Các dạng bài tập lực từ và cách giải
Với Các dạng bài tập lực từ và cách giải sẽ giúp học sinh nắm vững lý thuyết, biết cách làm bài tập từ đó có kế hoạch ôn tập hiệu quả để đạt kết quả cao trong các bài thi môn Vật lí 11.
Các dạng bài tập lực từ và cách giải
(199k) Xem Khóa học Vật Lí 11 KNTTXem Khóa học Vật Lí 11 CDXem Khóa học Vật Lí 11 CTST
I. Lý thuyết
1. Lực từ do từ trường đều tác dụng lên dây dẫn thẳng mang dòng điện

+ Có điểm đặt tại trung điểm của đoạn dây.
+ Có phương vuông góc với đoạn dây và đường sức từ
+ Có chiều xác định theo quy tắc bàn tay trái: “Để bàn tay trái sao cho vectơ cảm ứng từ hướng vào lòng bàn tay, chiều từ cổ tay đến ngón giữa là chiều dòng điện chạy trong đoạn dây, khi đó chiều ngón tay cái choãi ra chỉ chiều của lực từ F→”
+ Có độ lớn: F = B.I.l.sinα
Trong đó:
B là cảm ứng từ (T);
I là cường độ dòng điện (A);
l là chiều dài dây dẫn (m);
α là góc tạo bởi chiều dòng điện và chiều của .
Chú ý:
+ Chiều của cảm ứng từ bên ngoài nam châm là chiều vào Nam (S) ra Bắc (N)
+ Quy ước:
: Có phương vuông góc với mặt phẳng biểu diễn, chiều đi ra.
: Có phương vuông góc với mặt phẳng biểu diễn, chiều đi vào.
: Có phương, chiều là phương chiều của mũi tên và nằm trên mặt phẳng vẽ nó.
2. Lực từ tác dụng lên giữa 2 dây dẫn thẳng dài song song có dòng điện
chạy qua
- Nếu 2 dòng điện chạy cùng chiều 2 dây hút nhau.

- Nếu 2 dòng điện chạy ngược chiều 2 dây đẩy nhau.

- Lực tác dụng có độ lớn:
Trong đó:
+ I1, I2: Cường độ dòng điện chạy qua 2 dây dẫn.
+ ℓ: Chiều dài 2 dây.
+ D: Khoảng cách 2 dây.
Chú ý:
+ Lực hút hay lực đẩy giữa hai dòng điện có phương nằm trên đường nối hai dòng điện
+ Nếu tính cho dây có chiều dài L thì:
+ Khi có nhiều dòng điện tác dụng lên nhau thì ta áp dụng nguyên lý chồng chất: F→ = + + F3→ +...
3. Lực từ tác dụng lên khung dây có dòng điện
- Đường sức từ nằm ngang trong mặt phẳng khung
+ Lực từ tác dụng lên hai đoạn dây AB và CD bằng 0 (vì AB và CD song song với đường sức từ).
+ Áp dụng quy tắc bàn tay trái ta thấy các lực từ tác dụng lên hai đoạn dây BC và DA như hình vẽ a. Hai lực này hợp thành một ngẫu lực và làm cho khung dây quay quanh trục OO'.

- Đường sức từ vuông góc với mặt khung
+ Áp dụng quy tắc bàn tay trái ta thấy các lực từ tác dụng lên khung dây như hình vẽ b. Các lực này không có tác dụng làm cho khung quay.

II. Các dạng bài tập
Dạng 1. Lực từ tác dụng lên đoạn dây dẫn thẳng
1. Phương pháp
- Áp dụng công thức lực từ
để giải bài toán
- Đối với bài toán treo dây dẫn trong từ trường ta giải bài toán theo các bước sau:
+ Xác định các lực tác dụng lên vật
+ Phân tích và tổng hợp lực
+ Áp dụng công thức điều kiện cân bằng của vật
+ Viết phương trình chiếu lên các phương của lực
+ Giải phương trình
2. Ví dụ minh họa
Ví dụ 1: Một dây dẫn có chiều dài 10 m được đặt trong từ trường đều có B = 5.10-2 T. Cho dòng điện có cường độ 10 A chạy qua dây dẫn.
a) Xác định lực từ tác dụng lên dây dẫn khi dây dẫn đặt vuông góc với .
b) Nếu lực từ tác dụng có độ lớn bằng 2,5√3 N. Hãy xác định góc giữa và chiều dòng điện?
Hướng dẫn giải
a) Lực từ F→ có đặc điểm:
+ Điểm đặt tại trung điểm đoạn dây mang dòng điện
+ Có phương vuông góc với I→ và , có chiều tuân theo quy tắc bàn tay trái
+ Độ lớn: F = B.I.l.sinα = (5.10−2).10.10.sin90o = 5 (N)
b) Ta có:
Ví dụ 2: Một dây dẫn được gập thành khung dây dạng tam giác vuông MNP (hình vẽ). Biết MN = 30 cm, NP = 40 cm. Đặt khung dây vào từ trường đều B = 0,01 T ( có phương vuông góc với mặt phẳng hình vẽ, có chiều từ ngoài vào trong như hình). Cho dòng điện I = 10A vào khung có chiều MNPM. Lực từ tác dụng vào các cạnh của khung dây là bao nhiêu.

