100 câu trắc nghiệm Dòng điện không đổi có lời giải (nâng cao - phần 2)
Với 100 câu trắc nghiệm Dòng điện không đổi (nâng cao - phần 2) có lời giải chi tiết sẽ giúp học sinh ôn tập, biết cách làm câu trắc nghiệm Dòng điện không đổi (nâng cao - phần 2).
100 câu trắc nghiệm Dòng điện không đổi có lời giải (nâng cao - phần 2)
(199k) Học Vật Lí 11 KNTTHọc Vật Lí 11 CDHọc Vật Lí 11 CTST
Bài 1: Một ấm điện được dùng với hiệu điện thế 220 V thì đun sôi được 1,5 lít nước từ nhiệt độ 20oC trong 10 phút. Biết nhiệt dung riêng của nước là 4190 J/(kg.K), khối lượng riêng của nước là 1000 kg/m3 và hiệu suất của ấm là 90%. Tính điện trở của ấm điện
A. 52 Ω
B. 25 Ω
C. 56 Ω
D. 65 Ω
Lời giải:
Đáp án: A
HD Giải:
Bài 2: Một bàn là điện khi được sử dụng với hiệu điện thế 220V thì dòng điện chạy qua bàn là có cường độ là 5A. Tính tiền điện phải trả cho việc sử dụng bàn là này trong 30 ngày, mỗi ngày 20 phút, cho rằng giá tiền điện là 1500 đ/(kW.h)
A. 16500 đ
B. 15600 đ
C. 8250 đ
D. 31200 đ
Lời giải:
Đáp án: A
HD Giải: A = UIt = 220.5.30.20.60 = 39600000J = 11 kW.h
Tiền điện phải trả là 11.1500 = 16500 đ
Bài 3: Một nguồn điện có suất điện động 2 V thì khi thực hiện một công 10 J, lực lạ đã dịch chuyển một điện lượng qua nguồn là
A. 50 C.
B. 20 C.
C. 20 C.
D. 5 C.
Lời giải:
Đáp án: D
HD Giải: E = A/q => q = A/E = 10/2 = 5C
Bài 4: Câu 4. Một ác quy có suất điện động 2V, điện trở trong 1Ω và có dung lượng 240A.h. Điện năng của ác quy là
A. 480 (J)
B. 0,864.106 (J)
C. 1,728.106(J)
D. 7200(J)
Lời giải:
Đáp án: C
HD Giải: A = EIt = Eq = 2.240.3600 = 1728000 J
Bài 5: Khi nối hai cực của nguồn với một mạch ngoài thì công của nguồn điện sản ra trong thời gian 1 phút là 720J. Công suất của nguồn bằng
A. 1,2W
B. 12W
C. 2,1W
D. 21W
Lời giải:
Đáp án: B
HD Giải: A = Pt => P = A/t = 720/60 = 12W
Bài 6: Một acquy có suất điện động là 12 V. Công suất của acquy này là bao nhiêu nếu có 3,4.1018 electron dịch chuyển trong acquy từ cực dương đến cực âm của nó trong một giây?
A. 6,528 W
B. 5,628 W
C. 8,625 W
D. 2,865 W
Lời giải:
Đáp án: A
HD Giải: I = qt = n|e|t = 3,4.1018.1,6.10-19.1 = 0,544 , P = UI = 12.0,544 = 6,528W
Bài 7: Cho một mạch điện gồm một pin 1,5 V có điện trở trong 0,5 Ω nối với mạch ngoài là một điện trở 2,5 Ω. Cường độ dòng điện trong toàn mạch là
A. 3A.
B. 3/5A.
C. 0,5 A.
D. 2A
Lời giải:
Đáp án: C
HD Giải:
Bài 8: Một mạch điện có nguồn là 1 pin 9 V, điện trở trong 0,5 Ω và mạch ngoài gồm 2 điện trở 8 Ω mắc song song. Cường độ dòng điện trong toàn mạch là
A. 2 A.
B. 4,5 A.
C. 1 A
D. 18/33 A.
Lời giải:
Đáp án: A
HD Giải: RN = R/2 = 8/2 = 4Ω
Bài 9: Câu 9. Một mạch điện gồm một pin 9 V, điện trở mạch ngoài 4 Ω, cường độ dòng điện trong toàn mạch là 2 A. Điện trở trong của nguồn là
A. 0,5 Ω.
B. 4,5 Ω.
C. 1 Ω.
D. 2 Ω.
Lời giải:
Đáp án: A
HD Giải:
Bài 10: Trong một mạch kín mà điện trở ngoài là 10 Ω, điện trở trong là 1 Ω có dòng điện là 2 A. Hiệu điện thế 2 đầu nguồn và suất điện động của nguồn là
