100 câu trắc nghiệm Điện tích, Điện trường có lời giải (nâng cao - phần 2)
Với 100 câu trắc nghiệm Điện tích, Điện trường (nâng cao - phần 2) có lời giải chi tiết sẽ giúp học sinh ôn tập, biết cách làm trắc nghiệm Điện tích, Điện trường (nâng cao - phần 2).
100 câu trắc nghiệm Điện tích, Điện trường có lời giải (nâng cao - phần 2)
(199k) Học Vật Lí 11 KNTTHọc Vật Lí 11 CDHọc Vật Lí 11 CTST
Bài 1: Một điện tích q đặt trong môi trường điện môi. Tại M cách q 40 cm, điện trường có cường độ 9.105 V/m và hướng về điện tích q, biết hằng số điện môi của môi trường là 2,5. Xác định dấu và độ lớn của q.
A. - 40μC
B. 40μC
C. -36μC
D. 36μC
Lời giải:
Đáp án: A
HD Giải: Véc tơ cường độ điện trường hướng về q => q < 0
Bài 2: Một điện tích q = 10-7 C đặt trong điện trường của một điện tích điểm Q, chịu tác dụng của lực F = 3 mN. Tính độ lớn điện tích Q và cường độ điện trường tại điểm đặt điện tích q. Biết rằng hai điện tích cách nhau một khoảng 30 cm trong chân không.
A. Q = 3.10-7 C và E = 2.104 V/m
B. Q = 3.10-7 C và E = 3.104 V/m
C. Q = 3.10-6 C và E = 4.104 V/m
D. Q = 3.10-6 C và E = 5.104 V/m
Lời giải:
Đáp án: B
HD Giải:
Bài 3: Câu 3. Điện tích q đặt tại O trong không khí, Ox là một đường sức điện. Lấy hai điểm A, B trên Ox, gọi M là trung điểm AB, EA là cường độ điện trường tại A, EB là cường độ điện trường tại B. Cường độ điện trường tại M là
Lời giải:
Đáp án: D
HD Giải: M là trung điểm AB => rM = 1/2(rA + rB)
E tỉ lệ với 1/r2
Bài 4: Cường độ điện trường của một điện tích điểm tại A và B lần lượt là 36 V/m và 9 V/m. Tìm cường độ điện trường tại trung điểm của A và B
A. 30 V/m
B. 25 V/m
C. 16 V/m
D. 12 V/m
Lời giải:
Đáp án: C
HD Giải: M là trung điểm AB => rM = 1/2(rA + rB)
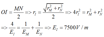
Bài 5: Tại điểm O trong không khí có một điện tích điểm. Hai điểm MN trong môi trường sao cho OM vuông góc ON. Cường độ điện trường tại M và N lần lượt là 5000 V/m và 3000 V/m. Cường độ điện trường tại trung điểm MN là?
A. 4000 V/m
B. 7500 V/m
C. 8000 V/m
D. 15000 V/m
Lời giải:
Đáp án: B
HD Giải: E tỉ lệ với 1/r2 => r2 tỉ lệ với 1/E
Bài 6: Tại điểm O trong không khí có một điện tích điểm. Hai điểm MN trong môi trường sao cho OM vuông góc ON. Cường độ điện trường tại M và N lần lượt là 1000 V/m và 1500 V/m. Gọi H là chân đường cao vuông góc từ O xuống MN. Cường độ điện trường H là?