Hướng dẫn giải

- Vì vuông góc với mặt phẳng MNP nên vuông góc với tất cả các cạnh của tam giác MNP.
- Lực từ tác dụng lên đoạn MN
+ Có điểm đặt tại trung điểm của MN
+ Có phương vuông góc với MN, chiều hướng sang phải như hình vẽ.
+ Có độ lớn: FMN = B.I.lMN.sin90o = 0,01.10.0,3 = 0,03 (N)
- Lực từ tác dụng lên đoạn NP
+ Có điểm đặt tại trung điểm của NP
+ Có phương vuông góc với NP, chiều hướng lên như hình vẽ.
+ Có độ lớn: FNP = B.I.lNP.sin90o = 0,01.10.0,4 = 0,04 (N)
- Lực từ tác dụng lên đoạn PM
+ Có điểm đặt tại trung điểm của PM
+ Có phương vuông góc với PM, chiều như hình vẽ.
+ Có độ lớn:
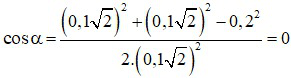
Ví dụ 3: Treo đoạn dây dẫn có chiều dài l = 5 cm, khối lượng m = 5g bằng hai dây mảnh, nhẹ sao cho dây dẫn nằm ngang. Biết cảm ứng từ của từ trường hướng thẳng đứng xuống dưới, có độ lớn B = 0,5 T và dòng điện đi qua dây dẫn là I = 2A. Nếu lấy g = 10m/s2 thì góc lệch α của dây treo so với phương thẳng đứng là bao nhiêu.

Hướng dẫn giải
+ Các lực tác dụng lên thanh MN gồm:
Trọng lực có phương thẳng đứng, hướng xuống.
Lực căng dây dây T→
Lực từ F→ (dùng quy tắc bàn tay trái xác định chiều của F→)
+ Các lực được biểu diễn như hình:

+ Điều kiện cân bằng: T→ + F→ + = 0 ⇒ T→ + = 0 ⇒ T→ = − ⇒ β = α
+ Từ hình vẽ ta có:
Ví dụ 4:Một dây dẫn thẳng MN chiều dài l, khối lượng của một đơn vị dài của dây là D = 0,04kg/m. Dây được treo bằng hai dây dẫn nhẹ thẳng đứng và đặt trong từ trường đều có vuông góc với mặt phẳng chứa MN và dây treo, B = 0,04T. Cho dòng điện I qua dây.
a) Định chiều và độ lớn của I để lực căng của các dây treo bằng không.
b) Cho MN = 25cm, I = 16A có chiều từ N đến M. Tính lực căng của mỗi dây.

Hướng dẫn giải
a)

Để lực căng của dây treo bằng không thì trọng lực và lực từ tác dụng lên dây dẫn thẳng MN phải bằng nhau và lực từ phải hướng lên trên. Theo quy tắc bàn tay trái thì cường độ dòng điện I phải có chiều từ M đến N:
+ F→ = 0→ ⇒ F = P ⇔ B.I.l.sinα = mg

