Dạng bài tập Vật trượt trên mặt phẳng ngang, mặt phẳng nghiêng hay, chi tiết (Áp dụng định luật 3 Niutơn)
Bài viết Dạng bài tập Vật trượt trên mặt phẳng ngang, mặt phẳng nghiêng (Áp dụng định luật 3 Niutơn) với phương pháp giải chi tiết giúp học sinh ôn tập, biết cách làm bài tập Dạng bài tập Vật trượt trên mặt phẳng ngang, mặt phẳng nghiêng (Áp dụng định luật 3 Niutơn).
Dạng bài tập Vật trượt trên mặt phẳng ngang, mặt phẳng nghiêng hay, chi tiết (Áp dụng định luật 3 Niutơn)
(199k) Xem Khóa học Vật Lí 10 KNTTXem Khóa học Vật Lí 10 CDXem Khóa học Vật Lí 10 CTST
A. Phương pháp & Ví dụ
Áp dụng định luật
- Định luật III Niu Tơn
Vật m1 tương tác m2 thì: F12→ = - F21→
Độ lớn: F12 = F21 suy ra m2a2 = m1a1
Bài tập vận dụng
Bài 1: Hai quả cầu chuyển động trên mặt phẳng nằm ngang, quả cầu 1 chuyển động với vận tốc 4 m/s đến va chạm vào quả cầu 2 đang đứng yên. Sau va chạm cả hai quả cầu cùng chuyển động theo hướng cũ của quả cầu 1 với cùng vận tốc 2 m/s. Tính tỉ số khối lượng của hai quả cầu.
Lời giải:
Ta có: v1 = 4 m/s và v'1 = 2 m/s
v2 = 0 m/s và v’2 = 2 m/s
Gọi t là thời gian tương tác giữa hai quả cầu và chọn chiều dương là chiều chuyển động của quả cầu 1. Áp dụng định luật 3 Niu Tơn ta có:
m2a2 = m1a1 suy ra m1(v’1 – v1)/t = m2(v’2 – v2)/t
Vậy m1/m2 = 1
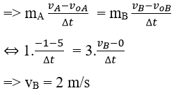
Bài 2: Hai xe A và B cùng đặt trên mặt phẳng nằm ngang, đầu xe A có gắn mộ lò xo nhẹ. Đặt hai xe sát nhau để lò xo bị nén rồi buông nhẹ để hai xe chuyển động ngược chiều nhau. Tính từ lúc thả tay, xe A và B đi được quãng đường lần lượt là 1 m và 2 m trong cùng một khoảng thời gian. Biết lực cản của môi trường tỉ lệ với khối lượng của xe. Tỉ số khối lương của xe A và xe B là ?
Lời giải:
Vận tốc của vật bị bật bị bật ra sau khi buông tay là
F1 = F2 nên
Do lực cản nên chuyển động chậm dần và lực cản tỉ lệ với khối lượng nên:
Theo định luật 3 Niu tơn ta có:
FAB = - FBA ⇒ mAaA = mBaB
Vậy mA/mB = aB/aA (1)
Lại có s = (1/2).at2 suy ra sB/sA = aB/aA = 2 (2)
Từ (1) và (2) suy ra
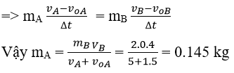
Bài 3: Một viên bi A có khối lượng 300 g đang chuyển động với vận tốc 3 m/s thì va chạm vào viên bi B có khối lượng 600 g đang đứng yên trên mặt bàn nhẵn, nằm ngang. Biết sau thời gian va cham 0,2 s, bi B chuyển động với vận tốc 0,5 m/s cùng chiều chuyển động ban đầu của bi A. Bỏ qua mọi ma sát, tốc đọ chuyển động của bi A ngay sau va chạm là?
Lời giải:
Gia tốc chuyển động của bi B
Lực tương tác giữa hai viên bi: FAB = - FBA = mBaB = 0,6.2,5 = 1,5 N
Định luật III Niu Tơn:
Chọn chiều dương cùng chiều chuyển động ban đầu của viên bi A
Chiếu lên chiều dương ta có: 0.3(vA – 3) = -0.6(0.5 – 0) ⇒ vA = 2 m/s
Bài 4: Trên mặt nằm ngang không ma sát xe một chuyển động với độ lớn vận tốc 5 m/s đến va chạm vào xe hai đang đứng yên. Sau va chạm xe một bật lại với vận tốc 150 cm/s; xe hai chuyển động với vận tốc 200 cm/s. Biết khối lượng xe hai là 400g; tính khối lượng xe một?
