100 câu trắc nghiệm Dòng điện không đổi có lời giải (nâng cao - phần 1)
Với 100 câu trắc nghiệm Dòng điện không đổi (nâng cao - phần 1) có lời giải chi tiết sẽ giúp học sinh ôn tập, biết cách làm câu trắc nghiệm Dòng điện không đổi (nâng cao - phần 1).
100 câu trắc nghiệm Dòng điện không đổi có lời giải (nâng cao - phần 1)
(199k) Học Vật Lí 11 KNTTHọc Vật Lí 11 CDHọc Vật Lí 11 CTST
Bài 1: Trong 4s có một điện lượng 1,5C di chuyển qua tiết diện thẳng của dây tóc một bóng đèn. Cường độ dòng điện qua đèn là
A. 0,375 (A)
B. 2,66(A)
C. 6(A)
D. 3,75 (A)
Lời giải:
Đáp án: A
HD Giải: I = q/t = 1,5/4 = 0,375 A
Bài 2: Một tụ điện có điện dung 6 μC được tích điện bằng một hiệu điện thế 3V. Sau đó nối hai cực của bản tụ lại với nhau, thời gian điện tích trung hòa là 10-4 s. Cường độ dòng điện trung bình chạy qua dây nối trong thời gian đó là
A. 1,8 A.
B. 180 mA.
C. 600 mA.
D. 1/2 A.
Lời giải:
Đáp án: B
HD Giải:
Bài 3: Một bộ ác quy có dung lượng 2A.h được sử dụng liên tục trong 24h. Cường độ dòng điện mà ác quy có thể cung cấp là
A. 48 (A)
B. 12 (A)
C. 0,0833 (A)
D. 0,0383 (A)
Lời giải:
Đáp án: C
HD Giải: I = q/t = 2Ah/24h = 0,0833 A
Bài 4: Cường độ dòng điện chạy qua tiết diện thẳng của dây dẫn là 1,5A trong khoảng thời gian 3s. Khi đó điện lượng dịch chuyển qua tiết diện dây là
A. 0,5 (C)
B. 2 (C)
C. 4,5 (C)
D. 4 (C)
Lời giải:
Đáp án: C
HD Giải: I = q/t => q = It = 1,5.3 = 4,5 C
Bài 5: Cho một dòng điện không đổi trong 10 s, điện lượng chuyển qua một tiết diện thẳng là 2 C. Sau 50 s, điện lượng chuyển qua tiết diện thẳng đó là
A. 5 C.
B. 10 C.
C. 50 C.
D. 25 C.
Lời giải:
Đáp án: B
HD Giải:
Bài 6: Một dòng điện không đổi có cường độ 3 A thì sau một khoảng thời gian có một điện lượng 4 C chuyển qua một tiết diện thẳng. Cùng thời gian đó, với dòng điện 4,5 A thì có một điện lượng chuyển qua tiết diện thằng là
A. 4 C.
B. 8 C.
C. 4,5 C.
D. 6 C.
Lời giải:
Đáp án: D
HD Giải:
Bài 7: Hiệu điện thế 1 V được đặt vào hai đầu điện trở 10 trong khoảng thời gian là 20 s. Lượng điện tích dịch chuyển qua điện trở này khi đó là
A. 200 C
B. 20 C
C. 2 C
D. 0,005 C
Lời giải:
Đáp án: C
HD Giải: I = U/R = 1/10 = 0,1.A.q = It = 0,1.20 = 2C
Bài 8: Nếu trong thời gian Δt = 0,1s đầu có điện lượng 0,5C và trong thời gian Δt' = 0,1s tiếp theo có điện lượng 0,1C chuyển qua tiết diện của vật dẫn thì cường dộ dòng điện trong cả hai khoảng thời gian đó là