b) Lực từ tác dụng lên MN: F = B.I.l.sinα = 0,04.16.0,25 = 0,16 N
Khi MN nằm cân bằng thì: F→ + + 2T→ = 0→ (1)
Chiếu (1) lên phương của : F + P – 2T = 0
Dạng 2: Lực từ tác dụng lên 2 dòng điện song song
1. Phương pháp
- Áp dụng công thức lực từ cho dây có chiều dài L:
Khi L = 1m
- Tính lực do các dòng điện I1 và I2 tác dụng lên I3: F→ = F13→ + F23→
Bước 1: Xác định lực F13→, F23→ tác dụng lên dòng điện I3
Bước 2: Tính độ lớn của lực F12, F23
Bước 3: Áp dụng công thức tổng hợp lực để tính tổng các lực tác dụng lên I3
- Các trường hợp đặc biệt
+ F13→ ↑↑ F23→ ⇒ α = 0 ⇒ F = F13 + F23
+ F13→ ↑↓ F23→ ⇒ α = 180 ⇒ F = |F13 − F23|
+ F13→ ⊥ F23→ ⇒ α = 90 ⇒
+ Khi F13 = F23 ⇒ F = 2F13cosβ; β =
2. Ví dụ minh họa
Ví dụ 1: Hai dây dẫn thẳng dài, đặt song song với nhau và cách nhau 5 cm đặt trong không khí. Dòng điện chạy trong dây dẫn có cường độ là I1 = 4 A, I2 = 5 A.
a) Tính lực từ tác dụng lên một đơn vị chiều dài của dây.
b) Tính lực từ tác dụng lên một đoạn có chiều dài 5 m của mỗi dây.
Hướng dẫn giải
a) Lực tác dụng lên một đơn vị chiều dài của dây:
b) Lực từ tác dụng lên một đoạn có chiều dài 0,2m của mỗi dây:
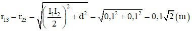
Ví dụ 2: Hai dòng điện thẳng đặt song song cách nhau 20 cm mang hai dòng điện cùng chiều I1 = I2 = 20 A, dòng điện thứ 3 đặt song song với hai dòng điện trên và thuộc mặt phẳng trung trực của 2 dòng I1, I2. Biết I3 = 10A, ngược chiều với I1 và I3 cách mặt phẳng chứa (I1, I2) đoạn d. Tính lực từ tác dụng lên 1 m dòng I3 nếu d = 10 cm.
Hướng dẫn giải
a) Gọi F13→, F23→ lần lượt là lực do dòng điện I1 và I2 tác dụng lên dòng I3.
Vì dòng điện I3 ngược chiều với I1 và I2 nên lực F13→, F23→ là lực đẩy (hình vẽ).

+ Ta có:
Lại có I1 = I2
- Gọi F→ là hợp lực do I1 và I2 tác dụng lên I3
+ Ta có: F→ = F13→ + F23→
+ Vì F13 = F23 nên F = 2F23cosβ (với
)
Hay:
Chú ý: Có thể tính F bằng cách khác như sau
+ Gọi α là góc tạo bởi F13→, F23→, theo định lí hàm số cos ta có:
+ Lại có:
. Thay số: F = 4.10-4 (N)
Ví dụ 3: Ba dây dẫn thẳng dài đặt song song trong cùng một mặt phẳng thẳng đứng có khoảng cách a = 5 cm như hình vẽ. Dây 1 và 3 được giữ cố định, có cường độ dòng điện I1 = 2I3 = 4A đi qua như hình vẽ. Dây 2 tự do có dòng I2 = 5A đi qua. Tìm chiều di chuyển của dây 2 và lực từ tác dụng lên 1m dây 2 khi nó bắt đầu chuyển động nếu I2 có chiều dòng điện:

a) Đi lên.
b) Đi xuống.
Hướng dẫn giải
a) Khi dòng điện qua I2 có chiều từ dưới lên, lúc này I1 sẽ đẩy I2 một lực F12→ còn I2 sẽ đẩy I3 một lực F32→

+ Ta có:
+ Lực tổng hợp tác dụng lên mỗi đơn vị chiều dài của dây mang I2 là: F→ = F12→ + F32→
+ Vì F12→ và F32→ cùng phương, ngược chiều nhau và F12 > F32 nên: F = F12 − F32 = 4.10−5 N
+ Vectơ F→ có phương vuông góc với sợi dây I2 và có chiều hướng sang phải (như hình vẽ) nên sợi dây mang I2 sẽ dịch chuyển sang bên phải đến khi cân bằng được thiết lập thì dừng lại.
b) Khi dòng điện qua I2 có chiều từ trên xuống, lúc này I1 sẽ hút I2 một lực F12→ còn I2 sẽ hút I3 một lực F32→

