Bài tập áp dụng định luật khúc xạ ánh sáng và cách giải
Với Bài tập áp dụng định luật khúc xạ ánh sáng và cách giải môn Vật Lí lớp 11 sẽ giúp học sinh nắm vững lý thuyết, biết cách và phương pháp giải các dạng bài tập từ đó có kế hoạch ôn tập hiệu quả để đạt kết quả cao trong các bài thi môn Vật lí 11.
Bài tập áp dụng định luật khúc xạ ánh sáng và cách giải
(199k) Xem Khóa học Vật Lí 11 KNTTXem Khóa học Vật Lí 11 CDXem Khóa học Vật Lí 11 CTST
I. Lí thuyết
1, Sự khúc xạ ánh sáng
- Hiện tượng khúc xạ ánh sáng: Khúc xạ ánh sáng là hiện tượng lệch phương (gãy) của các tia sáng khi truyền xiên góc qua mặt phân cách giữa hai môi trường trong suốt khác nhau.

Ở hình trên ta có:
SI là tia tới
I là điểm tới
N’IN là pháp tuyến với mặt phân cách tại I
IR là tia khúc xạ
i là góc tới, r là góc khúc xạ
- Định luật khúc xạ ánh sáng:
+ Tia khúc xạ nằm trong mặt phẳng tới (tạo bởi tia tới và pháp tuyến) và ở phía bên kia pháp tuyến so với tia tới.
+ Với hai môi trường trong suốt nhất định, tỉ số giữa sin góc tới (sin i) và sin góc khúc xạ (sin r) luôn không đổi:
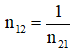
2, Chiết suất của môi trường
Chiết suất tỉ đối: Tỉ số không đổi
trong hiện tượng khúc xạ được gọi là chiết suất tỉ đối n12 của môi trường (2) chứa tia khúc xạ đối với môi trường (1) chứa tia tới: 
+ Nếu n12 > 1 thì r < i: Tia khúc xạ bị lệch lại gần pháp tuyến hơn. Ta nói môi trường (2) chiết quang hơn môi trường (1)

+ Nếu n12 < 1 thì r > i: Tia khúc xạ bị lệch xa pháp tuyến hơn. Môi trường (2) chiết quang kém hơn môi trường (1)

Chiết suất tuyệt đối: (thường gọi tắt là chiết suất) của một môi trường là chiết suất tỉ đối của môi trường đó đối với chân không. Trong đó:
+ Chiết suất của chân không là 1.
+ Chiết suất của không khí gần bằng 1.
+ Các môi trường trong suốt khác đều có chiết suất tuyệt đối lớn hơn 1.
Hệ thức giữa chiết suất tỉ đối và chiết suất tuyệt đối:
. Trong đó:
n1 là chiết suất tuyệt đối của môi trường (1)
n2 là chiết suất tuyệt đối của môi trường (2)
Như vậy, biểu thức khác của định luật khúc xạ ánh sáng: n1sin i = n2 sin r
3, Liên hệ giữa chiết suất tỉ đối và vận tốc truyền ánh sáng
Chiết suất của môi trường: 
Hệ thức giữa chiết suất tỉ đối và vận tốc truyền ánh sáng trong các môi trường: 
Trong đó:
c = 3.108m/s là vận tốc ánh sáng trong chân không.
v là vận tốc ánh sáng trong môi trường có chiết suất n.
Trường hợp i và r nhỏ hơn 100 thì: sini ≈ i; sin r ≈ r. Khi đó ta có: n1.i = n2.r
Trường hợp i = 00; r = 00 thì tia sáng đi vuông góc với mặt phân cách (không xảy ra hiện tượng khúc xạ).
4, Tính thuận nghịch của sự truyền ánh sáng.
Ánh sáng truyền đi theo đường nào thì cũng truyền ngược lại theo đường đó: 

