30 câu trắc nghiệm Khúc xạ ánh sáng có lời giải (cơ bản)
Với 30 câu trắc nghiệm Khúc xạ ánh sáng (cơ bản) có lời giải chi tiết sẽ giúp học sinh ôn tập, biết cách làm trắc nghiệm Khúc xạ ánh sáng (cơ bản).
30 câu trắc nghiệm Khúc xạ ánh sáng có lời giải (cơ bản)
(199k) Học Vật Lí 11 KNTTHọc Vật Lí 11 CDHọc Vật Lí 11 CTST
Bài tập trắc nghiệm
Bài 1: Hiện tượng khúc xạ là hiện tượng
A. ánh sáng bị gãy khúc khi truyền xiên góc qua mặt phân cách giữa hai môi trường trong suốt.
B. ánh sáng bị giảm cường độ khi truyền qua mặt phân cách giữa hai môi trường trong suốt.
C. ánh sáng bị hắt lại môi trường cũ khi truyền tới mặt phân cách giữa hai môi trường trong suốt.
D. ánh sáng bị thay đổi màu sắc khi truyền qua mặt phân cách giữa hai môi trường trong suốt.
Lời giải:
Đáp án: A.
HD Giải: Hiện tượng khúc xạ là hiện tượng ánh sáng bị gãy khúc khi truyền xiên góc qua mặt phân cách giữa hai môi trường trong suốt.
Bài 2: Hoàn thành câu phát biểu sau: “ Hiện tượng khúc xạ ánh sáng là hiện tượng tia sáng khi truyền từ môi trường trong suốt này sang môi trường trong suốt khác, tia sáng bị …… tại mặt phân cách giữa hai môi trường”
A. gãy khúc.
B. uốn cong.
C. dừng lại.
D. quay trở lại.
Lời giải:
Đáp án: A.
HD Giải: Hiện tượng khúc xạ ánh sáng là hiện tượng tia sáng khi truyền từ môi trường trong suốt này sang môi trường trong suốt khác, tia sáng bị gãy khúc tại mặt phân cách giữa hai môi trường.
Bài 3: Trong hiện tượng khúc xạ ánh sáng. So với góc tới, góc khúc xạ
A. nhỏ hơn.
B. lớn hơn hoặc bằng.
C. lớn hơn.
D. nhỏ hơn hoặc lớn hơn.
Lời giải:
Đáp án: D.
HD Giải: Trong hiện tượng khúc xạ ánh sáng. So với góc tới, góc khúc xạ nhỏ hơn hoặc lớn hơn tuỳ thuộc vào chiết suất của các môi trường.
Bài 4: Nhận định nào sau đây về hiện tượng khúc xạ là không đúng?
A. Tia khúc xạ nằm ở môi trường thứ 2 tiếp giáp với môi trường chứa tia tới.
B. Tia khúc xạ nằm trong mặt phẳng chứa tia tới và pháp tuyến.
C. Khi góc tới bằng 0, góc khúc xạ cũng bằng 0.
D. Góc khúc xạ luôn bằng góc tới.
Lời giải:
Đáp án: D.
HD Giải: Trong hiện tượng khúc xạ ánh sáng, góc khúc xạ nhỏ hơn hoặc lớn hơn góc tới.
Bài 5: Theo định luật khúc xạ thì
A. tia khúc xạ và tia tới nằm trong cùng một mặt phẳng.
B. góc khúc xạ bao giờ cũng khác 0.
C. góc tới tăng bao nhiêu lần thì góc khúc xạ tăng bấy nhiêu lần.
D. góc tới luôn luôn lớn hơn góc khúc xạ.
Lời giải:
Đáp án: A.
HD Giải: Theo định luật khúc xạ thì tia khúc xạ và tia tới nằm trong cùng một mặt phẳng.
Bài 6: Khi tia sáng truyền từ môi trường (1) có chiết suất n1 sang môi trường (2) có chiết suất n2 với góc tới i thì góc khúc xạ là r. Chọn biểu thức đúng
A. n1sinr = n2sini.
B. n1sini = n2sinr.
C. n1cosr = n2cosi.
D. n1tanr = n2tani.
Lời giải:
Đáp án: B.
HD Giải: Theo định luật khúc xạ ta có n1sini = n2sinr.