+ Ta có:
+ Lực tổng hợp tác dụng lên mỗi đơn vị chiều dài của dây mang I2 là: F→ = F12→ + F32→
+ Vì F12→ và F32→ cùng phương, ngược chiều nhau và F12 > F32 nên: F = F12 − F32 = 4.10−5 N
+ Vectơ F→ có phương vuông góc với sợi dây I2 và có chiều hướng sang trái (như hình vẽ) nên sợi dây mang I2 sẽ dịch chuyển sang bên trái đến khi cân bằng được thiết lập thì dừng lại.
Dạng 3: Lực từ tác dụng lên khung dây dẫn có dòng điện
1. Lý thuyết
- Lực từ tác dụng lên phần tử dòng điện Iℓ→ đặt trong từ trường có:
+ Điểm đặt: trung điểm của phần tử dòng điện.
+ Chiều: Xác định theo quy tắc bàn tay trái.
+ Độ lớn: F = BIℓsinα với α là góc hợp bởi Iℓ→ và
- Để tìm lực từ tác dụng lên khung dây, tìm lực từ tác dụng lên từng cạnh rồi tìm lực tổng hợp.
+ Nếu mặt phẳng khung dây vuông góc với đường cảm ứng từ khi đó các lực tác dụng lên khung không làm quay khung (chỉ làm cho khung giãn ra hoặc co lại).
+ Nếu mặt phẳng khung dây song song với đường cảm ứng từ khi đó xuất hiện ngẫu lực làm khung quay với momen: M = B.I.S.sinα
2. Phương pháp
Bước 1: Áp dụng quy tắc bàn tay trái xác định lực từ tác dụng lên từng cạnh của khung dây
Bước 2: Áp dụng quy tắc tổng hợp lực, momen lực tác dụng lên khung để giải bài toán
3. Ví dụ minh họa
Ví dụ 1. Một khung dây dần hình chữ nhật ABCD, có chu vi ℓ, có dòng điện cường độ I chạy qua, được đặt trong một từ trường đều có phương vuông góc với mặt phẳng của khung dây và có cảm ứng là B. Lực từ tổng hợp tác dụng lên khung dây dẫn có độ lớn bằng bao nhiêu
Hướng dẫn giải
+ Giả sử từ trường hướng từ trong ra ngoài mặt phẳng hình vẽ, theo quy tắc bàn tay trái hướng cùa lực từ tác dụng lên các cạnh giống như hình vẽ.
+ Vì các cạnh vuông góc với từ trường nên α = 90°, độ lớn lực từ tính theo:
Tổng hợp lực tác dụng lên khung dây là F→ = + + F3→ + F4→
+ Do
+ Do
F→ = + + F3→ + F4→ = 0→
Vậy lực từ tổng hợp tác dụng lên khung dây dẫn có độ lớn bằng 0
Ví dụ 2: Khung dây hình chữ nhật có diện tích S = 25 cm2 gồm có 10 vòng nối tiếp có cường độ dòng điện I = 2A đi qua mỗi vòng dây. Khung dây đặt thẳng đứng trong từ trường đều có B = 0,3 T. Tính momen lực từ đặt lên khung dây khi:
a) Cảm ứng từ song song với mặt phẳng khung dây.
b) Cảm ứng từ vuông góc với mặt phẳng khung dây.
Hướng dẫn giải
Momen ngẫu lực từ tác dụng lên khung dây N vòng là: M = N.B.I.S.sinθ
a) Khi cảm ứng từ song song với mặt phẳng khung dây thì góc θ = 90° nên: M = N.B.I.S = 15.10-3 (N.m)
b) Khi cảm ứng từ vuông góc với mặt phẳng khung dây thì góc θ = 0° nên: N.B.I.S.sin 0° = 0
III. Bài tập vận dụng