A. 10 V và 12 V.
B. 20 V và 22 V.
C. 10 V và 2 V.
D. 2,5 V và 0,5 V.
Lời giải:
Đáp án: B
HD Giải: UN = IR = 2.10 = 20V, E = I(R+r) = 2(10+1) = 22V
Bài 11: Một mạch điện có điện trở ngoài bằng 5 lần điện trở trong. Khi xảy ra hiện trượng đoản mạch thì tỉ số giữa cường độ dòng điện đoản mạch và cường độ dòng điện không đoản mạch là
A. 5
B. 6
C. chưa đủ dữ kiện để xác định.
D. 4
Lời giải:
Đáp án: B
HD Giải: R = 5r
Bài 12: Một acquy 3 V, điện trở trong 20 mΩ, khi đoản mạch thì dòng điện qua acquy là
A. 150 A.
B. 0,06 A.
C. 15 A.
D. 20/3 A.
Lời giải:
Đáp án: A
HD Giải: I = E/r = 3/20.10-3 = 150A
Bài 13: Một nguồn điện có điện trở trong 0,1Ω được mắc với điện trở R = 4,8Ω thành mạch kín. Khi đó hiệu điện thế giữa hai cực của nguồn điện là 12V. Suất điện động và cường độ dòng điện trong mạch lần lượt bằng
A. 12V; 2,5A
B. 25,48V; 5,2A
C. 12,25V; 2,5A
D. 24,96V; 5,2A
Lời giải:
Đáp án: C
HD Giải: I = U/R = 12/4,8 = 2,5A; E = I(R+r) = 2,5 (4,8+0,1) = 12,25V
Bài 14: Cho 3 điện trở giống nhau cùng giá trị 8 Ω, hai điện trở mắc song song và cụm đó nối tiếp với điện trở còn lại. Đoạn mạch này được nối với nguồn có điện trở trong 2 Ω thì hiệu điện thế hai đầu nguồn là 12 V. Cường độ dòng điện trong mạch và suất điện động của mạch khi đó là
A. 1 A và 14 V.
B. 0,5 A và 13 V.
C. 0,5 A và 14 V.
D. 1 A và 13 V.
Lời giải:
Đáp án: A
HD Giải: RN = 8 + 8/2 = 12Ω, I = U/RN = 12/12 = 1A, E = I(R+r) = 1(12+2) = 14V
Bài 15: Một mạch điện có 2 điện trở 3 Ω và 6 Ω mắc song song được nối với một nguồn điện có điện trở trong 1 Ω. Hiệu suất của nguồn điện là
A. 1/9
B. 9/10
C. 2/3
D. 1/6
Lời giải:
Đáp án: C
HD Giải: RN = 3.6/(3+6) = 2Ω
Bài 16: Hai bóng đèn có điện trở 5 Ω mắc song song và nối vào một nguồn có điện trở trong 1 Ω thì cường độ dòng điện trong mạch là 12/7 A. Khi tháo một đèn ra thì cường độ dòng điện trong mạch là
A. 6/5 A.
B. 1 A
C. 5/6 A
D. 0 A
Lời giải:
Đáp án: B
HD Giải:
Khi tháo một bóng đèn
Bài 17: Một bộ 3 đèn giống nhau có điện trở 3 Ω được mắc nối tiếp với nhau và nối với nguồn 1 Ω thì dòng điện trong mạch chính 1 A. Khi tháo một bóng khỏi mạch thì dòng điện trong mạch chính là
A. 0 A.
B. 10/7 A
C. 1 A
D. 7/10 A
Lời giải:
Đáp án: B
HD Giải:
Khi tháo một bóng đèn
Bài 18: Câu 18. Cho mạch có 3 điện trở mắc nối tiếp lần lượt là 2 Ω, 3 Ω và 4Ω với nguồn điện 10 V, điện trở trong 1 Ω. Hiệu điện thế 2 đầu nguồn điện là
A. 9 V.
B. 10 V.
C. 1 V.
D. 8 V.
Lời giải:
Đáp án: A
HD Giải: RN = 2+3+4 = 9 Ω, , U = IR = 1.9 =9 V
Bài 19: Điện trở trong của một ác quy là 0,06Ω, trên vỏ của nó có ghi 12V. Mắc vào hai cực của ác quy một bóng đèn 12V–5W. Cường độ dòng điện qua đèn là
A. 0,146A
B. 0,416A
C. 2,405A
D. 0,2405A
Lời giải:
Đáp án: B
HD Giải:
Bài 20: Một bóng đèn ghi 6 V – 6 W được mắc vào một nguồn điện có điện trở 2 Ω thì sáng bình thường. Suất điện động của nguồn điện là
