Cách giải bài tập về Định luật Sác-lơ (hay, chi tiết)
Bài viết Cách giải bài tập về Định luật Sác-lơ với phương pháp giải chi tiết giúp học sinh ôn tập, biết cách làm bài tập về Định luật Sác-lơ.
Cách giải bài tập về Định luật Sác-lơ (hay, chi tiết)
(199k) Xem Khóa học Vật Lí 10 KNTTXem Khóa học Vật Lí 10 CDXem Khóa học Vật Lí 10 CTST
A. Phương pháp & Ví dụ
- Định luật Sác-lơ:
Trong quá trình đẳng tích của một lượng khí nhất định, áp suất tỉ lệ thuận với nhiệt độ tuyệt đối:
- Đồ thị đường đẳng tích:
Bài tập vận dụng
Bài 1:Một bình kín chứa khí oxi ở nhiệt độ 20°C và áp suất 105 Pa. Nếu đem bình phơi nắng ở nhiêt độ 40°C thì áp suất trong bình sẽ là bao nhiêu ?
Lời giải:
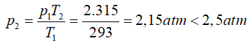
Bài 2: Một săm xe máy được bơm căng không khí ở nhiệt độ 20°C và áp suất 2 atm. Hỏi săm có bị nổ không khi để ngoài nắng nhiệt độ 42°C ? Coi sự tăng thể tích của săm là không đáng kể và biết săm chỉ chịu được áp suất tối đa là 2,5 atm.
Lời giải:
Săm không bị nổ.
Bài 3: Một bình thủy tinh kín chịu nhiệt chứa không khí ở điều kiện chuẩn. Nung nóng bình lên tới 200°C. Áp suất không khí trong bình là bao nhiêu? Coi sự nở vì nhiệt của bình là không đáng kể.
Lời giải:
Bài 4: Một chai chứa không khí được nút kín bằng một nút có trọng lượng không đáng kể, tiết diện 2,5cm2. Hỏi phải đun nóng không khí trong chai lên tới nhiệt độ tối thiểu bằng bao nhiêu để nút bật ra ? Biết lực ma sát giữa nút và chai có độ lớn là 12 N, áp suất ban đầu của không khí trong chai bằng áp suất khí quyển và bằng 9,8.104Pa, nhiệt độ ban đầu của không khí trong chai là -3°C.
Lời giải:
Trước khi nút bật ra, thể tích khí trong chai không đổi và quá trình đun nóng là quá trình đẳng tích. Tại thời điểm nút bật ra, áp lực không khí trong chai tác dụng lên nút phải lớn hơn áp lực của khí quyển và lực ma sát:
Vì quá trình là đẳng tích nên:
Phải đun nóng tới nhiệt độ ít nhất là T2 = 402 K hoặc t2 = 129°C.