Bài 1: Đặt một đoạn dây dẫn thẳng dài 120 cm song song với từ trường đều có độ lớn cảm ứng từ 0,8 T. Dòng điện trong dây dẫn là 20 A thì lực từ có độ lớn là
A. 19,2 N.
B. 1920 N.
C. 1,92 N.
D. 0 N.
Đáp án: D
Bài 2: Một dây dẫn thẳng dài 1,4 m đặt trong từ trường đều có cảm ứng từ 0,25 T. Khi dòng điện cường độ 12 A chạy qua dây dẫn thì dây dẫn này bị tác dụng một lực bằng 2,1 N. Góc hợp bới hướng của dòng điện chạy qua dây dẫn và hướng của cảm ứng từ gần giá trị nào nhất sau đây?
A. 300
B. 560
C. 450
D. 900
Đáp án: A
Bài 3: Một đoạn dây dẫn thẳng dài 89cm đặt vuông góc với các đường sức từ trong một từ trường đều. Cho biết khi dòng điện chạy qua đoạn dây dẫn có cường độ 23A, thì đoạn dây dẫn này bị tác dụng một lực từ bằng 1,6 N. Xác định cảm ứng từ của từ trường đều.
A. 78.10-5 T.
B. 78.10-3 T.
C. 78T.
D. 7,8.10-3 T.
Đáp án: B
Bài 4: Một đoạn dây dẫn mang dòng điện 1,5 A chịu một lực từ 5 N. Sau đó cường độ dòng điện thay đổi thì lực từ tác dụng lên đoạn dây là 20 N. Cường độ dòng điện đã
A. tăng thêm 4,5 A.
B. tăng thêm 6 A.
C. giảm bớt 4,5 A.
D. giảm bớt 6 A.
Đáp án: A
Bài 5: Một đoạn dây dài 46 (cm) của đường dây tải điện không đổi được đặt nằm ngang theo hướng Đông-Tây. Lực từ trường Trái Đất tác dụng lên đoạn dây dẫn đó có phương thẳng đứng, hướng xuống dưới và có độ lớn 0,058 (N). Từ trường của Trái Đất bằng 3,2.10-5 (T) và song song với mặt đất. Cường độ dòng điện là
A. 3,94 (A) và chiều từ Đông sang Tây.
B. 3,94 (A) và chiều từ Tây sang Đông.
C. 29, 4 (A) và chiều từ Đông sang Tây.
D. 29, 4 (A) và chiều từ Tây sang Đông.
Đáp án: A
Bài 6: Treo đoạn dây dẫn có chiều dài l = 20cm, khối lượng m = 12g bằng hai dây mảnh, nhẹ sao cho dây dẫn nằm ngang, Biết cảm ứng từ của từ trường hướng thẳng đứng xuống dưới, có độ lớn B = 0,02T và dòng điện đi qua dây dẫn là I = 5A. Nếu lấy g = 10m/s2 thì góc lệch α của dây treo so với phương thẳng đứng là:
A. α = 4,070
B. α = 300
C. α = 450
D. α = 8,130
Đáp án: D
Bài 7: Treo một thanh đồng có chiều dài ℓ = 1m và có khối lượng 200g vào hai sợi dây thẳng đứng cùng chiều dài trong một từ trường đều có B = 0,2T và có chiều thẳng đứng từ trên xuống dưới. Cho dòng điện một chiều qua thanh đồng thì thấy dây treo bị lệch so với phương thẳng đứng một góc 600. Xác định lực căng của dây treo.
A. 2N
B. 4N
C. 6N
D. 8N
Đáp án: A
Bài 8: Treo đoạn dây dẫn MN có chiều dài ℓ, khối lượng của một đơn vị chiều dài là D = 0,04 kg/m bằng hai dây mảnh, nhẹ sao cho dây dẫn nằmngang, biết cảm ứng từ có chiều như hình vẽ, có độ lớn B = 0,04T. Định chiều và độ lớn của I để lực căng dây bằng 0.

