Cách xác định vận tốc, quãng đường, thời gian trong chuyển động thẳng đều (hay, chi tiết)
Bài viết Cách xác định vận tốc, quãng đường, thời gian trong chuyển động thẳng đều với phương pháp giải chi tiết giúp học sinh ôn tập, biết cách làm bài tập Cách xác định vận tốc, quãng đường, thời gian trong chuyển động thẳng đều.
Cách xác định vận tốc, quãng đường, thời gian trong chuyển động thẳng đều (hay, chi tiết)
(199k) Xem Khóa học Vật Lí 10 KNTTXem Khóa học Vật Lí 10 CDXem Khóa học Vật Lí 10 CTST
A. Phương pháp & Ví dụ
- Sử dụng công thức trong chuyển động thẳng đều: S = v.t
- Công thức tính tốc độ trung bình:
Vận tốc trung bình:
Bài tập vận dụng
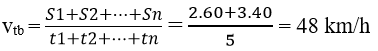
Bài 1: Một xe chạy trong 5h: 2h đầu xe chạy với tốc độ trung bình 60 km/h, 3h sau xe chạy với tốc độ trung bình 40 km/h. Tính tốc độ trung bình của xe trong suốt thời gian chuyển động.
Lời giải:
Quãng đường đi trong 2h đầu: S1 = v1.t1 = 60.2 = 120 km
Quãng đường đi trong 3h sau: S2 = v2.t2 = 40.3 = 120 km
Tốc độ trung bình của xe trong suốt thời gian chuyển động:
Bài 2: Một xe đi nửa đoạn đường đầu tiên với tốc độ trung bình v1 = 12 km/h và nửa đoạn đường sau với tốc độ trung bình v2 = 20 km/h. Tính tốc độ trung bình trên cả đoạn đường.
Lời giải:
Thời gian đi nửa đoạn đường đầu:
Thời gian đi nửa đoạn đường cuối:
Tốc độ trung bình:
Bài 3: Một ô tô đi trên con đường bằng phẳng với v = 60 km/h, trong thời gian 5 phút, sau đó lên dốc 3 phút với v = 40 km/h. Coi ôtô chuyển động thẳng đều. Tính quãng đường ô tô đã đi trong cả giai đoạn.
Lời giải:
Bài 4: Một ô tô đi từ A đến B. Đầu chặng ô tô đi 1/4 tổng thời gian với v = 50 km/h. Giữa chặng ô tô đi 1/2 thời gian với v = 40 km/h. Cuối chặng ô tô đi 1/4 tổng thời gian với v = 20 km/h. Tính tốc độ trung bình của ô tô?
Lời giải:
Quãng đường đi đầu chặng:
Quãng đường chặng giữa:
Quãng đường đi chặng cuối:
Tốc độ trung bình:
Bài 5: Hai xe cùng chuyển động đều trên đường thẳng. Nếu chúng đi ngược chiều thì cứ 30 phút khoảng cách của chúng giảm 40km. Nếu chúng đi cùng chiều thì cứ sau 20 phút khoảng cách giữa chúng giảm 8km. Tính vận tốc mỗi xe.
Lời giải:
Chọn chiều dương là chiều chuyển động của mỗi xe.
Nếu đi ngược chiều thì
Nếu đi cùng chiều thì
Giải (1) (2): v1 = 52 km/h ; v2 = 28 km/h
B. Bài tập trắc nghiệm
Câu 1: Tốc độ trung bình bằng tổng quãng đường chia tổng thời gian đi hết quãng đường đó:
A.7m/s B.5,71m/s C. 2,85m/s D. 0,7m/s
Lời giải:
Tốc độ trung bình bằng tổng quãng đường chia tổng thời gian đi hết quãng đường đó:
Câu 2: Một vật chuyển động thẳng không đổi chiều. Trên quãng đường AB, vật đi nửa quãng đường đầu với vận tốc v1 = 20m/s, nửa quãng đường sau vật đi với vận tốc v2 = 5m/s. Vận tốc trung bình trên cả quãng đường là:
A.12,5m/s B. 8m/s C. 4m/s D.0,2m/s
Lời giải:
Câu 3: Một xe chuyển động thẳng không đổi chiều; 2 giờ đầu xe chạy với vận tốc trung bình 60 km/h, 3 giờ sau xe chạy với vận tốc trung bình 40km/h. Vận tốc trung bình của xe trong suốt thời gian chạy là:
A. 50km/h B. 48 km/h C. 44km/h D. 34km/h
Lời giải:
Câu 4: Một xe chuyển động thẳng không đổi chiều có vận tốc trung bình là 20 km/h trên 1/4 đoạn đường đầu và 40 km/h trên 3/4 đoạn đường còn lại. Vận tốc trung bình của xe trên cả đoạn đường là :
A. 30km/h B. 32 km/h C. 128km/h D. 40km/h
Lời giải:
Câu 5: Một xe chuyển động thẳng không đổi chiều, trong nửa thời gian đầu xe chạy với vận tốc 12 km/h. Trong nửa thời gian sau xe chạy với vận tốc 18 km/h. Vận tốc trung bình trong suốt thời gian đi là:
A.15km/h B.14,5km/h C. 7,25km/h D. 26km/h
Lời giải:
Câu 6: Một người đi xe đạp không đổi chiều trên 2/3 đoạn đường đầu với vận tốc trung bình 10 km/h và 1/3 đoạn đường sau với vận tốc trung bình 20 km/h. Vận tốc trung bình của người đi xe đạp trên cả quảng đường là
A. 12km/h B. 15km/h C. 17km/h D. 13,3km/h
Lời giải:
Câu 7: Thế nào là chuyển động thẳng đều?