B. Bài tập trắc nghiệm
Câu 1: Một khối khí lí tưởng nhốt trong bình kín. Tăng nhiệt độ của khối khí từ 100°C lên 200°C thì áp suất trong bình sẽ:
A. Có thể tăng hoặc giảm
B. tăng lên hơn 2 lần áp suất cũ
C. tăng lên ít hơn 2 lần áp suất cũ
D. tăng lên đúng bằng 2 lần áp suất cũ
Lời giải:
Chọn C
Câu 2: Nhiệt độ không tuyệt đối là nhiệt độ tại đó:
A. Nước đông đặc thành đá
B. tất cả các chất khí hóa lỏng
C. tất cả các chất khí hóa rắn
D. chuyển động nhiệt phân tử hầu như dừng lại
Lời giải:
Chọn D
Câu 3: Cho đồ thị của áp suất theo nhiệt độ của hai khối khí A và B có thể tích không đổi như hình vẽ. Nhận xét nào sau đây là sai:
A. Hai đường biểu diễn đều cắt trục hoành tại điểm – 273°C
B. Khi t = 0°C, áp suất của khối khí A lớn hơn áp suất của khối khí B
C. Áp suất của khối khí A luôn lớn hơn áp suất của khối khí B tại mọi nhiệt độ
D. Khi tăng nhiệt độ, áp suất của khối khí B tăng nhanh hơn áp suất của khối khí A
Lời giải:
Chọn D
Câu 4: Ở 7°C áp suất của một khối khí bằng 0,897 atm. Khi áp suất khối khí này tăng đến 1,75 atm thì nhiệt độ của khối khí này bằng bao nhiêu, coi thể tích khí không đổi:
A. 273°C B. 273°K C. 280°C D. 280°K
Lời giải:
Câu 5: Một khối khí ở 7°C đựng trong một bình kín có áp suất 1atm. Đun nóng đẳng tích bình đến nhiệt độ bao nhiêu để khí trong bình có áp suất là 1,5 atm:
A. 40,5°C B. 420°C C. 147°C D. 87°C
Lời giải:
Câu 6: Một bóng đèn dây tóc chứa khí trơ ở 27°C và áp suất 0,6 atm. Khi đèn sáng, áp suất không khí trong bình là 1atm và không làm vỡ bóng đèn. Coi dung tích của bóng đèn không đổi, nhiệt độ của khí trong đèn khi cháy sáng là:
A. 500°C B. 227°C C. 450°C D. 380°C
Lời giải:
Câu 7: Khi đun nóng đẳng tích một khối khí thêm 1°C thì áp suất khối khí tăng thêm 1/360 áp suất ban đầu. Nhiệt độ ban đầu của khối khí đó là:
A. 87°C B. 360°C C. 350°C D. 361°C
Lời giải:
Câu 8: Nếu nhiệt độ khi đèn tắt là 25°C, khi đèn sáng là 323°C thì áp suất khí trơ trong bóng đèn khi sáng tăng lên là:
A. 12,92 lần B. 10,8 lần C. 2 lần D. 1,5 lần
Lời giải:
Câu 9: Một bình đầy không khí ở điều kiện tiêu chuẩn( 0°C; 1,013.105Pa) được đậy bằng một vật có khối lượng 2kg. Tiết diện của miệng bình 10cm2. Tìm nhiệt độ lớn nhất của không khí trong bình để không khí không đẩy được nắp bình lên và thoát ra ngoài. Biết áp suất khí quyển là p0 = 105Pa.
A. 323,4°C B. 121,3°C C. 115°C D. 50,4°C
Lời giải:
Phía trên nắp đậy chịu áp suất của khí quyển p0 và áp suất do trọng lực của nắp pg gây nên, còn phía dưới nắp chịu áp suất của không khí bên trong p2.
Vậy để không khí không đẩy được nắp bình thì p2 ≤ p0 + pg.
Hay
Theo định luật Sac lơ ta có:
Câu 10: Khi làm nóng một lượng khí đẳng tích thì:
A. Áp suất khí không đổi
B. Số phân tử trong một đơn vị thể tích không đổi
C. số phân tử khí trong một đơn vị thể tích tăng tỉ lệ thuận với nhiệt độ
D. số phân tử khí trong một đơn vị thể tích giảm tỉ lệ nghịch với nhiệt độ
Lời giải:
Chọn B
(199k) Xem Khóa học Vật Lí 10 KNTTXem Khóa học Vật Lí 10 CDXem Khóa học Vật Lí 10 CTST
Xem thêm các dạng bài tập Vật Lí lớp 10 chọn lọc có đáp án hay khác:
- Tổng hợp lý thuyết chương Chất khí
- Dạng 1: Cấu tạo chất, Thuyết động học phân tử chất khí
- Dạng 2: Định luật Bôi-lơ – Ma-ri-ốt
- Dạng 3: Định luật Sác-lơ
- Dạng 4: Phương trình trạng thái của khí lí tưởng
- Dạng 5: Phương trình Claperon, Medeleev
- Dạng 6: Đồ thị trạng thái khí lí tưởng
- Bài tập Vật Lý 10 chương Chất khí (phần 1)
- Bài tập Vật Lý 10 chương Chất khí (phần 2)
Để học tốt lớp 10 các môn học sách mới:
- Giải bài tập Lớp 10 Kết nối tri thức
- Giải bài tập Lớp 10 Chân trời sáng tạo
- Giải bài tập Lớp 10 Cánh diều
Tủ sách VIETJACK shopee lớp 10-11 (cả 3 bộ sách):
Đã có app VietJack trên điện thoại, giải bài tập SGK, SBT Soạn văn, Văn mẫu, Thi online, Bài giảng....miễn phí. Tải ngay ứng dụng trên Android và iOS.