A. Chiều từ N đến M, độ lớn I = 15A
B. Chiều từ M đến N, độ lớn I = 15A
C. Chiều từ N đến M, độ lớn I = 10A
D. Chiều từ M đến N, độ lớn I = 10A
Đáp án: C
Bài 9: Treo đoạn dây dẫn MN có chiều dài ℓ = 25cm, khối lượng của mộtđơn vị chiều dài là D = 0,04 kg/m bằng hai dây mảnh, nhẹ sao cho dây dẫn nằm ngang, biết cảm ứng từ có phương, chiều như hình vẽ, có độ lớn B = 0,04T. I = 8A có chiều từ N đến M. g = 10 m/s2. Tính lực căng của mỗi dây?

A. 0,09N
B. 0,01N
C. 0,02N.
D. 0,04N
Đáp án: B
Bài 10: Một đoạn dây đồng DC dài 20cm, nặng 12g được treo ở hai đầu bằng sợi dây mềm, rất nhẹ, cách điện sao cho đoạn dây CD nằm ngang. Đưa đoạn dây đồng vào trong từ trường đều có cảm ứng từ B = 0,2T, có hướng thẳng đứng hướng lên. Dây treo có thể chịu được lực kéo lớn nhất là 0,075N. Lấy g = 10m/s2. Để dây không bị đứt thì dòng điện qua dây DC lớn nhất bằng
A. 1,66A.
B. 1,88A.
C. 2,25A.
D. 2,36A.
Đáp án: C
Bài 11: Khi tăng đồng thời cường độ dòng điện trong cả hai dây dẫn song song lên 2 lần thì lực từ tác dụng lên một đơn vị chiều dài của mỗi dây tăng lên
A. 3 lần.
B. 4 lần.
C. 6 lần.
D. 5 lần.
Đáp án: B
Bài 12: Hai dây dẫn thẳng dài, song song được đặt trong không khí. Cường độ trong hai dây bằng nhau và bằng I = 2A. Lực từ tác dụng lên mỗi đơn vị chiều dài của dây bằng 4.10-5 N. Hỏi hai dây đó cách nhau bao nhiêu.
A. 0,01 cm
B. 2 cm
C. 2 m
D. 10 cm
Đáp án: B
Bài 13: Hai dây dẫn thẳng, dài song song và cách nhau 10 cm trong chân không, dòng điện trong hai dây cùng chiều có cường độ I1 = 2 A và I2 = 2A. Lực từ tác dụng lên 10 cm chiều dài của mỗi dây là
A. lực hút có độ lớn 4.10-7 N.
B. lực đẩy có độ lớn 4.10-6 N.
C. lực hút có độ lớn 8.10-6 N.
D. lực đẩy có độ lớn 8.10-7 N.
Đáp án: D
Bài 14: Dây dẫn thẳng dài có dòng điện I1 = 5 A đặt trong không khí. Lực từ tác dụng lên 1 m dây của dòng điện I2 = 10 A đặt song song, cách I1 20 cm và I2 ngược chiều I1 là
A. 0,5.10-4 N.
B. 5.10-5 N.
C. 5.10-4 N .
D. 2.10-4 N.
Đáp án: B
Bài 15: Hai dây dẫn thẳng dài, song song đặt cách nhau 10 cm trong không khí. Cho dòng điện chạy qua hai dây dẫn bằng nhau thì lực từ tác dụng lên mỗi đơn vị chiều dài của mỗi dây là 2.10-4 N. Cường độ dòng điện qua mỗi dây là
A. 10 A.
B. 20 A.
C. 5 A.
D. 1 A.
Đáp án: A
Bài 16: Dây dẫn thẳng dài có dòng I1 = 15A đi qua, đặt trong chân không. Tính lực từ tác dụng lên 1 m dây của dòng I2 = 10A đặt song song cách I1 đoạn 15 cm. Cho biết lực đó là lực hút hay lực đẩy. Biết rằng I1 và I2 ngược chiều nhau.
A. hút 2.10-4 (N)
B. đẩy 2.10-4 (N)
C. hút 2.10-6 (N)
D. đẩy 2.10-6 (N)
Đáp án: B
Bài 17: Ba dòng điện cùng chiều cùng cường độ 10A chạy qua ba dây dẫn thẳng đặt đồng phẳng và dài vô hạn. Biết rằng khoảng cách giữa dây 1 và 2 là 5cm cm dây 2 và 3 là 5cm và dây 1 và 3 là 10cm. Xác định lực từ do dây 1 và dây 2 tác dụng lên dây 3
A. 5,6.10-5 (N)
B. 2.10-5 (N)
C. 8.10-4 (N)
D. 4,2.10-4 (N)
Đáp án: C
Bài 18: Ba dòng điện cùng chiều cùng cường độ 10A chạy qua ba dây dẫn thẳng đặt đồng phẳng và dài vô hạn. Biết rằng khoảng cách giữa dây 1 và 2 là 10 cm dây 2 và 3 là 5cm và dây 1 và 3 là 15cm. Xác định lực từ do dây 1 và dây 3 tác dụng lên dây 2
A. 26,67.10-5 (N)
B. 42,16.10-5 (N)
C. 2.10-4 (N)
D. 5,33.10-4 (N)
Đáp án: C
Bài 19: Ba dây dẫn thẳng dài và song song cách đều nhau một khoảng a = 10 cm (hình vẽ). Cường độ dòng điện chạy trong 3 dây lần lượt là I1 = 25A, I2 = I3 = 10A. Xác định phương, chiều và độ lớn của lực từ tác dụng lên 1 m của dây I1.

A. F→ vuông góc với I2I3, hướng ra xa I2I3 và có độ lớn 5√3.10-4 (N)
B. F→ vuông góc với I2I3, hướng về I2I3 và có độ lớn 5√3.10-4 (N)
C. F→ song song với I2I3, hướng sang trái và có độ lớn 10-3 (N)
D. F→ song song với I2I3, hướng sang phải và có độ lớn 10-3 (N)
Đáp án: B
Bài 20: Ba dòng điện thẳng dài đặt song song với nhau đi qua ba đỉnh của một tam giác theo phương vuông góc với mặt phẳng như hình vẽ. Cho các dòng điện chạy qua có chiều như hình vẽ với các cường độ dòng điện I1 = 10 A, I2 = 20 A, I3 = 30A. Biết I1 cách I2 và I3 lần lượt là 8 cm và 6 cm. Lực tổng hợp tác dụng lên mối mét dây dẫn có dòng điện I1 là

