30 câu trắc nghiệm Khúc xạ ánh sáng có lời giải (nâng cao)
Với 30 câu trắc nghiệm Khúc xạ ánh sáng (nâng cao) có lời giải chi tiết sẽ giúp học sinh ôn tập, biết cách làm trắc nghiệm Khúc xạ ánh sáng (nâng cao).
30 câu trắc nghiệm Khúc xạ ánh sáng có lời giải (nâng cao)
(199k) Học Vật Lí 11 KNTTHọc Vật Lí 11 CDHọc Vật Lí 11 CTST
Bài 1: Chiếu ánh sáng từ không khí vào thủy tinh có chiết suất n = 1,5. Nếu góc tới i là 60o thì góc khúc xạ r (lấy tròn) là
A. 30o.
B. 35o.
C. 40o.
D. 45o.
Lời giải:
Đáp án: B.
HD Giải: sini = n.sinr ⇔ sin60o = 1,5sinr ⇔ r = 35o.
Bài 2: Chiếu ánh sáng từ không khí vào nước có chiết suất n = 4/3. Nếu góc khúc xạ r là 30o thì góc tới i (lấy tròn) là
A. 20o.
B. 36o.
C. 42o.
D. 45o.
Lời giải:
Đáp án: C.
HD Giải:
Bài 3: Một tia sáng truyền từ môi trường A vào môi trường B dưới góc tới 9o thì góc khúc xạ là 8o. Khi góc tới là 60o thì góc khúc xạ là?
A. 47,3o.
B. 56,4o.
C. 50,4o.
D. 58,7o.
Lời giải:
Đáp án: C.
HD Giải:
Bài 4: Tốc độ ánh sáng trong chân không là 3.108 m/s. Kim cương có chiết suất 2,42. Tốc độ truyền ánh sáng trong kim cương là
A. 242000 km/s.
B. 124000 km/s.
C. 72600 km/s.
D. 62700 km/s.
Lời giải:
Đáp án: B.
HD Giải:
Bài 5: Một tia sáng truyền từ môi trường A vào môi trường B dưới góc tới 9o thì góc khúc xạ là 8o. Tốc độ ánh sáng trong môi trường B là 2.105 km/s. Tốc độ ánh sáng trong môi trường A là bao nhiêu?
A. 225000 km/s.
B. 230000 km/s.
C. 180000 km/s.
D. 250000 km/s.
Lời giải:
Đáp án: A.
HD Giải:
Bài 6: Khi chiếu ánh sáng đơn sắc từ một không khí vào một khối chất trong suốt với góc tới 60o thì góc khúc xạ là 30o. Khi chiếu cùng ánh sáng đơn sắc đó từ khối chất đã cho ra không khí với góc tới 30o thì góc khúc xạ
A. nhỏ hơn 30o.
B. lớn hơn 60o.
C. bằng 60o.
D. không xác định được.
Lời giải:
Đáp án: C.
HD Giải: Theo tính thuận nghịch của ánh sáng: ánh sáng truyền đi theo đường nào thì cũng truyền ngược lại theo đường đó nên khi góc tới 30o thì góc khúc xạ 60o.
Bài 7: Chiếu một ánh sáng đơn sắc từ chân không vào một khối chất trong suốt với góc tới 45o thì góc khúc xạ bằng 30o. Chiết suất tuyệt đối của môi trường này là
A. √2
B. √3
C. 2
D. √3/√2
Lời giải:
Đáp án: A.
HD Giải: sin45o = nsin30o ⇔ n = √2.
Bài 8: Chiếu một tia sáng từ không khí vào một khối chất trong suốt có chiết suất n với góc tới 40o thì góc khúc xạ trong khối chất này là 20o55’. Giá trị n là
A. 1,3.
B. 1,7.
C. 1,5.
D. 1,8.
Lời giải:
Đáp án: D.
HD Giải: sin40o = nsin20o55' ⇔ n = 1,8.