Lời giải:
Ta có v1 = 5m/s; v’1 = 1.5 m/s; v2 = 0; v’2 = 2 m/s; m2 = 0.4 kg
Gọi t là thời gian tương tác giữa hai xe
Chọn chiều dương là chiều chuyển động của xe một trước va chạm
Áp dụng định luật 3 Niuton ta có:
FAB = - FBA ⇒ mAaA = mBaB
Bài 5: Một xe A đang chuyển động với vận tốc 3.6 km/h đến đụng vào mộ xe B đang đứng yên. Sau khi va chạm xe A dội ngược lại với vận tốc 0.1 m/s còn xe B chạy tiếp với vận tốc 0.55 m/s. Cho mB = 200g; tìm mA?
Lời giải:
Chọn chiều dương là chiều chuyển động ban đầu của xe A
Áp dụng định luật 3 Niuton cho hai xe trên ta có
FAB = - FBA ⇒ mAaA = mBaB
B. Bài tập trắc nghiệm
Câu 1: Câu nào đúng? Trong một cơn lốc xoáy , một hòn đá bay trúng vào một cửa kính , làm vỡ kính.
A. Lực của hòn đá tác dụng vào tấm kính lớn hơn lực của tấm kính tác dụng vào hòn đá.
B. Lực của hòn đá tác dụng vào tấm kính bằng (về độ lớn) lực của tấm kính tác dụng vào hòn đá.
C. Lực của hòn đá tác dụng vào tấm kính nhỏ hơn lực của tấm kính tác dụng vào hòn đá.
D.Viên đá không tương tác với tấm kính khi làm vỡ kính.
Lời giải:
Chọn B
Câu 2: Một người thực hiện động tác nằm sấp, chống tay xuống sàn nhà để nâng người lên. Hỏi sàn nhà đẩy người đó như thế nào?
A. Không đẩy gì cả.
B. Đẩy lên.
C. Đẩy xuống.
D. Đẩy sanh bên.
Lời giải:
Chọn B
Câu 3: Câu nào đúng? Khi một con ngựa kéo xe, lực tác dụng vào con ngựa làm nó chuyển động về phía trước là
A. lực mà ngựa tác dụng vào xe.
B. lực mà xe tác dụng vào ngựa.
C. lực mà ngựa tác dụng vào mặt đất.
D. lực mà mặt đất tác dụng vào ngựa.
Lời giải:
Chọn B
Câu 4: Câu nào đúng? Một người có trọng lượng 500 N đứng trên mặt đất. Lực mà mặt đất tác dụng lên người đó có độ lớn
A. bằng 500 N.
B. bé hơn 500 N.
C. lớn hơn 500 N.
D. phụ thuộc vào nơi mà người đó đứng trên Trái Đất.
Lời giải:
Chọn A
Câu 5: Khi nói về một vật chịu tác dụng của lực, phát biểu nào sau đây đúng?
A. Khi không có lực tác dụng, vật không thể chuyển động.
B. Khi ngừng tác dụng lực lên vật, vật này sẽ dừng lại.
C. Gia tốc của vật luôn cùng chiều với chiều của lực tác dụng.
D. Khi có tác dụng lực lên vật, vận tốc của vật tăng
Lời giải:
Chọn C
Câu 6: Một trái bóng bàn bay từ xa đến đập vao tường và bật ngược trở lại:
A. Lực của trái bóng tác dụng vào tường nhỏ hơn lực của tường tác dụng vào quả bóng.
B. Lực của trái bóng tác dụng vào tường bằng lực của tường tác dụng vào quả bóng.
C. Lực của trái bóng tác dụng vào tường lớn hơn lực của tường tác dụng vào quả bóng.
D. Không đủ cơ sở để kết luận.
Lời giải:
Chọn B
Câu 7: Lực và phản lực không có tính chất sau:
A. luôn xuất hiện từng cặp
B. luôn cùng loại
C. luôn cân bằng nhau
D. luôn cùng giá ngược chiều
Lời giải:
Chọn A
Câu 8: Điều nào sau đây là sai khi nói về lực về phản lực:
A. Lực và phản lực luôn xuất hiện và mất đi đồng thời.
B. Lực và phản lực bao giờ cũng cùng loại.
C. Lực và phản lực luôn cùng hướng với nhau.
D. Lực và phản lực không thể cân bằng nhau.
Lời giải:
Chọn C
Câu 9: Một vật có khối lượng m = 1kg chuyển động với vận tốc 5 m/s đến va chạm vào vật thứ 2 đang đứng yên. Sau va chạm vật thứ nhất chuyển động ngược lại với vận tốc 1 m/s, còn vật thứ hai chuyển động với vận tốc 2 m/s. Hỏi khối lượng của vật thứ hai là bao nhiêu?