A. 1,12.10-3 N.
B. 1,2.10-3 N.
C. 1,5.10-3 N.
D. 2.10-3 N.
Đáp án: B
Bài 21: Một khung dây dẫn hình chữ nhật ABCD có các cạnh AB = 10cm, BC = 20cm, đặt trong từ trường đều, mặt phẳng khung song song với các đường cảm ứng từ. Mômen lực từ tác dung lên khung bằng 0,02 N.m, biết dòng điện chạy qua khung bằng 2A. Độ lớn cảm ứng từ là:
A. 5T.
B. 0,5T.
C. 0,05T.
D. 0,2T.
Đáp án: A
Bài 22: Một khung dây hình tam giác có các cạnh lần lượt là 4 cm; 6 cm; 8 cm có dòng điện I = 2 A chạy qua. Đặt khung trong từ trường đều có độ lớn B = 0,8 T và hợp với mặt phẳng khung một góc 600, momen ngẫu lực tác dụng nên khung có giá trị là:
A. 6,956.10- 3 N.m.
B. 9,295.10- 4 N.m.
C. 8,049.10- 4 N.m.
D. 4,648.10- 4 N.m.
Đáp án: D
Bài 23: Một khung dây hình chữ nhật ABCD đặt trong từ đều có cảm ứng từ B = 0,2 T. Cạnh của khung có độ lớn lần lượt là 12 cm và 5 cm. Dòng điện trong khung dây có độ lớn I = 2,5 (A), mômen ngẫu lực từ tác dụng lên khung dây có giá trị là 3.10-3 Nm. Tính góc hợp bởi vectơ cảm ứng từ B và mặt phẳng của khung dây.
A. 300.
B. 600.
C. 900.
D. 00
Đáp án: D
Bài 24: Một khung dây dẫn hình chữ nhật diện tích 20cm2 đặt trong từ trường đều có cảm ứng từ B = 4.10-4T. Khi cho dòng điện 0,5A chạy qua khung thì mômen lực từ cực đại tác dụng lên khung là 0,4.10-4 N.m. Số vòng dây trong khung là
A. 10 vòng
B. 20 vòng
C. 200 vòng
D. 100 vòng
Đáp án: D
Bài 25: Một khung dây dẫn hình chữ nhật ABCD có cạnh AB =10cm, BC = 5cm, gồm 20 vòng dây nối tiếp nhau có thể quay quanh cạnh AB thẳng đứng, dòng điện 1A đi qua mỗi vòng dây và hệ thống đặt trong từ trường đều B = 0,5T sao cho véctơ pháp tuyến của khung hợp với véc tơ cảm ứng từ một góc 300. Mômen lực từ tác dựng lên khung có độ lớn:
A. 25.10-3 N.m
B. 2,5.10-3 N.m
C. 20.10-3 N.m
D. 5.10-3 N.m
Đáp án: A
Bài 26: Một khung dây dẫn tròn bán kính 5 cm gồm 75 vòng đặt trong từ trường đều có B = 0,25 T. Mặt phẳng khung làm với đường sức từ góc 600, mỗi vòng dây có dòng điện 8 A chạy qua. Tính mômen ngẫu lực tù tác dụng lên khung:
A. 0,24 N.m
B. 0,35 N.m
C. 0,59 N.m
D. 0,72 N.m
Đáp án: C
Bài 27: Một khung dây dẫn hình chữ nhật ABCD với AB = 30cm, BC = 20cm, được đặt trong một từ trường đều có phương vuông góc với mặt phẳng của khung dây và có cảm ứng là 0,1T. Cho dòng điện cường độ 5,0A chạy qua khung dây dẫn theo chiều A, B, C, D thì độ lớn lực từ tác dụng lên cạnh AB, BC, CD và DA lần lượt là và F1, F2, F3 và F4. Giá trị của (F1 + 2F2 + 3F3 + 4F4) là
A. 0,9N.
B. 1,8N.
C. 1,2N.
D. 4,2N.
Đáp án: C
Bài 28: Cho một khung dây cứng hình chữ nhật ABCD có AB = 15 cm; BC = 25 cm, có dòng điện I = 5 A chạy qua đặt trong một từ trường đều có các đường cảm ứng từ vuông góc với mặt phẳng chứa khung dây và hướng từ ngoài vào trong như hình vẽ. Biết B=0,02T. Độ lớn lực từ tác dụng lên cạnh AB, BC, CD và DA lần lượt là F1, F2, F3 và F4. Chọn phương án đúng:
A. Lực từ làm cho khung dây chuyển động.
B. F1 + F2 + F3 + F4 = 0
C. F1 + 2F2 + 2F3 + F4 = 0,12 N
D. Lực từ có xu hướng nén khung dây
Đáp án: C
Bài 29: Một dây dẫn được uốn gập thành một khung dây có dạng tam giác vuông tại A, AM = 8cm mang dòng điện I = 5A. Đặt khung dây vào trong từ trường đều B = 3.10-3T có véc tơ cảm ứng từ song song với cạnh AN hướng như hình vẽ. Giữ khung cố định, tính lực từ tác dụng lên cạnh AM của tam giác