Bài 9: Chiếu một tia sáng từ không khí vào một khối chất trong suốt có chiết suất 1,5 với góc tới 60o thì tia khúc xạ trong khối chất bị lệch so với tia tới một góc là
A. 95,3o.
B. 24,7o.
C. 35,3o.
D. 38,5o.
Lời giải:
Đáp án: B.
HD Giải: sin60o = 1,5.sinr ⇔ r = 35,3o ⇒ Δφ = i - r = 60o - 35,3o = 24,7o.
Bài 10: Một tia sáng truyền từ môi trường có chiết suất √6 đến gặp mặt phân cách với môi trường có chiết suất √2 dưới góc tới i. Khi qua mặt phân cách tia sáng bị lệch so với phương ban đầu góc bằng i. Giá trị i là
A. 30o.
B. 45o.
C. 20o.
D. 15o.
Lời giải:
Đáp án: A.
HD Giải: Vì n1 > n2 nên r > i nên r = i + i = 2i, √6.sini = √2.sin2i ⇔ i = 30o.
Bài 11: Ba môi trường trong suốt (1), (2), (3) có thể đặt tiếp giáp nhau. Với cùng góc tới 60o; nếu ánh sáng truyền từ (1) vào (2) thì góc khúc xạ là 45o; nếu ánh sáng truyền từ (1) vào (3) thì góc khúc xạ là 30o. Nếu ánh sáng truyền từ (2) vào (3) vẫn với góc tới 60o thì góc khúc xạ là?
A. 38o.
B. 34o.
C. 43o.
D. 28o.
Lời giải:
Đáp án: A.
HD Giải:
Bài 12: Khi chiếu một tia sáng từ chân không vào một môi trường trong suốt thì thấy tia phản xạ vuông góc với tia tới, góc khúc xạ chỉ có thể nhận giá trị
A. 40o.
B. 50o.
C. 60o.
D. 70o.
Lời giải:
Đáp án: A.
HD Giải: Ta có i + i’ = 90o, i = i’ = 45o, sin45o = nsinr ⇒ r < 45o.
Bài 13: Tia sáng truyền trong không khí tới gặp mặt thoáng của một chất lỏng có chiết suất là √3. Hai tia phản xạ và khúc xạ vuông góc với nhau. Góc tới có giá trị là?
A. 60o.
B. 30o.
C. 45o.
D. 50o.
Lời giải:
Đáp án: A.
HD Giải: i + r = 90o ⇒ sinr = cosi, sini = √3cosi ⇒ tani = √3 => i = 60o.
Bài 14: Một quả cầu trong suốt có bán kính 14 cm, chiết suất n. Tia tới SA song song song và cách đường kính MN của quả cầu đoạn 7 cm cho tia khúc xạ AN như hình. Chiết suất của quả cầu là?
A. 1,3.
B. 1,93.
C. 1,54.
D. 1,43.
Lời giải:
Đáp án: B.
HD Giải:
Bài 15: Đặt một thước dài 70 cm theo phương thẳng đứng vuông góc với đáy bể nước nằm ngang rộng (một đầu của thước chạm đáy bể). Chiều cao của nước trong bể là 40cm và chiết suất là 4/3. Nếu các tia sáng mặt trời tới nước dưới góc tới i (sini = 0,8) thì bóng của thước dưới đáy bể là
A. 50 cm.
B. 60 cm.
C. 70 cm.
D. 80 cm.
Lời giải:
Đáp án: C.
HD Giải:
Bài 16: Một bể chứa nước rất rộng có thành cao 80 cm và đáy phẳng rất rộng và độ cao mực nước trong bể là 60 cm, chiết suất của nước là 4/3. Ánh nắng chiếu theo phương nghiêng góc 30o so với mặt nước. Độ dài bóng thành bể tạo thành trên đáy bể là?
A. 11,5 cm.
B. 34,6 cm.
C. 51,6 cm.
D. 85,9 cm.
Lời giải:
Đáp án: D.