A. 1,5 kg
B. 3 kg
C. 2 kg
D. 2,5 kg
Lời giải:
Gọi t là thời gian tương tác giữa hai vật
Chọn chiều dương là chiều chuyển động của vật một trước va chạm
Áp dụng định luật 3 Niuton ta có:
FAB = - FBA suy ra mAaA = mBaB
Câu 10: Một quả bóng khối lượng 200 g bay với vận tốc 90 km/h đến đập vuông góc vào tường rồi bật trở lại theo phương cũ với vận tốc 54 km/h. Thời gian va chạm giữa bóng và tường là 0,05s. Độ lớn lực của tường tác dụng lên quả bóng là nhiêu?
A. 120 N
B. 210 N
C. 200 N
D. 160 N
Lời giải:
Chọn chiều dương cùng chiều chuyển động bật ra của quả bóng
Định luật III Niu Tơn ta có:
Câu 11: Một người có trọng lượng 500 N đứng trên mặt đất. Lực mà mặt đất tác dụng lên người đó có độ lớn?
A. Bằng 500 N.
B. Bé hơn 500 N.
C. Lớn hơn 500 N.
D. Phụ thuộc vào nơi mà ngừời đó đứng trên mặt đất.
Lời giải:
Chọn A
Câu 12: Một quả bóng , khối lượng 500g bay với tốc độ 20 m/s đập vuông góc vào bức tường và bay ngược lại với tốc độ 20 m/s.Thời gian va đập là 0,02 s. Lực do bóng tác dụng vào tường có độ lớn và hướng:
A. 1000 N, cùng hướng chuyển động ban đầu của bóng
B. 500 N, cùng hướng chuyển động ban đầu của bóng
C. 1000 N, ngược hướng chuyển động ban đầu của bóng
D. 200 N, ngược hướng chuyển động ban đầu của bóng
Lời giải:
Ta có: a = v - vo/t = 1000 N
Vậy F = ma = 500 N
Câu 13: Một viên bi A có khối lượng 1kg đang chuyển động với vận tốc 5 m/s thì va chạm vào viên bi B có khối lượng 2kg đang đứng yên trên mặt bàn nhẵn, nằm ngang. Biết sau thời gian va cham 0.3 s, bi B chuyển động với vận tốc 2 m/s cùng chiều chuyển động ban đầu của bi A. Bỏ qua mọi ma sát, tốc độ chuyển động của bi A ngay sau va chạm là?
A. 2 m/s
B. 2.5 m/s
C. 1 m/s
D. 1.5 m/s
Lời giải:
Gia tốc chuyển động của bi B
Lực tương tác giữa hai viên bi: FAB = - FBA = mBaB = 2. 6.67 = 13.33 N
Định luật III Niu Tơn:
Chọn chiều dương cùng chiều chuyển động ban đầu của viên bi A
Chiếu lên chiều dương ta có: 1.(vA – 5) = - 2.(2 – 0) ⇒ vA = 1 m/s
Câu 14: Một A vật có khối lượng 1kg chuyển động với tốc độ 5 m/s va chạm vào một vật B có khối lượng 3kg đứng yên. Sau va chạm vật A chuyển động ngược trở lại với tốc độ 1 m/s, cho vật B chuyển động với tốc độ bao nhiêu?
A. 2 m/s
B. 3 m/s
C. 4 m/s
D. 5 m/s
Lời giải:
Gọi t là thời gian tương tác giữa hai vật
Chọn chiều dương là chiều chuyển động của vật A trước va chạm
Áp dụng định luật 3 Niuton ta có:
FAB = - FBA ⇒ mAaA = mBaB
Câu 15: Một quả bóng khối lượng 0,5kg đang bay theo phương ngang với vận tốc 20 m/s thì va theo phương vuông góc vào bức tường thẳng đứng và bay ngược trở lại với vận tốc 15 m/s. Thời gian va chạm giữa bóng và tường là 0,02s. Lực của quả bóng tác dụng vào tường là bao nhiêu?