Bài 7: Chiết suất tuyệt đối của môi trường trong suốt là n thì
A. n = 1.
B. n > 1.
C. n < 1.
D. n > 0.
Lời giải:
Đáp án: B.
HD Giải: Chiết suất tuyệt đối của mọi môi trường đều lớn hơn 1.
Bài 8: Một tia sáng truyền từ môi trường này sang môi trường khác dọc theo pháp tuyến của mặt phân cách thì góc khúc xạ là
A. 0o.
B. 90o.
C. bằng igh.
D. phụ thuộc vào chiết suất hai môi trường.
Lời giải:
Đáp án: A.
HD Giải: n1sini = n2sinr, khi i = 0 thì r = 0.
Bài 9: Cho ánh sáng đơn sắc truyền từ môi trường (1) với vận tốc v1 sang môi trường (2) với vận tốc v2, biết v2 < v1 thì
A. i < r.
B. i > r.
D. n2sini = n1sinr.
Lời giải:
Đáp án: B.
HD Giải:
Bài 10: Chọn câu không đúng. Khi hiện tượng khúc xạ ánh sáng từ không khí vào nước thì.
A. góc tới i lớn hơn góc khúc xạ r.
B. góc tới i bé hơn góc khúc xạ r.
C. góc tới i đồng biến góc khúc xạ r.
D. tỉ số sini với sinr là không đổi.
Lời giải:
Đáp án: B.
HD Giải: n1sini = n2sinr, khi truyền từ không khí vào nước thì n1 < n2 ⇒ i > r.
Bài 11: Khi hiện tượng khúc xạ ánh sáng từ môi trường trong suốt ra không khí thì
A. góc tới i lớn hơn góc khúc xạ r.
B. góc tới i bé hơn góc khúc xạ r.
C. góc tới i nghịch biến góc khúc xạ r.
D. tỉ số sini với sinr là thay đổi.
Lời giải:
Đáp án: B.
HD Giải: n1sini = n2sinr, khi truyền từ môi trường trong suốt ra không khí thì n1 > n2 ⇒ i < r.
Bài 12: Với một tia sáng đơn sắc, chiết suất tuyệt đối của nước là n1, của thuỷ tinh là n2. Chiết suất tỉ đối của nước đối với thuỷ tinh là
A. n12 = n1/n2.
B. n12 = n2/n1.
C. n21 = n2 – n1.
D. n12 = n1 – n2.
Lời giải:
Đáp án: A.
HD Giải: Chiết suất tỉ đối của nước đối với thuỷ tinh là n12 = n1/n2.
Bài 13: Chiết suất tuyệt đối của một môi trường là chiết suất tỉ đối của môi trường đó so với
A. chính nó.
B. chân không.
C. không khí.
D. nước.
Lời giải:
Đáp án: B.
HD Giải: Chiết suất tuyệt đối của một môi trường là chiết suất tỉ đối của môi trường đó so với chân không.
Bài 14: Chiếu một tia sáng đơn sắc đi từ không khí vào môi trường có chiết suất n, sao cho tia phản xạ vuông góc với tia khúc xạ. Khi đó góc tới i được tính theo công thức
A. sini = n.
B. sini = 1/n.
C. tani = n.
D. tani = 1/n.
Lời giải:
Đáp án: C.
HD Giải:
Bài 15: Chọn câu sai.
A. Chiết suất là đại lượng không có đơn vị.
B. Chiết suất tuyệt đối của một môi trường luôn luôn nhỏ hơn 1.
C. Chiết suất tuyệt đối của chân không bằng 1.
D. Chiết suất tuyệt đối của một môi trường không nhỏ hơn 1.
Lời giải:
Đáp án: B.
HD Giải: Chiết suất tuyệt đối của một môi trường luôn luôn lớn hơn 1.
Bài 16: Tốc độ ánh sáng trong không khí là v1, trong nước là v2. Một tia sáng chiếu từ nước ra ngoài không khí với góc tới là i, có góc khúc xạ là r. Kết luận nào dưới đây là đúng?
A. v1 > v2; i > r.
B. v1 > v2; i < r.
C. v1 < v2; i > r.
D. v1 < v2; i < r.
Lời giải:
Đáp án: B.
HD Giải:
Khi tia sáng truyền từ nước ra không khí ta có n2sini = n1sinr, n2 > n1 ⇒ i < r.