HD Giải:
Bài 17: Một cái cột cắm thẳng đứng chạm đáy một bể rộng đựng nước. Phần cột nhô lên mặt nước là 0,6 m, bóng phần cột nhô lên này hiện lên trên mặt nước là 0,8 m. Bóng của cột hiên ở lên đáy bể là 1,7 m. Chiết suất của nước là 4/3. Chiều sâu của bể nước là
A. 1,2 m.
B. 1,5 m.
C. 2,5 m.
D. 1,4 m.
Lời giải:
Đáp án: A.
HD Giải:
Bài 18: Một cái máng sâu 30 cm, rộng 40 cm có hai thành bên thẳng đứng. Lúc máng cạn nước thì bóng râm của thành A kéo đến thành đáy thành B đối diện. Người ta đổ nước vào máng lên đến độ cao h thì bóng của thành A giảm 7 cm so với trước. Chiết suất của nước là 4/3. Tính h.
A. 20 cm.
B. 12 cm.
C. 24 cm.
D. 26 cm.
Lời giải:
Đáp án: B.
HD Giải:
Bài 19: Một thợ lặn ở dưới nước nhìn thấy Mặt Trời ở độ cao 60o so với đường chân trời. Tính độ cao thực của Mặt Trời so với đường chân trời. Biết chiết suất của nước là 4/3.
A. 42o.
B. 48o.
C. 24o.
C. 84o.
Lời giải:
Đáp án: B.
HD Giải:
Hướng của Mặt Trời mà người thợ lặn nhìn thấy là hướng của các tia sáng khúc xạ vào nước.
r = 90o – 60o = 30o.
Bài 20: Cho tia sáng đi từ nước (có chiết suất n = 4/3) tới không khí, góc giới hạn phản xạ toàn phần có giá trị là
A. igh = 41o48’.
B. igh = 48o35’.
C. igh = 62o44’.
D. igh = 38o26’.
Lời giải:
Đáp án: B.
HD Giải:
Bài 21: Tia sáng đi từ thủy tinh (chiết suất n1 = 1,5) đến mặt phân cách với nước (chiết suất n2 = 4/3). Điều kiện của góc tới i để không có tia khúc xạ trong nước là?
A. i ≥ 62o44'.
B. i ≤ 62o44'.
C. i ≤ 41o48'.
D. i ≥ 48o35'.
Lời giải:
Đáp án: A.
HD Giải:
Bài 22: Nước có chiết suất 1,33. Chiếu ánh sáng từ nước ra ngoài không khí, góc có thể xảy ra hiện tượng phản xạ toàn phần là
A. 20o.
B. 30o.
C. 40o.
D. 50o.
Lời giải:
Đáp án: D.
HD Giải:
Góc xảy ra PXTP là i ≥ 48o45'.
Bài 23: Một tia sáng hẹp truyền từ môi trường chiết suất n1 = √3 tới môi trường có chiết suất n2. Tăng dần góc tới i khi i = 60o thì tia khúc xạ “là là” trên mặt phân cách giữa hai môi trường. Giá trị n2 là
A. 1,5.
B. 1,33.
C. 0,75.
D. 0,67.
Lời giải:
Đáp án: A.
HD Giải: Tia khúc xạ là là mặt phân cách nên i = igh = 60o.
Bài 24: Cho ba tia sáng truyền từ không khí đến ba môi trường trong suốt 1, 2, 3 dưới cùng một góc tới i. Biết góc khúc xạ lần lượt là r1, r2, r3 với r1 > r2 > r3. Hiện tượng phản xạ toàn phần không xảy ra khi ánh sáng truyền từ môi trường
A. 2 vào 1.
B. 1 vào 3.
C. 3 vào 2.
D. 3 vào 1.
Lời giải:
Đáp án: B.