A. 500 V/m
B. 2500 V/m
C. 2000 V/m
D. 5000 V/m
Lời giải:
Đáp án: B
HD Giải: E tỉ lệ với 1/r2
EH = EM + EN = 2500V/m
Bài 7: Một điện tích điểm đặt tại O trong không khí. O, A, B theo thứ tự là các điểm trên đường sức điện. M là trung điểm của A và B. Cường độ điện trường tại A và M lần lượt là 4900 V/m và 1600 V/m. Cường độ điện trường tại B là
A. 250 V/m
B. 154 V/m
C. 784 V/m
D. 243 V/m
Lời giải:
Đáp án: C
HD Giải: E tỉ lệ với 1/r2
Bài 8: Câu 8. Một điện tích điểm Q đặt trong không khí. Cường độ điện trường do Q gây ra tại A và B lần lượt là EA, EB , r là khoảng cách từ A đến Q. EA hợp với EB một góc 30o và EA = 3EB. Khoảng cách A và B là
A. r
B. r√2
C. 2r
D. 3r
Lời giải:
Đáp án: A
HD Giải: EA và EB hợp với nhau góc 60o => Góc AOB = 60o
EA = 3EB => OB = OA√3 = r√3
Bài 9: Cho hai điện tích q1 = 0,5 nC, q2 = - 0,5 nC, đặt tại A và B trong không khí, biết AB = 6 cm. Xác định độ lớn vectơ cường độ điện trường tại trung điểm AB.
A. 104 V/m
B. 103 V/m
C. 2.104 V/m
D. 3.104 V/m
Lời giải:
Đáp án: A
HD Giải:
EM = E1 + E2 = 10000 V/m
Bài 10: Cho hai điện tích q1 = - 4.10-10 C, q2 = 4.10-10 C, đặt tại A và B trong không khí biết AB = 2 cm. Xác định vectơ cường độ điện trường tại N, biết NA = 1 cm, NB = 3 cm.
A. 32. 104 V/m
B. 32. 103 V/m
C. 16. 104 V/m
D. 16. 103 V/m
Lời giải:
Đáp án: B
HD Giải:
EN = E1 - E2 = 32000 V/m
Bài 11: Tại 2 điểm A và B cách nhau 5 cm trong chân không có 2 điện tích q1 =16.10-8C và q2=- 9.10-8C. Xác định độ lớn cường độ điện trường tại C cách A 4 cm và cách B 3 cm.
A. 12,7.105 V/m
B. 17,2.105 V/m
C. 12,7.104 V/m
D. 17,2.104 V/m
Lời giải:
Đáp án: B
HD Giải: CA2 + CB2 = AB2 nên tam giác CAB vuông tại C
Bài 12: Cho hai điện tích q1 = q2 = 4.10-10 C, đặt tại A và B trong không khí biết AB = 2 cm. Xác định độ lớn cường độ điện trường tại M, biết rằng MAB là một tam giác đều.
A. 15588V/m
B. 900000 V/m
C. 4,5.104 V/m
D. 18,5.104 V/m
Lời giải:
Đáp án: A
HD Giải:
Bài 13: Cho hai điện tích q1 = 0,5 nC, q2 = - 0,5 nC, đặt tại A và B trong không khí, cách nhau 6 cm. Xác định độ lớn vectơ cường độ điện trường tại M nằm trên đường trung trực của AB và cách AB một đoạn 4cm
A. 2160 V/m
B. 2222 V/m
C. 20000 V/m
D. 30000 V/m
Lời giải:
Đáp án: A
HD Giải: AM2 = 32 + 42 => AM = 5 cm
Bài 14: Câu 14. Đặt tại hai đỉnh A và B của một tam giác vuông cân ABC (AC = AB = 30 cm) lần lượt các điện tích điểm q1 = 3.10-7 C và q2 < 0 trong không khí. Biết cường độ điện trường tổng hợp tại C có giá trị 5.104 V/m. Điện tích q2 có độ lớn là
A. 6.10-6 C
B. 4.10-6 C
C. 1,33.10-6 C
D. 2.10-6 C
Lời giải:
Đáp án: C
HD Giải:
Bài 15: Câu 15. Tại 3 đỉnh của tam giác ABC vuông tại A cạnh BC = 50 cm, AC = 40 Cm, AB = 30 cm ta đặt các điện tích q1 = q2 = q3 = 10-9 C. Tìm độ lớn cường độ điện trường tại H là chân đường cao kẻ từ A.
