Cách tính điện trở của dây dẫn kim loại (hay, chi tiết)
Bài viết Cách tính điện trở của dây dẫn kim loại với phương pháp giải chi tiết giúp học sinh ôn tập, biết cách làm bài tập Cách tính điện trở của dây dẫn kim loại.
Cách tính điện trở của dây dẫn kim loại (hay, chi tiết)
(199k) Xem Khóa học Vật Lí 11 KNTTXem Khóa học Vật Lí 11 CDXem Khóa học Vật Lí 11 CTST
A. Phương pháp & Ví dụ
Điện trở của vật dẫn có thể được tính theo công thức:
Trong đó:
• ρ là điện trở suất (Ω.m)
• l là chiều dài vật dẫn (m)
• S là tiết diện thẳng của dây dẫn (m2)
Ví dụ 1: Một đường ray xe điện bằng thép có diện tích tiết diện bằng 56 cm2. Hỏi điện trở của đường ray dài 10 km bằng bao nhiêu ? cho biết điện trở suất của thép bằng 3.10-7 Ω.m
Hướng dẫn:
Ta có:
Ví dụ 2: Một dây dẫn có đường kính 1mm, chiều dài 2m và điện trở 50 mΩ. Hỏi điện trở suất của vật liệu?
Hướng dẫn:
Trước tiên ta tính diện tích tiết diện của dây dẫn:
Mà
Ví dụ 3: Đường kính của một dây sắt bằng bao nhiêu để nó có cùng điện trở như một dây đồng có đường kính 1,20 mm và cả hai dây có cùng chiều dài. Cho biết điện trở suất của đồng và sắt lần lượt là 9,68.10–8 Ω.m; 1,69.10–8 Ω.m.
Hướng dẫn:
Gọi d1 và d2 là đường kính của dây sắt và dây đồng.
Gọi S1 và S2 là diện tích tiết diện của dây sắt và dây đồng.
Điện trở của hai dây lần lượt là:
Hai dây có cùng điện trở và chiều dài nên:
Từ (1) và (2) ta có:
Ví dụ 4: Một biến trở con chạy có điện trở lớn nhất là 150Ω. Dây điện trở của biến trở là một hợp kim nicrom có tiết diện 0,11mm2 và được quấn đều xung quanh một lõi sứ tròn có đường kính 2,5cm. Biết điện trở suất của nicrom là 1,1.10-6Ωm
a) Tính số vòng dây của biến trở này.
b) Biết dòng điện lớn nhất mà dây có thể chịu được là 2A. Hỏi có thể đặt vào hai đầu dây này một hiệu điện thế lớn nhất là bao nhiêu để biến trở không bị hỏng.
Hướng dẫn:
a) Ta có:
Chiều dài của dây là:
+ Chiều dài một vòng quấn: C = 2πR = πd = 0,0785m
+ Số vòng quấn:
vòng
b) Điện trở lớn nhất của biến trở là R0 = 150Ω. Nên hiệu điện thế lớn nhất có thể đặt vào biến trở là: Umax = Imax.R0 = 2.150 = 300V
B. Bài tập
Bài 1. Một dây đồng dài l1 = 1m. Tìm chiều dài l2 của dây nhôm để hai dây đồng và nhôm có cùng khối lượng và điện trở. Đồng có điện trở suất ρ1 = 1,7.10-8 Ωm, khối lượng riêng D1 = 8,9.103 kg/m3, nhôm có điện trở suất ρ2 = 2,8.10-8 Ωm, khối lượng riêng D2 = 2,7.103 kg/m3.
Lời giải:
Ta có:
vì R1 = R2
Mà m1 = m2 ⇔ S1l1D1 = S2l2D2
Từ (1) và (2)
Bài 2. Một dây nhôm dạng hình trụ tròn được quấn thành cuộn có khối lượng 0,81 kg, tiết diện thẳng của dây là 0,1 mm2. Tìm điện trở của dây đó biết rằng nhôm có khối lượng riêng và điện trở suất lần lượt là 2,7 g/cm3 và 2,8.10-8 Ω.m.
Lời giải:
+ Thể tích của cuộn dây:
+ Chiều dài của dây nhôm:
+ Điện trở của dây cuộn dây nhôm:
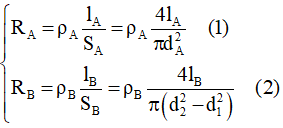
Bài 3. Hai vật được chế tạo cùng một vật liệu và có chiều dài bằng nhau. Vật dẫn A là một dây đặc có đường kính 1 mm. Vật dẫn B là một ống rỗng có đường kính ngoài 2 mm và đường kính trong 1 mm. Hỏi tỉ số điện trở RA / RB đo được giữa hai đầu của chúng là bao nhiêu?
Lời giải:
Điện trở của hai dây lần lượt là:
Hai dây dẫn cùng vật liệu và chiều dài nên:
Từ (1) và (2) ta có:
Bài 4. Để mắc đường dây tải điện từ địa điểm A đến địa điểm B ta cần 1000 kg dây đồng có điện trở suất 1,69.10-8 Ω.m . Muốn thay dây đồng bằng dây nhôm 2,82.10 – 8 Ω.m mà vẫn đảm bảo chất lượng truyền điện thì phải dùng bao nhiêu kg nhôm ? Cho biết khối lượng riêng của đồng là 8900 kg/m3 và của nhôm là 2700 kg/m3.