A. 6 V.
B. 36 V.
C. 8 V.
D. 12 V.
Lời giải:
Đáp án: C
HD Giải:
Đèn sáng bình thường I = Idm = 1A
E = I(Rd+r) = 1(6+2) = 8V
Bài 21: Một nguồn điện 9 V, điện trở trong 1 Ω được nối với mạch ngoài có hai điện trở giống nhau mắc nối tiếp thì cường độ dòng điện qua nguồn là 1 A. Nếu 2 điện trở ở mạch ngoài mắc song song thì cường độ dòng điện qua nguồn là
A. 3 A.
B. 1/3 A.
C. 9/4 A.
D. 2,5 A
Lời giải:
Đáp án: A
HD Giải: Hai điện trở mắc nối tiếp RN = 2R,
Hai điện trở mắc song song Rss = 4/2 = 2 Ω,
Bài 22: Một điện trở R1 được mắc vào hai cực của một nguồn điện có điện trở trong r = 4Ω thì dòng điện chạy trong mạch có cường độ I1=1,2A. Nếu mắc thêm một điện trở R2 = 2Ω nối tiếp với điện trở R1 thì dòng điện chạy trong mạch có cường độ I2=1A. Giá trị của điện trở R1 bằng
A. 5Ω
B. 6Ω
C. 7Ω
D. 8Ω
Lời giải:
Đáp án: B
HD Giải:
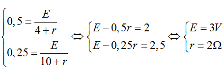
Bài 23: Khi mắc điện trở R1 = 4Ω vào hai cực của một nguồn điện thì dòng điện trong mạch có cường độ 0,5 A. Khi mắc điện trở R2 = 10Ω thì dòng điện trong mạch có cường độ 0,25 A. Tính suất điện động và điện trở trong của nguồn điện
A. E = 3V, r = 2Ω
B. E = 2V, r = 3Ω
C. E = 6V, r = 3Ω
D. E = 2V, r = 6Ω
Lời giải:
Đáp án: A
HD Giải:
Bài 24: Nguồn điện (E,r), khi điện trở mạch ngoài là R1 = 2Ω thì cường độ dòng điện qua R1 là I1=8. Khi điện trở mạch ngoài là R2 = 5Ω thì hiệu điện thế hai đầu nguồn là U2=25V. Tìm E và r.
A. E = 20V, r = 2Ω
B. E = 40V, r = 3Ω
C. E = 20V, r = 3Ω
D. E = 40V, r = 2Ω
Lời giải:
Đáp án: B
HD Giải:
Bài 25: Hai điện trở R1 = 2Ω, R2 = 6Ω , mắc vào nguồn (E, r). Khi R1 nối tiếp R2 cường độ trong mạch là 0,5A. Khi R1 song song R2 thì cường độ trong mạch là 1,8A. Tính E và r.
A. E = 9V, r = 2Ω
B. E = 2V, r = 1Ω
C. E = 4,5V, r = 1Ω
D. E = 4V, r = 2Ω
Lời giải:
Đáp án: C
HD Giải:
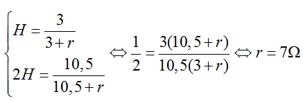
Bài 26: Biết rằng điện trở mạch ngoài của một nguồn điện tăng từ R1=3Ω đến R2=10,5Ω thì hiệu suất của nguồn tăng gấp 2 lần. Điện trở trong của nguồn bằng
A. 6Ω
B. 8Ω
C. 7Ω
D. 9Ω
Lời giải:
Đáp án: C
HD Giải:
Bài 27: Mắc một điện trở 14Ω vào hai cực của một nguồn điện có điện trở trong là 1Ω thì hiệu điện thế giữa hai cực của nguồn điện này là 8,4V. Công suất mạch ngoài và công suất của nguồn điện lần lượt bằng
A. PN = 5,04W; Png = 5,4W
B. PN = 5,4W; Png = 5,04W
C. PN = 84 W; Png = 90W
D. PN = 204,96W; Png = 219,6W
Lời giải:
Đáp án: A
HD Giải: I = U/R = 8,4/14 = 0,6A, PN = UI = 8,4.0,6 = 5,04W
Png = EI = I2(R+r) = 0,62(14+1) = 5,4W
Bài 28: Câu 28. Một điện trở 4Ω được mắc vào nguồn điện có suất điện động E=1,5V để tạo thành một mạch điện kín thì công suất toả nhiệt ở điện trở này bằng 0,36W. Điện trở trong của nguồn điện
A. 0,5Ω
B. 0,25Ω
C. 5Ω
D. 1Ω
Lời giải:
Đáp án: D
HD Giải:
Bài 29: Câu 29. Cho mạch điện kín như hình vẽ, bỏ qua điện trở của dây nối, nguồn điện có điện trở trong bằng 2Ω, điện trở R = 20Ω. Hiệu suất của nguồn điện là
A. 83,3%
B. 90%
C. 88,3%
D. 99%
Lời giải:
Đáp án: A
HD Giải: RN = R/2 = 10Ω.