A. 400 V/m
B. 246 V/m
C. 254 V/m
D. 175 V/m
Lời giải:
Đáp án: B
HD Giải: Áp dụng hệ thức lượng trong tam giác vuông ta tìm được: HC = 32cm, HB = 18cm, HA = 24 cm
Bài 16: Đặt 4 điện tích có cùng độ lớn q tại bốn đỉnh của một hình vuông ABCD cạnh a với điện tích dương tại A và C, điện tích âm tại B và D. Tìm độ lớn cường độ điện trường tại giao điểm hai đường chéo của hình vuông.
A. 0 V/m
B. 2222 V/m
C. 20000 V/m
D. 30000 V/m
Lời giải:
Đáp án: A
HD Giải: Ta có E1 = E2 = E3 = E4 (cùng độ lớn điện tích, cùng khoảng cách)
Bài 17: Tại 3 đỉnh của một hình vuông cạnh a, đặt 3 điện tích dương có cùng độ lớn q. Tìm độ lớn cường độ điện trường tại đỉnh còn lại của hình vuông.
Lời giải:
Đáp án: D
HD Giải:
Bài 18: Hai điện tích q1 = 2.10-6 C và q2 = - 8.10-6 C lần lượt đặt tại hai điểm A và B với AB = 12 cm. Gọi E1, E2 là cường độ điện trường do q1 và q2 gây ra tại M với E2 = 16E1 . Điểm M có vị trí
A. nằm trong AB với AM = 8 cm.
B. nằm trong AB với AM = 9,6 cm.
C. nằm ngoài AB với AM = 9,6 cm.
D. nằm ngoài AB với AM = 8 cm.
Lời giải:
Đáp án: A
HD Giải: q1 và q2 trái dấu, để E2 = 16E1 thì M phải nằm trong đoạn AB
=> r1 = 2r2 và r1 + r2 = 12 => r1 = 8cm
Bài 19: Hai điện tích q1 = 2.10-6 C và q2 = - 8.10-6 C lần lượt đặt tại hai điểm A và B với AB = 10 cm. Xác định điểm M trên đường AB mà tại đó E2 = 4E1
A. M nằm trong AB với AM = 2,5 cm.
B. M nằm trong AB với AM = 5 cm.
C. M nằm ngoài AB với AM = 2,5 cm.
D. M nằm ngoài AB với AM = 5 cm.
Lời giải:
Đáp án: B
HD Giải: q1 và q2 trái dấu, để E2 = 4E1 thì M phải nằm trong đoạn AB
=> r1 = r2 và r1 + r2 = 10 => r1 = 5cm
Bài 20: Hai điện tích q1 < 0 và q2 > 0 với |q2| > |q1| đặt tại hai điểm A và B như hình vẽ (I là trung điểm của AB). Điểm M có độ điện trường tổng hợp do hai điện tích này gây ra bằng 0 nằm trên
A. AI.
B. IB.
C. By.
D. Ax.
Lời giải:
Đáp án: D
HD Giải: Để cường độ điện trường tại M bằng 0 thì hai vecto E1 và E2 do q1 gây ra và do q2 gây ra phải ngược chiều và cùng độ lớn nên M nằm trên đường thẳng AB và ngoài đoạn AB
Bài 21: Hai điện tích điểm q1= 4μC và q2 = - 9μC đặt tại hai điểm A và B cách nhau 9cm trong chân không. Điểm M có cường độ điện trường tổng hợp bằng O cách B một khoảng
A. 18cm
B. 9cm
C. 27cm
D. 4,5cm
Lời giải:
Đáp án: C
HD Giải: Để cường độ điện trường tại M bằng 0 thì hai vecto E1 do q1 gây ra và E2 do q2 gây ra phải ngược chiều và cùng độ lớn nên M nằm trên đường thẳng AB và ngoài đoạn AB
Do |q2| > |q1| nên r1 < r2 => r1 = r2 - AB, E1 = E2
=> r2 = 3/2(r2 - AB) => r2 = 27cm
Bài 22: Trong chân không có hai điện tích điểm q1 = 2.10-8 C và q2= -32.10-8C đặt tại hai điểm A và B cách nhau một khoảng 30 cm. Xác định vị trí điểm M tại đó cường độ điện trường bằng không.