A. 750 N B. 375 N C. 875 N D. 575 N
Lời giải:
Chọn chiều dương cùng chiều chuyển động bật ra của quả bóng
Định luật III Niu Tơn ta có:
(199k) Xem Khóa học Vật Lí 10 KNTTXem Khóa học Vật Lí 10 CDXem Khóa học Vật Lí 10 CTST
Xem thêm các dạng bài tập Vật Lí lớp 10 chọn lọc có đáp án hay khác:
Để học tốt lớp 10 các môn học sách mới:
- Giải bài tập Lớp 10 Kết nối tri thức
- Giải bài tập Lớp 10 Chân trời sáng tạo
- Giải bài tập Lớp 10 Cánh diều
Tủ sách VIETJACK shopee lớp 10-11 (cả 3 bộ sách):
Đã có app VietJack trên điện thoại, giải bài tập SGK, SBT Soạn văn, Văn mẫu, Thi online, Bài giảng....miễn phí. Tải ngay ứng dụng trên Android và iOS.
Theo dõi chúng tôi miễn phí trên mạng xã hội facebook và youtube:Nếu thấy hay, hãy động viên và chia sẻ nhé! Các bình luận không phù hợp với nội quy bình luận trang web sẽ bị cấm bình luận vĩnh viễn.
- Giải Tiếng Anh 10 Global Success
- Giải Tiếng Anh 10 Friends Global
- Giải sgk Tiếng Anh 10 iLearn Smart World
- Giải sgk Tiếng Anh 10 Explore New Worlds
- Lớp 10 - Kết nối tri thức
- Soạn văn 10 (hay nhất) - KNTT
- Soạn văn 10 (ngắn nhất) - KNTT
- Soạn văn 10 (siêu ngắn) - KNTT
- Giải sgk Toán 10 - KNTT
- Giải sgk Vật lí 10 - KNTT
- Giải sgk Hóa học 10 - KNTT
- Giải sgk Sinh học 10 - KNTT
- Giải sgk Địa lí 10 - KNTT
- Giải sgk Lịch sử 10 - KNTT
- Giải sgk Kinh tế và Pháp luật 10 - KNTT
- Giải sgk Tin học 10 - KNTT
- Giải sgk Công nghệ 10 - KNTT
- Giải sgk Hoạt động trải nghiệm 10 - KNTT
- Giải sgk Giáo dục quốc phòng 10 - KNTT
- Lớp 10 - Chân trời sáng tạo
- Soạn văn 10 (hay nhất) - CTST
- Soạn văn 10 (ngắn nhất) - CTST
- Soạn văn 10 (siêu ngắn) - CTST
- Giải Toán 10 - CTST
- Giải sgk Vật lí 10 - CTST
- Giải sgk Hóa học 10 - CTST
- Giải sgk Sinh học 10 - CTST
- Giải sgk Địa lí 10 - CTST
- Giải sgk Lịch sử 10 - CTST
- Giải sgk Kinh tế và Pháp luật 10 - CTST
- Giải sgk Hoạt động trải nghiệm 10 - CTST
- Lớp 10 - Cánh diều
- Soạn văn 10 (hay nhất) - Cánh diều
- Soạn văn 10 (ngắn nhất) - Cánh diều
- Soạn văn 10 (siêu ngắn) - Cánh diều
- Giải sgk Toán 10 - Cánh diều
- Giải sgk Vật lí 10 - Cánh diều
- Giải sgk Hóa học 10 - Cánh diều
- Giải sgk Sinh học 10 - Cánh diều
- Giải sgk Địa lí 10 - Cánh diều
- Giải sgk Lịch sử 10 - Cánh diều
- Giải sgk Kinh tế và Pháp luật 10 - Cánh diều
- Giải sgk Tin học 10 - Cánh diều
- Giải sgk Công nghệ 10 - Cánh diều
- Giải sgk Hoạt động trải nghiệm 10 - Cánh diều
- Giải sgk Giáo dục quốc phòng 10 - Cánh diều


Giải bài tập SGK & SBT
Tài liệu giáo viên
Sách
Khóa học
Thi online
Hỏi đáp