A. 6A.
B. 3A.
C. 4A.
D. 2A.
Lời giải:
Đáp án: B
HD Giải:
Bài 9: Dòng điện chạy qua bóng đèn hình của một tivi thường dùng có cường độ 60μA. Số electron tới đập vào màn hình của ti vi trong mỗi giây là
A. 3,75.1014(e/s)
B. 7,35.1014(e/s)
C. 2,66.10-14 (e/s)
D. 0,266.10-4(e/s)
Lời giải:
Đáp án: A
HD Giải: q = It = n|e|
Bài 10: Dòng diện chạy qua một dây dẫn kim loại có cường độ 2A. Số electron dịch chuyển qua tiết diện thẳng của dây dẫn này trong khoảng thời gian 2s là
A. 2,5.1018 (e/s)
B. 2,5.1019 (e/s)
C. 0,4.10-19(e/s)
D. 4.10-19(e/s)
Lời giải:
Đáp án: B
HD Giải: q = It = n|e|
Bài 11: Số electron dịch chuyển qua tiết diện thẳng của dây trong khoảng thời gian là 2s là 6,25.1018 (e/s). Khi đó dòng điện qua dây dẫn đó có cường độ là
A. 1(A)
B. 2(A)
C. 0,512.10-37 (A)
D. 0,5 (A)
Lời giải:
Đáp án: D
HD Giải: q = It = n|e|
Bài 12: Công của lực lạ làm dịch chuyển điện tích 4C từ cực âm đến cực dương bên trong nguồn điện là 24J. Suất điện động của nguồn là
A. 0,166 (V)
B. 6 (V)
C. 96 (V)
D. 0,6 (V)
Lời giải:
Đáp án: B
HD Giải: E = A/q = 24/4 = 6V
Bài 13: Một bộ nguồn điện có thể cung cấp một dòng điện 0,2 A liên tục trong 20 giờ. Tính suất điện động của bộ nguồn này nếu trong thời gian hoạt động đó nó sản sinh ra một công là 86,4 kJ
A. 6 V
B. 3 V
C. 12 V
D. 1,5 V
Lời giải:
Đáp án: A
HD Giải:
Bài 14: Suất điện động của một ắc quy là 3V, lực lạ đã dịch chuyển một lượng điện tích đã thực hiện một công là 6mJ. Lượng điện tích dịch chuyển khi đó là
A. 18.10-3 (C)
B. 2.10-3(C)
C. 0,5.10-3 (C)
D. 18.10-3 (C)
Lời giải:
Đáp án: B
HD Giải: E= A/q => q = A/E = 6.10-3/3 = 2.10-3C
Bài 15: Một nguồn điện có suất điện động 200 mV. Để chuyển một điện lượng 10 C qua nguồn thì lực lạ phải sinh một công là
A. 20 J.
B. 0,05 J.
C. 2000 J.
D. 2 J.
Lời giải:
Đáp án: D
HD Giải: E= A/q => A = E.q = 200.10-3.10 = 2J
Bài 16: Qua một nguồn điện có suất điện động không đổi, để chuyển một điện lượng 10 C thì lực là phải sinh một công là 20 mJ. Để chuyển một điện lượng 15 C qua nguồn thì lực là phải sinh một công là
A. 10 mJ.
B. 15 mJ.
C. 20 mJ.
D. 30 mJ.
Lời giải:
Đáp án: D
HD Giải:
Bài 17: Điện năng tiêu thụ khi có dòng điện 2A chạy qua dây dẫn trong 1 giờ, hiệu điện thế giữa hai đầu dây là 6V là
A. 12J
B. 43200J
C. 10800J
D. 1200J
Lời giải:
Đáp án: B
HD Giải: A = UIt = 6.2.3600 = 43200 J
Bài 18: Cho đoạn mạch điện trở 10 Ω, hiệu điện thế 2 đầu mạch là 20 V. Trong 1 phút điện năng tiêu thụ của mạch là
A. 2,4 kJ.
B. 40 kJ.
C. 24 kJ.
D. 120 kJ.
Lời giải:
Đáp án: A
HD Giải: A = UIt = U2/R .t = 202/10.60 = 2400J = 2,4kJ
Bài 19: Một đoạn mạch xác định trong 1 phút tiêu thụ một điện năng là 2 kJ, trong 2 giờ tiêu thụ điện năng là