A. MA = 10 cm, MB = 40 cm
B. MA = 40 cm, MB = 10 cm
C. MA = 20 cm, MB = 10 cm
D. MA = 10 cm, MB = 20 cm
Lời giải:
Đáp án: A
HD Giải: Để cường độ điện trường tại M bằng 0 thì hai vecto E1 do q1 gây ra và E2 do q2 gây ra phải ngược chiều và cùng độ lớn nên M nằm trên đường thẳng AB và ngoài đoạn AB
Do |q2| > |q1| nên r1 < r2 => r1 = r2 - AB, E1 = E2
=> r2 = 4(r2 - AB) => r2 = 40cm và r1 = 10 cm
Bài 23: Cho hai điện tích điểm q1 và q2 đặt ở A và B trong không khí, AB = 100 cm. Tìm điểm C mà tại đó cường độ điện trường bằng không với q1= 36.10-6 C, q2 = 4.10-6 C.
A. CA= 25cm, CB= 75cm
B. CA= 75cm, CB= 25cm.
C. CA= 25cm, CB= 125cm
D. CA= 75cm, CB= 175cm.
Lời giải:
Đáp án: B
HD Giải: Để cường độ điện trường tại M bằng 0 thì hai vecto E1 do q1 gây ra và E2 do q2 gây ra phải ngược chiều và cùng độ lớn nên M nằm trên đường thẳng AB và trong đoạn AB
r1 + r2 = AB, E1 = E2
=> 3r2 + r2 = 100 => r2 = 25 cm và r1 = 75 cm
Bài 24: Cho hai điện tích điểm q1 và q2 đặt ở A và B trong không khí, AB = 100 cm. Tìm điểm C mà tại đó cường độ điện trường bằng không với q1= - 36.10-6 C, q2 = 4.10-6 C.
A. CA= 50 cm, CB = 150 cm.
B. CA= 50 cm, CB= 50 cm.
C. CA= 150 cm, CB= 50 cm.
D. CA= 150 cm, CB= 250 cm.
Lời giải:
Đáp án: C
HD Giải:Để cường độ điện trường tại M bằng 0 thì hai vecto E1 do q1 gây ra và E2 do q2 gây ra phải ngược chiều và cùng độ lớn nên M nằm trên đường thẳng AB và ngoài đoạn AB
Do |q1| > |q2| nên r1 > r2 => r2 = r1 - AB, E1 = E2
=> r1 = 3(r1 - AB) => r1 = 150cm và r2 = 50 cm
Bài 25: Cho hai điện tích điểm q1, q2 đặt tại A và B, AB= 2 cm. Biết q1 + q2 = 7.10-8 C và điểm M cách q1 là 6 cm, cách q2 là 8 cm có cường độ điện trường bằng E = 0. Tìm q1 và q2 ?