Bài 17: Trong trường hợp sau đây, tia sáng không truyền thẳng khi
A. truyền qua mặt phân cách giữa hai môi trường trong suốt có cùng chiết suất.
B. tới vuông góc với mặt phân cách giữa hai môi trường trong suốt.
C. có hướng đi qua tâm của một quả cầu trong suốt.
D. truyền xiên góc từ không khí vào kim cương.
Lời giải:
Đáp án: D.
HD Giải: Khi truyền xiên góc từ không khí vào kim cương thì tia sáng bị gãy khúc do hiện tượng khúc xạ ánh sáng.
Bài 18: Khi nhìn một hòn sỏi trong chậu nước, ta thấy hòn sỏi như được “nâng lên”. Hiện tượng này liên quan đến
A. sự truyền thẳng của ánh sáng.
B. sự khúc xạ của ánh sáng.
C. sự phản xạ của ánh sáng.
D. khả năng quan sát của mắt người.
Lời giải:
Đáp án: B.
HD Giải: Do hiện tượng khúc xạ ánh sáng nên ta nhìn thấy hòn sỏi được nâng lên.
Bài 19: Một tia sáng truyền từ môi trường 1 sang môi trường 2 với góc tới và góc khúc xạ lần lượt là 45o và 30o. Kết luận nào dưới đây không đúng?
A. Môi trường 2 chiết quang hơn môi trường 1.
B. Phương của tia khúc xạ và phương của tia tới hợp nhau một góc 15o.
C. Luôn có tia khúc xạ với mọi góc tới.
D. Môi trường 1 chiết quang hơn môi trường 2.
Lời giải:
Đáp án: D.
HD Giải: Theo định luật khúc xạ ta có n1sin45o = n2sin30o ⇒ n1 < n2 ⇒ môi trường 1 kém chiết quang hơn môi trường 2.
Bài 20: Một tia sáng chiếu xiên góc từ một môi trường sang môi trường chiết quang kém hơn với góc tới i thì tia khúc xạ hợp với pháp tuyến một góc khúc xạ r. Khi tăng góc tới i (với sini < n2/n1) thì góc khúc xạ r
A. tăng lên và r > i.
B. tăng lên và r < i.
C. giảm xuống và r > i.
D. giảm xuống và r < i.
Lời giải:
Đáp án: B.
HD Giải: n1sini = n2sinr ⇒ n1 < n2 ⇒ r < i, i tăng thì r tăng.
Bài 21: Lần lượt chiếu tia sáng từ không khí vào hai môi trường (1) và (2) có chiết suất n1 và n2 với cùng góc tới i. Khi đó góc khúc xạ trong môi trường (1) là 30o, góc khúc xạ trong môi trường (2) là 45o. Kết luận nào dưới đây không đúng?
A. Khi tia sáng truyền từ (1) sang (2) với góc tới bằng 30o thì góc khúc xạ bằng 45o.
B. Môi trường (1) chiết quang kém hơn môi trường (2).
C. Có thể xảy ra hiện tượng phản xạ toàn phần khi tia sáng truyền từ (1) sang (2).
D. Khi tia sáng truyền từ (1) sang (2) với góc tới bằng 50o thì không còn tia khúc xạ.
Lời giải:
Đáp án: B.
HD Giải:
⇒ Môi trường (1) chiết quang hơn môi trường (2).
Bài 22: Một cái cọc cắm thẳng đứng trên sông, nửa bên trong nửa bên ngoài nước. Một cái cọc khác cùng chiều dài được cắm thẳng đứng trên bờ. Bóng của cọc cắm thẳng đứng dưới sông sẽ
A. dài hơn bóng của cọc cắm trên bờ.
B. bằng với bóng của cọc cắm trên bờ.
C. ngắn hơn bóng của cọc cắm trên bờ.
D. ngắn hơn bóng của cọc cắm trên bờ nếu Mặt Trời lên cao và dài hơn bóng của cọc cắm trên bờ nếu Mặt Trời xuống thấp.
Lời giải:
Đáp án: C.
HD Giải: Khi được chiếu sáng bởi ánh sáng Mặt Trời thì bóng của cọ cắm trên sông ngắn hơn vì tia sáng bị gãy khúc khi qua mặt sông và do nkk < nnc nên r luôn nhỏ hơn i nên bóng của cọc dưới đáy sông luôn ngắn hơn.