A. 4 kJ.
B. 240 kJ.
C. 120 kJ.
D. 1000 J.
Lời giải:
Đáp án: B
HD Giải:
Bài 20: Một đoạn mạch có điện trở xác định với hiệu điện thế hai đầu không đổi thì trong 1 phút tiêu thụ mất 40 J điện năng. Thời gian để mạch tiêu thụ hết một 1 kJ điện năng là
A. 25 phút.
B. 1/40 phút.
C. 40 phút.
D. 10 phút.
Lời giải:
Đáp án: A
HD Giải:
Bài 21: Một đoạn mạch tiêu thụ có công suất 100 W, trong 20 phút nó tiêu thụ một năng lượng
A. 2000 J.
B. 5 J
C. 120 kJ.
D. 10 kJ.
Lời giải:
Đáp án: C
HD Giải: A = Pt = 100.20.60 = 120000 J = 120 kJ
Bài 22: Một đoạn mạch có hiệu điện thế 2 đầu không đổi. Khi chỉnh điện trở của nguồn là 100 Ω thì công suất của mạch là 20 W. Khi chỉnh điện trở của mạch là 50 Ω thì công suất của mạch là
A. 10 W.
B. 5 W.
C. 40 W.
D. 80 W.
Lời giải:
Đáp án: C
HD Giải:
Bài 23: Cho một mạch điện có điện trở không đổi. Khi dòng điện trong mạch là 2 A thì công suất tiêu thụ của mạch là 100 W. Khi dòng điện trong mạch là 1 A thì công suất tiêu thụ của mạch là
A. 25 W.
B. 50 W.
C. 200 W.
D. 400 W.
Lời giải:
Đáp án: A
HD Giải:
Bài 24: Một bóng đèn có ghi Đ: 3V – 3W. Khi đèn sáng bình thường, điện trở có giá trị là
A. 9 μ
B. 3 μ
C. 6 μ
D. 12 μ
Lời giải:
Đáp án: B
HD Giải: Khi đèn sáng bình thường
Bài 25: Một bóng đèn có ghi Đ: 6V – 6W, khi mắc bóng đèn trên vào hiệu điện thế 6V thì cường độ dòng điện qua bóng là
A. 36A
B. 6A
C. 1A
D. 12A
Lời giải:
Đáp án: C
HD Giải: P = UI => I = P/U = 6/6 = 1A
Bài 26: Hai bóng đèn có số ghi lần lượt là Đ1:120V – 100W; Đ2: 120V – 25W. Mắc song song hai bóng đèn này vào hiệu điện thế 120V. Tính cường độ dòng điện qua mỗi bóng.
A. I1=1,2A; I2=4A
B. I1=0,833A; I2=0,208A
C. I1=1,2A; I2=4,8A
D. I1=0,208A; I2=0,833A
Lời giải:
Đáp án: B
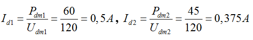
HD Giải: Khi mắc song song hai bóng đèn này vào hiệu điện thế 120V bằng với hiệu điện thế của đèn nên 2 đèn sáng bình thường, cường độ dòng điện qua đèn bằng cường độ định mức của đèn I1 = Pdm1/Udm1 = 100/120 = 0,83A, I2 = Pdm2/Udm2 = 25/120 = 0,208A
Bài 27: Hai bóng đèn có số ghi lần lượt là Đ1:120V – 100W; Đ2: 120V – 25W. Mắc nối tiếp hai bóng trên vào hiệu điện thế 120V thì tỷ số công suất P1/P2 của hai đèn là (coi điện trở không thay đổi).