A. q1= -9.10-8 C, q2= 16.10-8 C
B. q1= 9.10-8 C, q2= 16.10-8 C
C. q1= -16.10-8 C, q2= 9.10-8 C
D. q1= 16.10-8 C, q2= -9.10-8 C
Lời giải:
Đáp án: A
HD Giải: Vì cường độ điện trường tại M bằng 0 nên hai vecto E1 do q1 gây ra và E2 do q2 gây ra phải ngược chiều và cùng độ lớn nên M nằm trên đường thẳng AB
r1 < r2 và r1 + AB = r2 nên q1 và q2 trái dấu và |q1| < |q2|
=> 64q1 + 36q2 = 0 và q1 + q2 = 7.10-8
=> q1= -9.10-8 C, q2= 16.10-8 C
Bài 26: Một hạt bụi tích điện có khối lượng m=10-8g nằm cân bằng trong điện trường đều có hướng thẳng đứng xuống dưới và có cường độ E= 1000V/m, lấy g=10m/s2. Điện tích của hạt bụi là
A. - 10-13 C
B. 10-13 C
C. - 10-10 C
D. 10-10 C
Lời giải:
Đáp án: A
HD Giải: Hạt bụi nằm cân bằng nên Fđ hướng lên => q < 0
Fđ = P ⇔ |q|E = mg ⇔ |q|.1000 = 10-8.10-3.10 ⇔ q = -10-13 C
Bài 27: Một hạt bụi nhỏ có khối lượng m = 0,1 mg, nằm lơ lững trong điện trường giữa hai bản kim loại phẵng. Các đường sức điện có phương thẳng đứng và chiều hướng từ dưới lên trên. Hiệu điện thế giữa hai bản là 120 V. Khoảng cách giữa hai bản là 1 cm. Xác định điện tích của hạt bụi. Lấy g = 10 m/s2
A. – 8,3. 10-13 C
B. 8,3.10-11 C
C. – 8,3.10-11 C
D. 8,3.10-10 C
Lời giải:
Đáp án: B
HD Giải: Hạt bụi nằm cân bằng nên Fđ hướng lên => q > 0
Fđ = P ⇔ |q|E = mg ⇔ q.U/d = mg
Bài 28: Một giọt thuỷ ngân có khối lượng m = 0,1 mg, nằm lơ lững trong điện trường giữa hai bản kim loại phẵng. Các đường sức điện có phương thẳng đứng và chiều hướng từ dưới lên trên. Hiệu điện thế giữa hai bản là 1000 V. Khoảng cách giữa hai bản là 1 cm. Khi điện dích giọt thuỷ ngân này giảm đi 20%. Tìm hiệu điện thế lúc này để giọt thuỷ ngân nằm cân bằng. Lấy g = 10 m/s2
A. 0,125. 102 C
B. 12,5.102 C
C. 125.102 C
D. 1,25.102 C
Lời giải:
Đáp án: B
HD Giải: Lúc đầu giọt thuỷ ngân nằm cân bằng nên Fđ hướng lên => q > 0
Fđ = P ⇔ |q|E = mg ⇔ q.U/d = mg
Lúc sau: q’ = 0,8q, Để giọt thuỷ ngân nằm cân bằng F’đ = P ⇔ |q’|E = mg ⇔ q'.U'/d = mg
=> qU = q’U’ => U' = q/q'.U = U/0,8 = 1250V
Bài 29: Một electron ở trong một điện trường đều thu gia tốc a = 1012m/s2 . Độ lớn của cường độ điện trường là
A. 6,8765V/m
B. 5,6875V/m
C. 9,7524V/m
D. 8,6234V/m
Lời giải:
Đáp án: B
HD Giải: F = qE = ma
Bài 30: Một quả cầu nhỏ khối lượng 3,06.10-15kg, mang điện tích 4,8.10-18C nằm lơ lửng giữa hai tấm kim loại song song nằm ngang, nhiễm điện trái dấu, cách nhau 2cm. Lấy g=10m/s2. Hiệu điện thế giữa hai tấm kim loại bằng
A. 255V
B. 127,5V
C. 63,75V
D. 734,4V
Lời giải:
Đáp án: B
HD Giải: Fđ = P ⇔ |q|E = mg ⇔ q.U/d = mg
(199k) Học Vật Lí 11 KNTTHọc Vật Lí 11 CDHọc Vật Lí 11 CTST
Xem thêm các dạng bài tập Vật Lí lớp 11 có trong đề thi Tốt nghiệp THPT khác:
- 100 câu trắc nghiệm Điện tích, Điện trường có lời giải (cơ bản - phần 1)
- 100 câu trắc nghiệm Điện tích, Điện trường có lời giải (cơ bản - phần 2)
- 100 câu trắc nghiệm Điện tích, Điện trường có lời giải (cơ bản - phần 3)
- 100 câu trắc nghiệm Điện tích, Điện trường có lời giải (nâng cao - phần 1)
- 100 câu trắc nghiệm Điện tích, Điện trường có lời giải (nâng cao - phần 3)
Tủ sách VIETJACK shopee lớp 10-11 (cả 3 bộ sách):
Đã có app VietJack trên điện thoại, giải bài tập SGK, SBT Soạn văn, Văn mẫu, Thi online, Bài giảng....miễn phí. Tải ngay ứng dụng trên Android và iOS.