A. Chuyển động thẳng đều là chuyển động có quỹ đạo là đường thẳng và có tốc độ trung bình như nhau trên mọi quãng đường
B. Chuyển động thẳng đều là chuyển động trên đường thẳng, có vectơ vận tốc không đổi theo thời gian
C. Chuyển động thẳng đều là chuyển động trên đường thẳng, vật đi được những quãng đường bằng nhau trong những khoảng thời gian bằng nhau
D. Cả 3 đáp án trên
Lời giải:
Chọn D
Câu 8: Chọn đáp án đúng:
Trong chuyển động thẳng đều:
A. Quãng đường đi được s tỉ lệ nghịch với tốc độ v
B. Tọa độ x tỉ lệ thuận với tốc độ v
C. Tọa độ x tỉ lệ thuận với thời gian chuyển động t
D. Quãng đường đi được s tỉ lệ thuận với thời gian chuyển động t
Lời giải:
Chọn D
Câu 9: Công thức tính tốc độ trung bình là:
Lời giải:
Chọn C
Câu 10: Chọn câu phát biểu ĐÚNG. Trong chuyển động thẳng đều thì :
A. Quãng đường đi được s tăng tỉ lệ với vận tốc v.
B. Tọa độ x tăng tỉ lệ với vận tốc v.
C. Tọa độ x tỉ lệ thuận với thời gian chuyển động t.
D. Quãng đường đi được s tỉ lệ thuận với thời gian chuyển động t.
Lời giải:
Chọn D
C. Bài tập bổ sung
Bài 1: Một xe chạy trong 6 giờ, 2 giờ đầu xe chạy với tốc độ trung bình 60km/h, 4 giờ sau xe chạy với tốc độ 40 km/h. Tính tốc độ trung bình của xe trong suốt thời gian chuyển động.
Bài 2: Một xe chạy trong 5 h, 2 h đầu xe chạy với tốc độ trung bình 60 km/h, 3 h sau xe chạy với tốc độ trung bình 40 km/h.Tính tốc độ trung bình của xe trong suốt thời gian chuyển động.
Bài 3: Một xe đi nửa đoạn đường đầu tiên với tốc độ trung bình v1 = 12km/h và nửa đoạn đường sau với tốc độ trung bình v2 = 20km/h. Tính tốc độ trung bình trên cả đoạn đường.
Bài 4: Một ô tô đi từ A đến B. Đầu chặng ô tô di 1/4 thời gian với v = 50 km/h. Giữa chặng ô tô đi 1/2 thời gian với v = 40 km/h. Cuối chặng ô tô đi 1/4 tổng thời gian với v = 20 km/h. Tính vận tốc trung bình của ô tô?
Bài 5: Một người đi xe máy từ A tới B cách 45 km. Trong nửa thời gian đầu đi với vận tốc v1, nửa thời gian sau đi với v2 = 2/3v1. Xác định v1, v2 biết sau 1h30 phút nguời đó đến B.
Bài 6: Một ôtô đi trên con đường bằng phẳng với v = 60 km/h, sau đó lên dốc 3 phút với v = 40 km/h. Coi ô tô chuyển động thẳng đều. Tính quãng đường ô tô đã đi trong cả giai đoạn.
Bài 7: Một ôtô đi trên quãng đường AB với v = 54 km/h. Nếu tăng vận tốc thêm 6 km/h thì ô tô đến B sớm hơn dự định 30 phút. Tính quãng đường AB và thời gian dự định để đi quãng đường đó.
Bài 8: Một ôtô đi trên quãng đường AB với v = 54 km/h. Nếu giảm vận tốc đi 9 km/h thì ôtô đến B trễ hơn dự định 45 phút. Tính quãng đường AB và thời gian dự tính để đi quãng đường đó.