Chú ý: Tính thuận nghịch cũng biểu hiện ở sự truyền thẳng và sự phản xạ.
II. Các dạng bài tập
Dạng 1: Áp dụng định luật khúc xạ ánh sáng
1. Phương pháp giải
- Áp dụng công thức định luật khúc xạ:
- Chiết suất của môi trường: 
2. Ví dụ minh họa
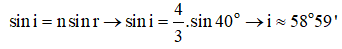
Ví dụ 1: Chiếu ánh sáng từ không khí vào nước có chiết suất
. Nếu góc khúc xạ r là 400 thì góc tới i là: (chọn đáp án gần đúng nhất).
A. 200
B. 400
C. 600
D. 800
Lời giải chi tiết
Áp dụng công thức định luật khúc xạ ánh sáng ta có: 
Chọn đáp án C
Ví dụ 2: Một tia sáng truyền từ môi trường A vào môi trường B dưới góc tới 120 thì góc khúc xạ là 80. Tốc độ ánh sáng trong môi trường B là 2,8.108 m/s. Tốc độ ánh sáng trong môi trường A là bao nhiêu? (chọn đáp án gần đúng nhất).
A. 1,18.105 km/s
B. 2,18.105 km/s
C. 3,18.105 km/s
D. 4,18.105 km/s
Lời giải chi tiết
Ta có: 
Chọn đáp án D
III. Lí thuyết
Câu 1: Khi góc tới tăng 2 lần thì góc khúc xạ
A. tăng 2 lần.
B. tăng 4 lần.
C. tăng lần.
D. chưa đủ dữ kiện để xác định.
Câu 2: Khi chiếu ánh sáng đơn sắc từ không khí vào một khối chất trong suốt với góc tới 600 thì góc khúc xạ là 300. Khi chiếu cùng ánh sáng đơn sắc đó từ khối chất đã cho ra không khí với góc tới 300 thì góc khúc xạ
A. nhỏ hơn 300.
B. lớn hơn 600.
C. bằng 600.
D. lớn hơn 300.
Câu 3: Chiếu một ánh sáng đơn sắc từ chân không vào một khối chất trong suốt với góc tới 450 thì góc khúc xạ bằng 300. Chiết suất tuyệt đối của môi trường này là
A.
B.
C. 2
D.
Câu 4: Khi chiếu một tia sáng từ chân không vào một môi trường trong suốt thì thấy tia phản xạ vuông góc với tia tới. Góc khúc xạ chỉ có thể nhận giá trị
A. 400.
B. 500.
C. 600.
D. 700.
Câu 5 Chiếu ánh sáng từ không khí vào thủy tinh có chiết suất n = 1,5. Nếu góc tới i = 60 thì góc khúc xạ r là
A. 30.
B. 40.
C. 70.
D. 90.
Câu 6: Một tia sáng truyền từ môi trường A vào môi trường B dưới góc tới 90 thì góc khúc xạ là 80. Tìm góc khúc xạ khi góc tới là 600.
A. 50,40.
B. 56,30.
C. 50,30.
D. 58,70.
Câu 7: Chiếu một chùm tia sáng song song trong không khí tới mặt nước (n = 4/3) với góc tới là 450. Góc hợp bởi tia khúc xạ và tia tới là:
A. D = 70032’.
B. D = 450.
C. D = 25032’.
D. D = 130.
Câu 8: Tính góc khúc xạ của tia sáng từ không khí tới mặt thủy tinh (chiết suất 1,5) sao cho góc khúc xạ bằng một nữa góc tới.
A. 82,80.
B. 83,60.
C. 41,40.
D. 12,80.
Câu 9: Một tia sáng truyền từ môi trường A vào môi trường B dưới góc tới 90 thì góc khúc xạ là 80. Tính vận tốc ánh sáng trong môi trường A. Biết vận tốc ánh sáng trong môi trường B là 2.105 km/s.