Theo dõi chúng tôi miễn phí trên mạng xã hội facebook và youtube:Nếu thấy hay, hãy động viên và chia sẻ nhé! Các bình luận không phù hợp với nội quy bình luận trang web sẽ bị cấm bình luận vĩnh viễn.
- Giải Tiếng Anh 11 Global Success
- Giải sgk Tiếng Anh 11 Smart World
- Giải sgk Tiếng Anh 11 Friends Global
- Lớp 11 - Kết nối tri thức
- Soạn văn 11 (hay nhất) - KNTT
- Soạn văn 11 (ngắn nhất) - KNTT
- Giải sgk Toán 11 - KNTT
- Giải sgk Vật Lí 11 - KNTT
- Giải sgk Hóa học 11 - KNTT
- Giải sgk Sinh học 11 - KNTT
- Giải sgk Lịch Sử 11 - KNTT
- Giải sgk Địa Lí 11 - KNTT
- Giải sgk Giáo dục KTPL 11 - KNTT
- Giải sgk Tin học 11 - KNTT
- Giải sgk Công nghệ 11 - KNTT
- Giải sgk Hoạt động trải nghiệm 11 - KNTT
- Giải sgk Giáo dục quốc phòng 11 - KNTT
- Giải sgk Âm nhạc 11 - KNTT
- Lớp 11 - Chân trời sáng tạo
- Soạn văn 11 (hay nhất) - CTST
- Soạn văn 11 (ngắn nhất) - CTST
- Giải sgk Toán 11 - CTST
- Giải sgk Vật Lí 11 - CTST
- Giải sgk Hóa học 11 - CTST
- Giải sgk Sinh học 11 - CTST
- Giải sgk Lịch Sử 11 - CTST
- Giải sgk Địa Lí 11 - CTST
- Giải sgk Giáo dục KTPL 11 - CTST
- Giải sgk Hoạt động trải nghiệm 11 - CTST
- Giải sgk Âm nhạc 11 - CTST
- Lớp 11 - Cánh diều
- Soạn văn 11 Cánh diều (hay nhất)
- Soạn văn 11 Cánh diều (ngắn nhất)
- Giải sgk Toán 11 - Cánh diều
- Giải sgk Vật Lí 11 - Cánh diều
- Giải sgk Hóa học 11 - Cánh diều
- Giải sgk Sinh học 11 - Cánh diều
- Giải sgk Lịch Sử 11 - Cánh diều
- Giải sgk Địa Lí 11 - Cánh diều
- Giải sgk Giáo dục KTPL 11 - Cánh diều
- Giải sgk Tin học 11 - Cánh diều
- Giải sgk Công nghệ 11 - Cánh diều
- Giải sgk Hoạt động trải nghiệm 11 - Cánh diều
- Giải sgk Giáo dục quốc phòng 11 - Cánh diều
- Giải sgk Âm nhạc 11 - Cánh diều


Giải bài tập SGK & SBT
Tài liệu giáo viên
Sách
Khóa học
Thi online
Hỏi đáp