Bài 30: Cho mạch điện như hình vẽ. Biết R1 = 5Ω, R2 = 10Ω, R3 = 3Ω, E = 6V, r = 2Ω Tính hiệu điện thế hai đầu điện trở R1
A. 5V
B. 9V
C. 1,5V
D. 3V
Lời giải:
Đáp án: C
HD Giải: RN = R1 + R2 + R3 = 5+10+3 = 18Ω
I1 = I = 0,3A, U1 = I1R1 = 0,3.5 = 1,5V
(199k) Học Vật Lí 11 KNTTHọc Vật Lí 11 CDHọc Vật Lí 11 CTST
Xem thêm các dạng bài tập Vật Lí lớp 11 có trong đề thi Tốt nghiệp THPT khác:
- Lý thuyết Dòng điện không đổi
- 100 câu trắc nghiệm Dòng điện không đổi có lời giải (cơ bản - phần 1)
- 100 câu trắc nghiệm Dòng điện không đổi có lời giải (cơ bản - phần 2)
- 100 câu trắc nghiệm Dòng điện không đổi có lời giải (cơ bản - phần 3)
- 100 câu trắc nghiệm Dòng điện không đổi có lời giải (nâng cao - phần 1)
- 100 câu trắc nghiệm Dòng điện không đổi có lời giải (nâng cao - phần 3)
Tủ sách VIETJACK shopee lớp 10-11 (cả 3 bộ sách):
Đã có app VietJack trên điện thoại, giải bài tập SGK, SBT Soạn văn, Văn mẫu, Thi online, Bài giảng....miễn phí. Tải ngay ứng dụng trên Android và iOS.
Theo dõi chúng tôi miễn phí trên mạng xã hội facebook và youtube:Nếu thấy hay, hãy động viên và chia sẻ nhé! Các bình luận không phù hợp với nội quy bình luận trang web sẽ bị cấm bình luận vĩnh viễn.
- Giải Tiếng Anh 11 Global Success
- Giải sgk Tiếng Anh 11 Smart World
- Giải sgk Tiếng Anh 11 Friends Global
- Lớp 11 - Kết nối tri thức
- Soạn văn 11 (hay nhất) - KNTT
- Soạn văn 11 (ngắn nhất) - KNTT
- Giải sgk Toán 11 - KNTT
- Giải sgk Vật Lí 11 - KNTT
- Giải sgk Hóa học 11 - KNTT
- Giải sgk Sinh học 11 - KNTT
- Giải sgk Lịch Sử 11 - KNTT
- Giải sgk Địa Lí 11 - KNTT
- Giải sgk Giáo dục KTPL 11 - KNTT
- Giải sgk Tin học 11 - KNTT
- Giải sgk Công nghệ 11 - KNTT
- Giải sgk Hoạt động trải nghiệm 11 - KNTT
- Giải sgk Giáo dục quốc phòng 11 - KNTT
- Giải sgk Âm nhạc 11 - KNTT
- Lớp 11 - Chân trời sáng tạo
- Soạn văn 11 (hay nhất) - CTST
- Soạn văn 11 (ngắn nhất) - CTST
- Giải sgk Toán 11 - CTST
- Giải sgk Vật Lí 11 - CTST
- Giải sgk Hóa học 11 - CTST
- Giải sgk Sinh học 11 - CTST
- Giải sgk Lịch Sử 11 - CTST
- Giải sgk Địa Lí 11 - CTST
- Giải sgk Giáo dục KTPL 11 - CTST
- Giải sgk Hoạt động trải nghiệm 11 - CTST
- Giải sgk Âm nhạc 11 - CTST
- Lớp 11 - Cánh diều
- Soạn văn 11 Cánh diều (hay nhất)
- Soạn văn 11 Cánh diều (ngắn nhất)
- Giải sgk Toán 11 - Cánh diều
- Giải sgk Vật Lí 11 - Cánh diều
- Giải sgk Hóa học 11 - Cánh diều
- Giải sgk Sinh học 11 - Cánh diều
- Giải sgk Lịch Sử 11 - Cánh diều
- Giải sgk Địa Lí 11 - Cánh diều
- Giải sgk Giáo dục KTPL 11 - Cánh diều
- Giải sgk Tin học 11 - Cánh diều
- Giải sgk Công nghệ 11 - Cánh diều
- Giải sgk Hoạt động trải nghiệm 11 - Cánh diều
- Giải sgk Giáo dục quốc phòng 11 - Cánh diều
- Giải sgk Âm nhạc 11 - Cánh diều


Giải bài tập SGK & SBT
Tài liệu giáo viên
Sách
Khóa học
Thi online
Hỏi đáp