A. 1,2.10-3N
B.1,5.10-3N
C. 2,1.10-3N
D.1,6.10-3N.
Đáp án: A
Bài 30: Một dây dẫn được uốn gập thành một khung dây có dạng tam giác vuông AMN nằm trong mặt phẳng hình vẽ, cạnh AM = 8 cm và cạnh AN = 6 cm. Đặt khung dây vào trong từ trường đều, cảm ứng từ có độ lớn 3.10-3 T, có phương song song với cạnh AN và chiều từ trái sang phải. Khi dòng điện chạy trong khung dây có cường độ 5 A thì độ lớn lực từ do từ trường đều tác dụng lên các cạnh AM, MN và NA lần lượt là F1, F2 và F3. Giá trị của (F1 + F2 + F3) là
A. 3 MN.
B. 5 mN.
C. 4 mN.
D. 2,4 mN.
Đáp án: A
(199k) Xem Khóa học Vật Lí 11 KNTTXem Khóa học Vật Lí 11 CDXem Khóa học Vật Lí 11 CTST
Xem thêm phương pháp giải các dạng bài tập Vật Lí lớp 11 hay, chi tiết khác:
- Bài tập về lực lo – ren – xơ và cách giải
- Bài tập xác định chiều dòng điện cảm ứng và cách giải
- Bài tập tính từ thông, suất điện động cảm ứng và cường độ đòng điện cảm ứng và cách giải
- Bài tập suất điện động cảm ứng trong một đoạn dây dẫn chuyển động và cách giải
- Bài tập về hiện tượng tự cảm và cách giải
Tủ sách VIETJACK shopee lớp 10-11 (cả 3 bộ sách):
Đã có app VietJack trên điện thoại, giải bài tập SGK, SBT Soạn văn, Văn mẫu, Thi online, Bài giảng....miễn phí. Tải ngay ứng dụng trên Android và iOS.
Theo dõi chúng tôi miễn phí trên mạng xã hội facebook và youtube:Nếu thấy hay, hãy động viên và chia sẻ nhé! Các bình luận không phù hợp với nội quy bình luận trang web sẽ bị cấm bình luận vĩnh viễn.
- Giải Tiếng Anh 11 Global Success
- Giải sgk Tiếng Anh 11 Smart World
- Giải sgk Tiếng Anh 11 Friends Global
- Lớp 11 - Kết nối tri thức
- Soạn văn 11 (hay nhất) - KNTT
- Soạn văn 11 (ngắn nhất) - KNTT
- Giải sgk Toán 11 - KNTT
- Giải sgk Vật Lí 11 - KNTT
- Giải sgk Hóa học 11 - KNTT
- Giải sgk Sinh học 11 - KNTT
- Giải sgk Lịch Sử 11 - KNTT
- Giải sgk Địa Lí 11 - KNTT
- Giải sgk Giáo dục KTPL 11 - KNTT
- Giải sgk Tin học 11 - KNTT
- Giải sgk Công nghệ 11 - KNTT
- Giải sgk Hoạt động trải nghiệm 11 - KNTT
- Giải sgk Giáo dục quốc phòng 11 - KNTT
- Giải sgk Âm nhạc 11 - KNTT
- Lớp 11 - Chân trời sáng tạo
- Soạn văn 11 (hay nhất) - CTST
- Soạn văn 11 (ngắn nhất) - CTST
- Giải sgk Toán 11 - CTST
- Giải sgk Vật Lí 11 - CTST
- Giải sgk Hóa học 11 - CTST
- Giải sgk Sinh học 11 - CTST
- Giải sgk Lịch Sử 11 - CTST
- Giải sgk Địa Lí 11 - CTST
- Giải sgk Giáo dục KTPL 11 - CTST
- Giải sgk Hoạt động trải nghiệm 11 - CTST
- Giải sgk Âm nhạc 11 - CTST
- Lớp 11 - Cánh diều
- Soạn văn 11 Cánh diều (hay nhất)
- Soạn văn 11 Cánh diều (ngắn nhất)
- Giải sgk Toán 11 - Cánh diều
- Giải sgk Vật Lí 11 - Cánh diều
- Giải sgk Hóa học 11 - Cánh diều
- Giải sgk Sinh học 11 - Cánh diều
- Giải sgk Lịch Sử 11 - Cánh diều
- Giải sgk Địa Lí 11 - Cánh diều
- Giải sgk Giáo dục KTPL 11 - Cánh diều
- Giải sgk Tin học 11 - Cánh diều
- Giải sgk Công nghệ 11 - Cánh diều
- Giải sgk Hoạt động trải nghiệm 11 - Cánh diều
- Giải sgk Giáo dục quốc phòng 11 - Cánh diều
- Giải sgk Âm nhạc 11 - Cánh diều


Giải bài tập SGK & SBT
Tài liệu giáo viên
Sách
Khóa học
Thi online
Hỏi đáp