HD Giải: sini = nsinr, r1 > r2 > r3 nên n1 < n2 < n3. Hiện tượng PXTP không xảy ra khi ánh sáng truyền từ môi trường 1 vào 3 vì n1 < n3.
Bài 25: Chiếu một tia sáng đơn sắc từ không khí vào một chất lỏng trong suốt dưới góc tới 45o thì góc khúc xạ là 30o. Bây giờ, chiếu tia sáng đó từ chất lỏng ra không khí dưới góc tới i. Với giá trị nào của i để có tia khúc xạ ra ngoài không khí?
A. i > 45o.
B. i < 45o.
C. 30o < i < 90o.
D. i < 60o.
Lời giải:
Đáp án: B.
HD Giải: sin45o = nsin30o
Để có tia khúc xạ thì không xảy ra hiện tượng PXTP nên i < 45o.
Bài 26: Một chậu miệng rộng có đáy nằm ngang chứa chất lỏng trong suốt đến độ cao h = 5,2 cm. Ở đáy chậu có một nguồn sáng nhỏ S. Một tấm nhựa mỏng hình tròn tâm O bán kính R = 4cm ở trên mặt chất lỏng mà tâm O ở trên đường thẳng qua S. Thấy rằng không có tia sáng nào của ngọn đèn ra ngoài không khí. Chiết suất n của chất lỏng là
A. 1,15.
B. 1,30.
C. 1,64.
D. 1,80.
Lời giải:
Đáp án: C.
HD Giải:
Để không có tia sáng nào ra ngoài không khí thì các tia sáng từ nguồn S qua các mép tấm gỗ phải bị phản xạ toàn phần, với:
Bài 27: Một đèn sáng nhỏ S nằm dưới đáy của một bể nước sâu 20 cm. Thả nổi trên mặt nước một tấm gỗ mỏng tròn tâm O bán kính R ở trên mặt chất lỏng mà tâm O ở trên đường thẳng qua S. Thấy rằng không có tia sáng nào của ngọn đèn ra ngoài không khí. Chiết suất của nước là 4/3. Giá trị nhỏ nhất của R là
A. 19,32 cm.
B. 25,34 cm.
C. 17,21 cm.
D. 22,68 cm.
Lời giải:
Đáp án: D.
HD Giải:
Để không có tia sáng nào ra ngoài không khí thì các tia sáng từ nguồn S qua các mép tấm gỗ phải bị phản xạ toàn phần, với:
Bài 28: Một khối thủy tinh có chiết suất n đặt trong không khí. Tiết diện thẳng là một tam giác vuông cân tại B. Chiếu vuông góc tới mặt AB một chùm tia sáng song song SI thì chùm tia sáng sau đó đi là là mặt AC. Giá trị n là?
A. √2.
B. √3.
C. 2/√3.
D. 1,5.
Lời giải:
Đáp án: A.
HD Giải: Để tia sáng đi sát mặt AC thì tia góc tới i tại mặt AC phải bằng góc giới hạn PXTP tại mặt AC. Ta thấy i = igh = 45o.
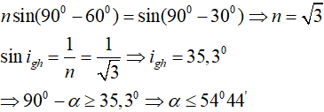
Bài 29: Một tia sáng đi từ một chất lỏng trong suốt có chiết suất n sang không khí, nếu α = 60o thì β = 30o như hình. Góc α lớn nhất mà tia sáng không thể ló sang môi trường không khí phía trên là?
A. 45o44’.
B. 54o44’.
C. 44o54’.
D. 44o45’.
Lời giải:
Đáp án: B.
HD Giải:
Bài 30: Một sợi quang hình trụ, lõi có chiết suất nl = 1,5, phần vỏ bọc có chiết suất nv = √2. Chùm tia tới hội tụ ở mặt trước của sợi với góc 2α như hình. Tìm điều kiện α để các tia sáng của chùm sáng truyền được trong ống
A. α ≤ 30o
B. α ≥ 30o
C. α ≤ 45o
D. α ≥ 45o
Lời giải:
Đáp án: A.
