N.
Câu 6. Hạt nhân phóng xạ α tạo thành hạt nhân bền. Ban đầu, có một mẫu trong đó chứa cả hạt nhân và hạt nhân Biết hạt nhân sinh ra được giữ lại hoàn toàn trong mẫu. Tại thời điểm , tỉ số giữa số hạt nhân và số hạt nhân còn lại trong mẫu là 1. Tại thời điểm tỉ số giữa số hạt nhân và số hạt nhân còn lại trong mẫu là 7. Tỉ số giữa số hạt nhân và số hạt nhân ban đầu là bao nhiêu?
................................
................................
................................
Xem thêm đề kiểm tra Vật Lí lớp 12 Chân trời sáng tạo có đáp án hay khác:
Đề kiểm tra Vật Lí 12 Chân trời sáng tạo Chương 1 (có lời giải)
Đề kiểm tra Vật Lí 12 Chân trời sáng tạo Chương 2 (có lời giải)
Đề kiểm tra Vật Lí 12 Chân trời sáng tạo Chương 3 (có lời giải)
Xem thêm các tài liệu học tốt lớp 12 hay khác:
- Giải sgk Vật Lí 12 Chân trời sáng tạo
- Giải Chuyên đề Vật Lí 12 Chân trời sáng tạo
- Giải SBT Vật Lí 12 Chân trời sáng tạo
- Giải lớp 12 Chân trời sáng tạo (các môn học)
- Giải lớp 12 Kết nối tri thức (các môn học)
- Giải lớp 12 Cánh diều (các môn học)
Đã có app VietJack trên điện thoại, giải bài tập SGK, SBT Soạn văn, Văn mẫu, Thi online, Bài giảng....miễn phí. Tải ngay ứng dụng trên Android và iOS.
Theo dõi chúng tôi miễn phí trên mạng xã hội facebook và youtube:Nếu thấy hay, hãy động viên và chia sẻ nhé! Các bình luận không phù hợp với nội quy bình luận trang web sẽ bị cấm bình luận vĩnh viễn.
- Soạn văn 12 (hay nhất) - CTST
- Soạn văn 12 (ngắn nhất) - CTST
- Giải sgk Toán 12 - CTST
- Giải Tiếng Anh 12 Global Success
- Giải sgk Tiếng Anh 12 Smart World
- Giải sgk Tiếng Anh 12 Friends Global
- Giải sgk Vật Lí 12 - CTST
- Giải sgk Hóa học 12 - CTST
- Giải sgk Sinh học 12 - CTST
- Giải sgk Lịch Sử 12 - CTST
- Giải sgk Địa Lí 12 - CTST
- Giải sgk Giáo dục KTPL 12 - CTST
- Giải sgk Tin học 12 - CTST
- Giải sgk Hoạt động trải nghiệm 12 - CTST
- Giải sgk Âm nhạc 12 - CTST


Giải bài tập SGK & SBT
Tài liệu giáo viên
Sách
Khóa học
Thi online
Hỏi đáp