A. P1/P2 = 4
B. P1/P2 = 1/4
C. P1/P2 = 16
D. P1/P2 = 1/16
Lời giải:
Đáp án: B
HD Giải:
Do mắc nối tiếp nên cường độ dòng điện qua hai đèn bằng nhau
Bài 28: Để bóng đèn 120V – 60W sáng bình thường ở mạng điện có hiệu điện thế là 220V, người ta phải mắc nối tiếp với nó một điện trở phụ R có giá trị là
A. 410μ
B. 80μ
C. 200μ
D. 100μ
Lời giải:
Đáp án: C
HD Giải:
Để đèn sáng bình thường thì cường độ dòng điện chạy qua đèn bằng cường độ dòng điện định mức của đèn Id = Idm = 0,5A
Bài 29: Hai điện trở giống nhau, mắc song song chúng vào hai điểm có hiệu điện thế U thì công suất tiêu thụ của chúng là 40W. Nếu hai thì điện trở này được mắc nối tiếp và mắc vào hiệu điện thế U nói trên thì công suất tiêu thụ của chúng là
A. 10W
B. 20W
C. 30W
D. 40W
Lời giải:
Đáp án: A
HD Giải: Khi mắc 2 điện trở nối tiếp: Rnt = 2R, Pnt = U2/2R
Khi mắc 2 điện trở song song: Rss = R/2,
Bài 30: Có hai điện trở R1 và R2 (R1 > R2) mắc giữa điểm A và B có hiệu điện thế U = 12V. Khi R1 ghép nối tiếp với R2 thì công suất của mạch là 4W; khi R1 ghép song song với R2 thì công suất của mạch là 18W. Giá trị của R1, R2 bằng
A. R1= 24Ω; R2= 12Ω
B. R1= 2,4Ω; R1= 1,2Ω
C. R1= 240Ω; R2= 120Ω
D. R1= 8Ω; R2= 6Ω
Lời giải:
Đáp án: A
HD Giải: Khi mắc 2 điện trở nối tiếp: Rnt = R1 + R2,
Khi mắc 2 điện trở song song:
R1 và R2 là nghiệm của phương trình R2 – 36R + 288 = 0 => R1= 24Ω; R2= 12Ω
Bài 31: Có hai bóng đèn: Đ1 : 120V – 60W; Đ2 = 120V – 45W. Mắc hai bóng đèn trên vào hiệu điện thế U = 240V như hình vẽ. Khi đèn Đ1 và Đ2 sáng bình thường. Tính R1.
A. 713Ω
B. 137Ω
C. 173Ω
D. 371Ω
Lời giải:
Đáp án: B
HD Giải:
Đèn sáng bình thường nên I = I1 = Id1 + Id2 = 0,875A, U1 = U – Ud1 = 240 – 120 =120V
Bài 32: Có hai bóng đèn: Đ1 : 120V – 60W; Đ2 = 120V – 45W. Mắc hai bóng đèn trên vào hiệu điện thế U = 240V như hình vẽ. Khi đèn Đ1 và Đ2 sáng bình thường. Tính R2
A. 69Ω
B. 96Ω
C. 960Ω
D. 690Ω
Lời giải:
Đáp án:
HD Giải:
Do 2 đèn sáng bình thường nên Id1 = I2 + Id2 => I2 = Id1 - Id2 = 0,125A, U2 = Ud2 = 120V
Bài 33: Người ta mắc nối tiếp giữa 2 điểm A – B có hiệu điện thế U = 240V một số bóng đèn loại 6V – 9W thì chúng sáng bình thường. Nếu có 1 bóng bị hỏng, người ta nối tắt đoạn mạch có bóng hỏng lại thì công suất tiêu thụ mỗi bóng tăng hay giảm bao nhiêu phần trăm?