Bài 23: Hiện tượng phản xạ toàn phần là hiện tượng
A. ánh sáng bị phản xạ toàn bộ trở lại khi khi chiếu tới mặt phân cách giữa hai môi trường trong suốt.
B. ánh sáng bị phản xạ toàn bộ trở lại khi gặp bề mặt nhẵn.
C. ánh sáng bị đổi hướng đột ngột khi truyền qua mặt phân cách giữa 2 môi trường trong suốt.
D. cường độ sáng bị giảm khi truyền qua mặt phân cách giữa hai môi trường trong suốt.
Lời giải:
Đáp án: A.
HD Giải: Hiện tượng phản xạ toàn phần là hiện tượng ánh sáng bị phản xạ toàn bộ trở lại khi khi chiếu tới mặt phân cách giữa hai môi trường trong suốt.
Bài 24: Hiện tượng phản xạ toàn phần xảy ra với hai điều kiện là:
A. Ánh sáng có chiều từ môi trường chiết quang hơn sang môi trường chiết quang kém và góc tới lớn hơn hoặc bằng góc giới hạn phản xạ toàn phần.
B. Ánh sáng có chiều từ môi trường chiết quang kém sang môi trường chiết quang hơn và góc tới lớn hơn hoặc bằng góc giới hạn phản xạ toàn phần.
C. Ánh sáng có chiều từ môi trường chiết quang kém sang môi trường chiết quang hơn và góc tới nhỏ hơn hoặc bằng góc giới hạn phản xạ toàn phần.
D. Ánh sáng có chiều từ môi trường chiết quang hơn sang môi trường chiết quang kém và góc tới nhỏ hơn góc giới hạn phản xạ toàn phần.
Lời giải:
Đáp án: A.
HD Giải: Hiện tượng phản xạ toàn phần xảy ra với hai điều kiện là: Ánh sáng có chiều từ môi trường chiết quang hơn sang môi trường chiết quang kém và góc tới lớn hơn hoặc bằng góc giới hạn phản xạ toàn phần.
Bài 25: Cho chiết suất của nước bằng 4/3, của benzen bằng 1,5, của thủy tinh flin là 1,8. Hiện tượng phản xạ toàn phần có thể xảy ra khi chiếu ánh sáng từ
A. từ benzen vào nước.
B. từ nước vào thủy tinh flin.
C. từ benzen vào thủy tinh flin.
D. từ chân không vào thủy tinh flin.
Lời giải:
Đáp án: A.
HD Giải: Hiện tượng phản xạ toàn phần có thể xảy ra khi chiếu ánh sáng từ từ benzen vào nước vì nbenzen > nnước.
Bài 26: Cho ba môi trường trong suốt là nước (có chiết suất là 1,33), thủy tinh crao (có chiết suất là 1,53) và kim cương (có chiết suất là 2,41). Hiện tượng phản xạ toàn phần không thể xảy ra khi tia sáng truyền xiên góc từ
A. thủy tinh crao sang kim cương.
B. kim cương sang thủy tinh crao.
C. thủy tinh crao sang nước.
D. kim cương sang nước.
Lời giải:
Đáp án: A.
HD Giải: Hiện tượng phản xạ toàn phần không thể xảy ra khi chiếu ánh sáng từ từ thủy tinh crao sang kim cương vì nthủy tinh < nkim cương.
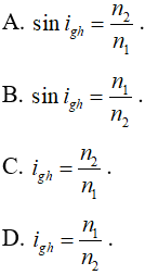
Bài 27: Khi ánh sáng truyền từ môi trường trong suốt (1) sang môi trường trong suốt (2) có chiết suất lần lượt n1 > n2. Góc tới giới hạn phản xạ toàn phần giữa 2 môi trường đó được xác định bởi công thức
Lời giải:
Đáp án: A.
HD Giải: Góc tới giới hạn phản xạ toàn phần giữa 2 môi trường đó được xác định bởi công thức
Bài 28: Khi ánh sáng truyền từ môi trường chiết suất lớn sang môi trường có chiết suất nhỏ hơn thì
A. không thể có hiện tượng phản xạ toàn phần.
B. có thể xảy ra hiện tượng phản xạ toàn phần.
C. hiện tượng phản xạ toàn phần xảy ra khi góc tới lớn nhất.
D. luôn luôn xảy ra hiện tượng phản xạ toàn phần.
Lời giải:
Đáp án: B.