Lời giải:
Đường dây tải truyền từ A đến B nên có cùng chiều dài: l1 = l2 = 1
Khối lượng dây đồng cần để truyền từ A đến B: m1 = D1V1 = D1l1S1 (1)
Khối lượng dây nhôm cần để truyền từ A đến B: m2 = D2V2 = D2l2S2 (2)
Từ (1) và (2) ta có:
Điện trở của dây đồng:
Điện trở của dây nhôm:
Muốn thay dây đồng bằng dây nhôm mà vẫn đảm bảo chất lượng truyền điện thì điện trở trên đường dây truyền từ A đến B phải bằng nhau:
Thay (4) vào (3) ta được:
Thay số ta được:
(199k) Xem Khóa học Vật Lí 11 KNTTXem Khóa học Vật Lí 11 CDXem Khóa học Vật Lí 11 CTST
Xem thêm các dạng bài tập Vật Lí lớp 11 có trong đề thi THPT Quốc gia khác:
- Lý thuyết Dòng điện trong kim loại
- Trắc nghiệm Tính điện trở của dây dẫn kim loại
- Dạng 2: Sự phụ thuộc của điện trở vào nhiệt độ
- Trắc nghiệm Sự phụ thuộc của điện trở vào nhiệt độ
- Dạng 3: Hiện tượng nhiệt điện, Suất điện động nhiệt điện
- Trắc nghiệm Hiện tượng nhiệt điện, Suất điện động nhiệt điện
- 60 bài tập trắc nghiệm Dòng điện trong kim loại có đáp án (phần 1)
- 60 bài tập trắc nghiệm Dòng điện trong kim loại có đáp án (phần 2)
Tủ sách VIETJACK shopee lớp 10-11 (cả 3 bộ sách):
Đã có app VietJack trên điện thoại, giải bài tập SGK, SBT Soạn văn, Văn mẫu, Thi online, Bài giảng....miễn phí. Tải ngay ứng dụng trên Android và iOS.
Theo dõi chúng tôi miễn phí trên mạng xã hội facebook và youtube:Nếu thấy hay, hãy động viên và chia sẻ nhé! Các bình luận không phù hợp với nội quy bình luận trang web sẽ bị cấm bình luận vĩnh viễn.
- Giải Tiếng Anh 11 Global Success
- Giải sgk Tiếng Anh 11 Smart World
- Giải sgk Tiếng Anh 11 Friends Global
- Lớp 11 - Kết nối tri thức
- Soạn văn 11 (hay nhất) - KNTT
- Soạn văn 11 (ngắn nhất) - KNTT
- Giải sgk Toán 11 - KNTT
- Giải sgk Vật Lí 11 - KNTT
- Giải sgk Hóa học 11 - KNTT
- Giải sgk Sinh học 11 - KNTT
- Giải sgk Lịch Sử 11 - KNTT
- Giải sgk Địa Lí 11 - KNTT
- Giải sgk Giáo dục KTPL 11 - KNTT
- Giải sgk Tin học 11 - KNTT
- Giải sgk Công nghệ 11 - KNTT
- Giải sgk Hoạt động trải nghiệm 11 - KNTT
- Giải sgk Giáo dục quốc phòng 11 - KNTT
- Giải sgk Âm nhạc 11 - KNTT
- Lớp 11 - Chân trời sáng tạo
- Soạn văn 11 (hay nhất) - CTST
- Soạn văn 11 (ngắn nhất) - CTST
- Giải sgk Toán 11 - CTST
- Giải sgk Vật Lí 11 - CTST
- Giải sgk Hóa học 11 - CTST
- Giải sgk Sinh học 11 - CTST
- Giải sgk Lịch Sử 11 - CTST
- Giải sgk Địa Lí 11 - CTST
- Giải sgk Giáo dục KTPL 11 - CTST
- Giải sgk Hoạt động trải nghiệm 11 - CTST
- Giải sgk Âm nhạc 11 - CTST
- Lớp 11 - Cánh diều
- Soạn văn 11 Cánh diều (hay nhất)
- Soạn văn 11 Cánh diều (ngắn nhất)
- Giải sgk Toán 11 - Cánh diều
- Giải sgk Vật Lí 11 - Cánh diều
- Giải sgk Hóa học 11 - Cánh diều
- Giải sgk Sinh học 11 - Cánh diều
- Giải sgk Lịch Sử 11 - Cánh diều
- Giải sgk Địa Lí 11 - Cánh diều
- Giải sgk Giáo dục KTPL 11 - Cánh diều
- Giải sgk Tin học 11 - Cánh diều
- Giải sgk Công nghệ 11 - Cánh diều
- Giải sgk Hoạt động trải nghiệm 11 - Cánh diều
- Giải sgk Giáo dục quốc phòng 11 - Cánh diều
- Giải sgk Âm nhạc 11 - Cánh diều


Giải bài tập SGK & SBT
Tài liệu giáo viên
Sách
Khóa học
Thi online
Hỏi đáp