A. giảm 0,47%
B. tăng 0,47%
C. giảm 5,2%
D. tăng 5,2%
Lời giải:
Đáp án: D
HD Giải:
Mỗi đèn có hiệu điện thế định mức 6V mắc nối tiếp vào mạng điện 240V, để các đèn sáng bình thường thì ta cần mắc 240/6 = 40 bóng. Khi 1 bóng hỏng còn lại 39 bóng mắc nối tiếp, cường độ dòng điện trong mạch lúc này I = 240/(39.4) = 1,538A
Công suất tiêu thụ mỗi bóng đèn P’ = RdI2 = 4.1,5382 = 9,47W
Công suất bóng đèn tăng (9,47-9)/9 . 100% = 5,2%
Bài 34: Một bếp điện có 2 dây điện trở có giá trị lần lượt là R1 = 4, R2 = 6. Khi bếp chỉ dùng điện trở R1 thì đun sôi một ấm nước trong thời gian t1=10 phút. Thời gian cần thiết để đun sôi ấm nước trên khi chỉ sử dụng điện trở R2 bằng
A. 5 phút
B. 10 phút
C. 15 phút
D. 20 phút
Lời giải:
Đáp án: C
HD Giải: Nhiệt lượng để đun sôi ấm nước:
Bài 35: Một bếp điện có 2 dây điện trở có giá trị lần lượt là R1 = 4, R2 = 6. Khi bếp chỉ dùng điện trở R1 thì đun sôi một ấm nước trong thời gian t1=10 phút. Thời gian cần thiết để đun sôi ấm nước trên khi chỉ sử dụng điện trở R2 là t2 = 15 phút. Khi dùng hai dây R1 mắc nối tiếp với R2 thì thời gian đun sôi ấm nước đó là
A. 10 phút
B. 15 phút
C. 20 phút
D. 25 phút
Lời giải:
Đáp án: D
HD Giải: Nhiệt lượng để đun sôi ấm nước:
Bài 36: Một bếp điện có 2 dây điện trở có giá trị lần lượt là R1 = 4, R2 = 6. Khi bếp chỉ dùng điện trở R1 thì đun sôi một ấm nước trong thời gian t1=10 phút. Thời gian cần thiết để đun sôi ấm nước trên khi chỉ sử dụng điện trở R2 là t2 = 15 phút. Khi dùng hai dây R1 mắc song song với R2 thì thời gian đun sôi ấm nước đó là
A. 6 phút
B. 8 phút
C. 10 phút
D. 12 phút
Lời giải:
Đáp án: A
HD Giải: Nhiệt lượng để đun sôi ấm nước: phút
Bài 37: Nhiệt lượng tỏa ra trong 2 phút khi một dòng điện 2A chạy qua một điện trở thuần 100 Ω là
A. 48 kJ.
B. 24 J.
C. 24000 kJ.
D. 400 J.
Lời giải:
Đáp án: A
HD Giải: Q = RI2t = 100.22.120 = 48000J = 48 kJ
Bài 38: Một mạch điện gồm điện trở thuần 10 mắc giữa hai điểm có hiệu điện thế 20V. Nhiệt lượng toả ra trên R trong thời gian 10s là
A. 20J
B. 2000J
C. 40J
D. 400J
Lời giải:
Đáp án: D
HD Giải: Q = U2/R.t = 202/10.10 = 400J
Bài 39: Người ta làm nóng 1 kg nước thêm 1oC bằng cách cho dòng điện 1 A đi qua một điện trở 7 Ω. Biết nhiệt dung riêng của nước là 4200 J/kg.K. Thời gian cần thiết là