HD Giải: Khi ánh sáng truyền từ môi trường chiết suất lớn sang môi trường có chiết suất nhỏ hơn thì có thể xảy ra hiện tượng phản xạ toàn phần nếu góc tới lớn hơn hoặc bằng góc giới hạn.
Bài 29: Trong các ứng dụng sau đây, ứng dụng của hiện tượng phản xạ toàn phần là
A. gương phẳng.
B. gương cầu.
C. cáp dẫn sáng trong nội soi.
C. thấu kính.
Lời giải:
Đáp án: C.
HD Giải: Cáp dẫn sáng trong nội soi là ứng dụng của hiện tượng phản xạ toàn phần.
Bài 30: Hiện tượng nào sau đây không được giải thích bằng hiện tượng phản xạ toàn phần?
A. Lúc trưa nắng, mặt đường nhựa khô ráo, nhưng nhìn từ xa có vẻ như ướt nước.
B. Kim cương sáng lóng lánh.
C. Ảnh Tháp Rùa trên mặt nước Hồ Gươm.
D. Cáp quang dùng trong thông tin liên lạc.
Lời giải:
Đáp án: C.
HD Giải: Ảnh Tháp Rùa trên mặt nước Hồ Gươm là ứng dụng của hiện tượng khúc xạ ánh sáng.
Bài tập tự luyện
Bài 1: Khi góc tới tăng 2 lần thì góc khúc xạ
A. chưa đủ dữ kiện để xác định
B. tăng lần
C. tăng 2 lần
D. tăng 4 lần
Bài 2: Chiếu một tia sáng từ benzen có chiết suất 1,5 với góc tới 800 ra không khí. Góc khúc xạ là
A. không xác định được.
B. 800.
C. 530
D. 410
Bài 3: Đặt một khối chất trong suốt hình lập phương chiết suất n lên một trang giấy có các dòng chữ. Nhìn qua mặt bên của khối chất đọc được các dòng chữ, khi n phải thoả mãn điều kiện nào
A. n >
B. n <
C. n >
D. n <
Bài 4: Gọi io là góc tới trong môi trường có chiết suất no, r là góc khúc xạ trong môi trường có chiết suất n. Biểu thức nào sau đây đúng khi nói về định luật khúc xạ ?
A.
B.
C. n.sinio = no.sinr
D.
Bài 5: Chiếu một tia sáng từ không khí vào một môi trường có chiết suất n = thì tia khúc xạ và tia phản xạ vuông góc nhau. Tính góc tới.
A. 30o
B.45o.
C.35o
D. 60o
Bài 6: Một người nhìn hòn sỏi dưới đáy bể nước chiết suất 4/3 theo phương gần như vuông góc với mặt nước. Các ảnh của hòn sỏi khi độ cao nước trong bể là d1 và d2 = 2d1 ở cách xa nhau 15cm. Độ sâu của mỗi ảnh so với đáy bể nước lần lượt là
A. 10cm và 5cm
B. 7,5cm và 15cm
C. 5cm và 10cm
D. 15cm và 30cm
Bài 7: Một người nhìn thẳng đứng xuống một bể nước trong nhìn thấy đáy bể dường như cách mặt nước 1,2m, chiết suất của nước là 4/3. Chiều sâu thực của bể
A. 1,4m
B. 1,6m
C. 1,2m
D. Không xác định được
Bài 8: Tia sáng từ thuỷ tinh chiết suất 1,5 đến mặt phân cách với nước chiết suất 4/3. Điều kiện của góc tới i để có tia ló đi vào nước là
A. i ≤ 62044/
B. i < 48035/
C. i < 41048/
D. i ≥ 62044/
Bài 9: Có ba môi trường trong suốt 1, 2, 3. Với cùng một góc tới, nếu ánh sáng đi từ 1 sang 2 thì góc khúc xạ là 300, nếu ánh sáng đi từ 1 sang 3 thì góc khúc xạ là 450. Góc giới hạn toàn phần giữa 2 và 3 là
A. 30o
B.45o.