HD Giải:
(199k) Học Vật Lí 11 KNTTHọc Vật Lí 11 CDHọc Vật Lí 11 CTST
Xem thêm các dạng bài tập Vật Lí lớp 11 có trong đề thi Tốt nghiệp THPT khác:
- Lý thuyết Khúc xạ ánh sáng
- Lý thuyết Phản xạ toàn phần
- Lý thuyết tổng hợp chương: Khúc xạ ánh sáng
- 30 câu trắc nghiệm Khúc xạ ánh sáng có lời giải (cơ bản)
Tủ sách VIETJACK shopee lớp 10-11 (cả 3 bộ sách):
Đã có app VietJack trên điện thoại, giải bài tập SGK, SBT Soạn văn, Văn mẫu, Thi online, Bài giảng....miễn phí. Tải ngay ứng dụng trên Android và iOS.
Theo dõi chúng tôi miễn phí trên mạng xã hội facebook và youtube:Nếu thấy hay, hãy động viên và chia sẻ nhé! Các bình luận không phù hợp với nội quy bình luận trang web sẽ bị cấm bình luận vĩnh viễn.
- Giải Tiếng Anh 11 Global Success
- Giải sgk Tiếng Anh 11 Smart World
- Giải sgk Tiếng Anh 11 Friends Global
- Lớp 11 - Kết nối tri thức
- Soạn văn 11 (hay nhất) - KNTT
- Soạn văn 11 (ngắn nhất) - KNTT
- Giải sgk Toán 11 - KNTT
- Giải sgk Vật Lí 11 - KNTT
- Giải sgk Hóa học 11 - KNTT
- Giải sgk Sinh học 11 - KNTT
- Giải sgk Lịch Sử 11 - KNTT
- Giải sgk Địa Lí 11 - KNTT
- Giải sgk Giáo dục KTPL 11 - KNTT
- Giải sgk Tin học 11 - KNTT
- Giải sgk Công nghệ 11 - KNTT
- Giải sgk Hoạt động trải nghiệm 11 - KNTT
- Giải sgk Giáo dục quốc phòng 11 - KNTT
- Giải sgk Âm nhạc 11 - KNTT
- Lớp 11 - Chân trời sáng tạo
- Soạn văn 11 (hay nhất) - CTST
- Soạn văn 11 (ngắn nhất) - CTST
- Giải sgk Toán 11 - CTST
- Giải sgk Vật Lí 11 - CTST
- Giải sgk Hóa học 11 - CTST
- Giải sgk Sinh học 11 - CTST
- Giải sgk Lịch Sử 11 - CTST
- Giải sgk Địa Lí 11 - CTST
- Giải sgk Giáo dục KTPL 11 - CTST
- Giải sgk Hoạt động trải nghiệm 11 - CTST
- Giải sgk Âm nhạc 11 - CTST
- Lớp 11 - Cánh diều
- Soạn văn 11 Cánh diều (hay nhất)
- Soạn văn 11 Cánh diều (ngắn nhất)
- Giải sgk Toán 11 - Cánh diều
- Giải sgk Vật Lí 11 - Cánh diều
- Giải sgk Hóa học 11 - Cánh diều
- Giải sgk Sinh học 11 - Cánh diều
- Giải sgk Lịch Sử 11 - Cánh diều
- Giải sgk Địa Lí 11 - Cánh diều
- Giải sgk Giáo dục KTPL 11 - Cánh diều
- Giải sgk Tin học 11 - Cánh diều
- Giải sgk Công nghệ 11 - Cánh diều
- Giải sgk Hoạt động trải nghiệm 11 - Cánh diều
- Giải sgk Giáo dục quốc phòng 11 - Cánh diều
- Giải sgk Âm nhạc 11 - Cánh diều


Giải bài tập SGK & SBT
Tài liệu giáo viên
Sách
Khóa học
Thi online
Hỏi đáp