Bài 9: Hai xe cùng chuyển động đều trên đường thẳng. Nếu chúng đi ngược chiều thì cứ 30 phút khoảng cách của chúng giảm 40 km. Nếu chúng đi cùng chiều thì cứ sau 20 phút khoảng cách giữa chúng giảm 8 km. Tính vận tốc mỗi xe.
Bài 10: Một người đi xe máy từ A đến B cách nhau 2 400 m. Nửa quãng đường đầu, xe đi với v1, nửa quãng đường sau đi với v2 = 1/2v1. Xác định v1, v2 sao cho sau 10 phút xe tới B.
(199k) Xem Khóa học Vật Lí 10 KNTTXem Khóa học Vật Lí 10 CDXem Khóa học Vật Lí 10 CTST
Xem thêm các dạng bài tập Vật Lí lớp 10 chọn lọc có đáp án hay khác:
- Dạng 1: Cách xác định vận tốc, quãng đường, thời gian trong chuyển động thẳng đều (hay, chi tiết)
- Dạng 2: Viết phương trình chuyển động thẳng đều
- Dạng 3: Vẽ đồ thị của chuyển động thằng đều
Để học tốt lớp 10 các môn học sách mới:
- Giải bài tập Lớp 10 Kết nối tri thức
- Giải bài tập Lớp 10 Chân trời sáng tạo
- Giải bài tập Lớp 10 Cánh diều
Tủ sách VIETJACK shopee lớp 10-11 (cả 3 bộ sách):
Đã có app VietJack trên điện thoại, giải bài tập SGK, SBT Soạn văn, Văn mẫu, Thi online, Bài giảng....miễn phí. Tải ngay ứng dụng trên Android và iOS.
Theo dõi chúng tôi miễn phí trên mạng xã hội facebook và youtube:Nếu thấy hay, hãy động viên và chia sẻ nhé! Các bình luận không phù hợp với nội quy bình luận trang web sẽ bị cấm bình luận vĩnh viễn.
- Giải Tiếng Anh 10 Global Success
- Giải Tiếng Anh 10 Friends Global
- Giải sgk Tiếng Anh 10 iLearn Smart World
- Giải sgk Tiếng Anh 10 Explore New Worlds
- Lớp 10 - Kết nối tri thức
- Soạn văn 10 (hay nhất) - KNTT
- Soạn văn 10 (ngắn nhất) - KNTT
- Soạn văn 10 (siêu ngắn) - KNTT
- Giải sgk Toán 10 - KNTT
- Giải sgk Vật lí 10 - KNTT
- Giải sgk Hóa học 10 - KNTT
- Giải sgk Sinh học 10 - KNTT
- Giải sgk Địa lí 10 - KNTT
- Giải sgk Lịch sử 10 - KNTT
- Giải sgk Kinh tế và Pháp luật 10 - KNTT
- Giải sgk Tin học 10 - KNTT
- Giải sgk Công nghệ 10 - KNTT
- Giải sgk Hoạt động trải nghiệm 10 - KNTT
- Giải sgk Giáo dục quốc phòng 10 - KNTT
- Lớp 10 - Chân trời sáng tạo
- Soạn văn 10 (hay nhất) - CTST
- Soạn văn 10 (ngắn nhất) - CTST
- Soạn văn 10 (siêu ngắn) - CTST
- Giải Toán 10 - CTST
- Giải sgk Vật lí 10 - CTST
- Giải sgk Hóa học 10 - CTST
- Giải sgk Sinh học 10 - CTST
- Giải sgk Địa lí 10 - CTST
- Giải sgk Lịch sử 10 - CTST
- Giải sgk Kinh tế và Pháp luật 10 - CTST
- Giải sgk Hoạt động trải nghiệm 10 - CTST
- Lớp 10 - Cánh diều
- Soạn văn 10 (hay nhất) - Cánh diều
- Soạn văn 10 (ngắn nhất) - Cánh diều
- Soạn văn 10 (siêu ngắn) - Cánh diều
- Giải sgk Toán 10 - Cánh diều
- Giải sgk Vật lí 10 - Cánh diều
- Giải sgk Hóa học 10 - Cánh diều
- Giải sgk Sinh học 10 - Cánh diều
- Giải sgk Địa lí 10 - Cánh diều
- Giải sgk Lịch sử 10 - Cánh diều
- Giải sgk Kinh tế và Pháp luật 10 - Cánh diều
- Giải sgk Tin học 10 - Cánh diều
- Giải sgk Công nghệ 10 - Cánh diều
- Giải sgk Hoạt động trải nghiệm 10 - Cánh diều
- Giải sgk Giáo dục quốc phòng 10 - Cánh diều


Giải bài tập SGK & SBT
Tài liệu giáo viên
Sách
Khóa học
Thi online
Hỏi đáp