C.Không xác định được
D. 60o
Bài 10: Nhận định nào sau đây về hiện tượng khúc xạ là không đúng
A. Tia khúc xạ nằm ở môi trường thứ 2 tiếp giáp với môi trường chứa tia tới.
B. Tia khúc xạ nằm trong mặt phẳng chứa tia tới và pháp tuyến.
C Khi góc tới bằng 0, góc khúc xạ cũng bằng 0.
D. Góc khúc xạ luôn bằng góc tới.
(199k) Học Vật Lí 11 KNTTHọc Vật Lí 11 CDHọc Vật Lí 11 CTST
Xem thêm các dạng bài tập Vật Lí lớp 11 có trong đề thi Tốt nghiệp THPT khác:
- Lý thuyết Khúc xạ ánh sáng
- Lý thuyết Phản xạ toàn phần
- Lý thuyết tổng hợp chương: Khúc xạ ánh sáng
- 30 câu trắc nghiệm Khúc xạ ánh sáng có lời giải (nâng cao)
Tủ sách VIETJACK shopee lớp 10-11 (cả 3 bộ sách):
Đã có app VietJack trên điện thoại, giải bài tập SGK, SBT Soạn văn, Văn mẫu, Thi online, Bài giảng....miễn phí. Tải ngay ứng dụng trên Android và iOS.
Theo dõi chúng tôi miễn phí trên mạng xã hội facebook và youtube:Nếu thấy hay, hãy động viên và chia sẻ nhé! Các bình luận không phù hợp với nội quy bình luận trang web sẽ bị cấm bình luận vĩnh viễn.
- Giải Tiếng Anh 11 Global Success
- Giải sgk Tiếng Anh 11 Smart World
- Giải sgk Tiếng Anh 11 Friends Global
- Lớp 11 - Kết nối tri thức
- Soạn văn 11 (hay nhất) - KNTT
- Soạn văn 11 (ngắn nhất) - KNTT
- Giải sgk Toán 11 - KNTT
- Giải sgk Vật Lí 11 - KNTT
- Giải sgk Hóa học 11 - KNTT
- Giải sgk Sinh học 11 - KNTT
- Giải sgk Lịch Sử 11 - KNTT
- Giải sgk Địa Lí 11 - KNTT
- Giải sgk Giáo dục KTPL 11 - KNTT
- Giải sgk Tin học 11 - KNTT
- Giải sgk Công nghệ 11 - KNTT
- Giải sgk Hoạt động trải nghiệm 11 - KNTT
- Giải sgk Giáo dục quốc phòng 11 - KNTT
- Giải sgk Âm nhạc 11 - KNTT
- Lớp 11 - Chân trời sáng tạo
- Soạn văn 11 (hay nhất) - CTST
- Soạn văn 11 (ngắn nhất) - CTST
- Giải sgk Toán 11 - CTST
- Giải sgk Vật Lí 11 - CTST
- Giải sgk Hóa học 11 - CTST
- Giải sgk Sinh học 11 - CTST
- Giải sgk Lịch Sử 11 - CTST
- Giải sgk Địa Lí 11 - CTST
- Giải sgk Giáo dục KTPL 11 - CTST
- Giải sgk Hoạt động trải nghiệm 11 - CTST
- Giải sgk Âm nhạc 11 - CTST
- Lớp 11 - Cánh diều
- Soạn văn 11 Cánh diều (hay nhất)
- Soạn văn 11 Cánh diều (ngắn nhất)
- Giải sgk Toán 11 - Cánh diều
- Giải sgk Vật Lí 11 - Cánh diều
- Giải sgk Hóa học 11 - Cánh diều
- Giải sgk Sinh học 11 - Cánh diều
- Giải sgk Lịch Sử 11 - Cánh diều
- Giải sgk Địa Lí 11 - Cánh diều
- Giải sgk Giáo dục KTPL 11 - Cánh diều
- Giải sgk Tin học 11 - Cánh diều
- Giải sgk Công nghệ 11 - Cánh diều
- Giải sgk Hoạt động trải nghiệm 11 - Cánh diều
- Giải sgk Giáo dục quốc phòng 11 - Cánh diều
- Giải sgk Âm nhạc 11 - Cánh diều


Giải bài tập SGK & SBT
Tài liệu giáo viên
Sách
Khóa học
Thi online
Hỏi đáp