A. 10 phút.
B. 600 phút.
C. 10 s.
D. 1 h.
Lời giải:
Đáp án: A
HD Giải: Q = RI2t = mc.∆t
Bài 40: Cho mạch điện như hình vẽ. U = 12V; R1 = 24Ω R3 = 3,8Ω, R4 = 0,2Ω, cường độ dòng điện qua R4 bằng 1A. Nhiệt lượng toả ra trên R1 trong thời gian 5 phút là
A. 600J
B. 800J
C. 1000J
D. 1200J
Lời giải:
Đáp án: B
HD Giải: I4 = I3 = 1A, U34 = R34 I = (3,8+0,2).1 = 4V, U1 = U2 = U – U34 = 12 – 4 = 8V
(199k) Học Vật Lí 11 KNTTHọc Vật Lí 11 CDHọc Vật Lí 11 CTST
Xem thêm các dạng bài tập Vật Lí lớp 11 có trong đề thi Tốt nghiệp THPT khác:
- Lý thuyết Dòng điện không đổi
- 100 câu trắc nghiệm Dòng điện không đổi có lời giải (cơ bản - phần 1)
- 100 câu trắc nghiệm Dòng điện không đổi có lời giải (cơ bản - phần 2)
- 100 câu trắc nghiệm Dòng điện không đổi có lời giải (cơ bản - phần 3)
- 100 câu trắc nghiệm Dòng điện không đổi có lời giải (nâng cao - phần 2)
- 100 câu trắc nghiệm Dòng điện không đổi có lời giải (nâng cao - phần 3)
Tủ sách VIETJACK shopee lớp 10-11 (cả 3 bộ sách):
Đã có app VietJack trên điện thoại, giải bài tập SGK, SBT Soạn văn, Văn mẫu, Thi online, Bài giảng....miễn phí. Tải ngay ứng dụng trên Android và iOS.
Theo dõi chúng tôi miễn phí trên mạng xã hội facebook và youtube:Nếu thấy hay, hãy động viên và chia sẻ nhé! Các bình luận không phù hợp với nội quy bình luận trang web sẽ bị cấm bình luận vĩnh viễn.
- Giải Tiếng Anh 11 Global Success
- Giải sgk Tiếng Anh 11 Smart World
- Giải sgk Tiếng Anh 11 Friends Global
- Lớp 11 - Kết nối tri thức
- Soạn văn 11 (hay nhất) - KNTT
- Soạn văn 11 (ngắn nhất) - KNTT
- Giải sgk Toán 11 - KNTT
- Giải sgk Vật Lí 11 - KNTT
- Giải sgk Hóa học 11 - KNTT
- Giải sgk Sinh học 11 - KNTT
- Giải sgk Lịch Sử 11 - KNTT
- Giải sgk Địa Lí 11 - KNTT
- Giải sgk Giáo dục KTPL 11 - KNTT
- Giải sgk Tin học 11 - KNTT
- Giải sgk Công nghệ 11 - KNTT
- Giải sgk Hoạt động trải nghiệm 11 - KNTT
- Giải sgk Giáo dục quốc phòng 11 - KNTT
- Giải sgk Âm nhạc 11 - KNTT
- Lớp 11 - Chân trời sáng tạo
- Soạn văn 11 (hay nhất) - CTST
- Soạn văn 11 (ngắn nhất) - CTST
- Giải sgk Toán 11 - CTST
- Giải sgk Vật Lí 11 - CTST
- Giải sgk Hóa học 11 - CTST
- Giải sgk Sinh học 11 - CTST
- Giải sgk Lịch Sử 11 - CTST
- Giải sgk Địa Lí 11 - CTST
- Giải sgk Giáo dục KTPL 11 - CTST
- Giải sgk Hoạt động trải nghiệm 11 - CTST
- Giải sgk Âm nhạc 11 - CTST
- Lớp 11 - Cánh diều
- Soạn văn 11 Cánh diều (hay nhất)
- Soạn văn 11 Cánh diều (ngắn nhất)
- Giải sgk Toán 11 - Cánh diều
- Giải sgk Vật Lí 11 - Cánh diều
- Giải sgk Hóa học 11 - Cánh diều
- Giải sgk Sinh học 11 - Cánh diều
- Giải sgk Lịch Sử 11 - Cánh diều
- Giải sgk Địa Lí 11 - Cánh diều
- Giải sgk Giáo dục KTPL 11 - Cánh diều
- Giải sgk Tin học 11 - Cánh diều
- Giải sgk Công nghệ 11 - Cánh diều
- Giải sgk Hoạt động trải nghiệm 11 - Cánh diều
- Giải sgk Giáo dục quốc phòng 11 - Cánh diều
- Giải sgk Âm nhạc 11 - Cánh diều


Giải bài tập SGK & SBT
Tài liệu giáo viên
Sách
Khóa học
Thi online
Hỏi đáp