A. 2,25.105 km/s.
B. 2,3.105 km/s.
C. 1,8.105 km/s.
D. 2,5.105 km/s.
Câu 10: Tia sáng đi từ nước có chiết suất sang thủy tinh có chiết suất 1,5. Tính góc lệch D giữa tia khúc xạ và tia tới. Biết góc tới i = 300.
A. 110.
B. 100.
C. 80.
D. 3,60.
(199k) Xem Khóa học Vật Lí 11 KNTTXem Khóa học Vật Lí 11 CDXem Khóa học Vật Lí 11 CTST
Xem thêm các dạng bài tập Vật Lí lớp 11 có trong đề thi THPT Quốc gia khác:
- Bài tập Xác định ảnh của một vật qua lưỡng chất phẳng
- Bài tập Khúc xạ qua bản mặt song song
- Bài tập phản xạ toàn phần
Tủ sách VIETJACK shopee lớp 10-11 (cả 3 bộ sách):
Đã có app VietJack trên điện thoại, giải bài tập SGK, SBT Soạn văn, Văn mẫu, Thi online, Bài giảng....miễn phí. Tải ngay ứng dụng trên Android và iOS.
Theo dõi chúng tôi miễn phí trên mạng xã hội facebook và youtube:Nếu thấy hay, hãy động viên và chia sẻ nhé! Các bình luận không phù hợp với nội quy bình luận trang web sẽ bị cấm bình luận vĩnh viễn.
- Giải Tiếng Anh 11 Global Success
- Giải sgk Tiếng Anh 11 Smart World
- Giải sgk Tiếng Anh 11 Friends Global
- Lớp 11 - Kết nối tri thức
- Soạn văn 11 (hay nhất) - KNTT
- Soạn văn 11 (ngắn nhất) - KNTT
- Giải sgk Toán 11 - KNTT
- Giải sgk Vật Lí 11 - KNTT
- Giải sgk Hóa học 11 - KNTT
- Giải sgk Sinh học 11 - KNTT
- Giải sgk Lịch Sử 11 - KNTT
- Giải sgk Địa Lí 11 - KNTT
- Giải sgk Giáo dục KTPL 11 - KNTT
- Giải sgk Tin học 11 - KNTT
- Giải sgk Công nghệ 11 - KNTT
- Giải sgk Hoạt động trải nghiệm 11 - KNTT
- Giải sgk Giáo dục quốc phòng 11 - KNTT
- Giải sgk Âm nhạc 11 - KNTT
- Lớp 11 - Chân trời sáng tạo
- Soạn văn 11 (hay nhất) - CTST
- Soạn văn 11 (ngắn nhất) - CTST
- Giải sgk Toán 11 - CTST
- Giải sgk Vật Lí 11 - CTST
- Giải sgk Hóa học 11 - CTST
- Giải sgk Sinh học 11 - CTST
- Giải sgk Lịch Sử 11 - CTST
- Giải sgk Địa Lí 11 - CTST
- Giải sgk Giáo dục KTPL 11 - CTST
- Giải sgk Hoạt động trải nghiệm 11 - CTST
- Giải sgk Âm nhạc 11 - CTST
- Lớp 11 - Cánh diều
- Soạn văn 11 Cánh diều (hay nhất)
- Soạn văn 11 Cánh diều (ngắn nhất)
- Giải sgk Toán 11 - Cánh diều
- Giải sgk Vật Lí 11 - Cánh diều
- Giải sgk Hóa học 11 - Cánh diều
- Giải sgk Sinh học 11 - Cánh diều
- Giải sgk Lịch Sử 11 - Cánh diều
- Giải sgk Địa Lí 11 - Cánh diều
- Giải sgk Giáo dục KTPL 11 - Cánh diều
- Giải sgk Tin học 11 - Cánh diều
- Giải sgk Công nghệ 11 - Cánh diều
- Giải sgk Hoạt động trải nghiệm 11 - Cánh diều
- Giải sgk Giáo dục quốc phòng 11 - Cánh diều
- Giải sgk Âm nhạc 11 - Cánh diều


Giải bài tập SGK & SBT
Tài liệu giáo viên
Sách
Khóa học
Thi online
Hỏi đáp