Theo dõi chúng tôi miễn phí trên mạng xã hội facebook và youtube:Nếu thấy hay, hãy động viên và chia sẻ nhé! Các bình luận không phù hợp với nội quy bình luận trang web sẽ bị cấm bình luận vĩnh viễn.
- Giải Tiếng Anh 10 Global Success
- Giải Tiếng Anh 10 Friends Global
- Giải sgk Tiếng Anh 10 iLearn Smart World
- Giải sgk Tiếng Anh 10 Explore New Worlds
- Lớp 10 - Kết nối tri thức
- Soạn văn 10 (hay nhất) - KNTT
- Soạn văn 10 (ngắn nhất) - KNTT
- Soạn văn 10 (siêu ngắn) - KNTT
- Giải sgk Toán 10 - KNTT
- Giải sgk Vật lí 10 - KNTT
- Giải sgk Hóa học 10 - KNTT
- Giải sgk Sinh học 10 - KNTT
- Giải sgk Địa lí 10 - KNTT
- Giải sgk Lịch sử 10 - KNTT
- Giải sgk Kinh tế và Pháp luật 10 - KNTT
- Giải sgk Tin học 10 - KNTT
- Giải sgk Công nghệ 10 - KNTT
- Giải sgk Hoạt động trải nghiệm 10 - KNTT
- Giải sgk Giáo dục quốc phòng 10 - KNTT
- Lớp 10 - Chân trời sáng tạo
- Soạn văn 10 (hay nhất) - CTST
- Soạn văn 10 (ngắn nhất) - CTST
- Soạn văn 10 (siêu ngắn) - CTST
- Giải Toán 10 - CTST
- Giải sgk Vật lí 10 - CTST
- Giải sgk Hóa học 10 - CTST
- Giải sgk Sinh học 10 - CTST
- Giải sgk Địa lí 10 - CTST
- Giải sgk Lịch sử 10 - CTST
- Giải sgk Kinh tế và Pháp luật 10 - CTST
- Giải sgk Hoạt động trải nghiệm 10 - CTST
- Lớp 10 - Cánh diều
- Soạn văn 10 (hay nhất) - Cánh diều
- Soạn văn 10 (ngắn nhất) - Cánh diều
- Soạn văn 10 (siêu ngắn) - Cánh diều
- Giải sgk Toán 10 - Cánh diều
- Giải sgk Vật lí 10 - Cánh diều
- Giải sgk Hóa học 10 - Cánh diều
- Giải sgk Sinh học 10 - Cánh diều
- Giải sgk Địa lí 10 - Cánh diều
- Giải sgk Lịch sử 10 - Cánh diều
- Giải sgk Kinh tế và Pháp luật 10 - Cánh diều
- Giải sgk Tin học 10 - Cánh diều
- Giải sgk Công nghệ 10 - Cánh diều
- Giải sgk Hoạt động trải nghiệm 10 - Cánh diều
- Giải sgk Giáo dục quốc phòng 10 - Cánh diều


Giải bài tập SGK & SBT
Tài liệu giáo viên
Sách
Khóa học
Thi online
Hỏi đáp

