Lý thuyết Công của lực điện, Hiệu điện thế (hay, chi tiết nhất)
Bài viết Lý thuyết Công của lực điện, Hiệu điện thế hay, chi tiết nhất giúp bạn nắm vững kiến thức trọng tâm về Công của lực điện, Hiệu điện thế.
Lý thuyết Công của lực điện, Hiệu điện thế
(199k) Xem Khóa học Vật Lí 11 KNTTXem Khóa học Vật Lí 11 CDXem Khóa học Vật Lí 11 CTST
Công của lực điện trong điện trường đều:
Công của lực điện tác dụng lên điện tích không phụ thuộc vào hình dạng đường đi của điện tích mà chỉ phụ thuộc vào điểm đầu và điểm cuối của đường đi trong điện trường, do đó người ta nói điện trường tĩnh là một trường thế:
AMN = qEd
với d = MNcosα là hình chiếu của độ dời lên một đường sức bất kì.
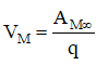
Điện thế: Điện thế tại một điểm trong điện trường là đại lượng đặc trưng riêng cho điện trường về phương diện tạo ra thế năng khi đặt tại đó một điện tích q. Nó được xác định bằng thương số giữa công của lực điện tác dụng lên điện tích q khi q di chuyển từ M ra xa vô cùng và độ lớn của q.
• Điện thế tại một điểm trong điện trường: .
• Điện thế tại điểm M gây bởi điện tích q: .
• Điện thế tại một điểm do nhiều điện tích gây ra: V = V1 + V2 + V3 + ...+ VM
Hiệu điện thế: Hiệu điện thế giữa hai điểm M, N trong điện trường đặc trưng cho khả năng sinh công của điện trường trong sự di chuyển của điện tích từ M đến N. Nó được xác định bằng thương số giữa công của lực điện tác dụng lên điện tích q trong sự dịch chuyển của q từ M đến N và độ lớn của q:
Thế năng tĩnh điện: Wt = qV
Liên hệ giữa cường độ điện trường và hiệu điện thế: UMN = Ed
Bài tập tự luyện
Bài 1: Công của lực điện không phụ thuộc vào
A. vị trí điểm đầu và điểm cuối đường đi.
B. cường độ của điện trường.
C. hình dạng của đường đi.
D. độ lớn điện tích bị dịch chuyển.
Bài 2: Thế năng của điện tích trong điện trường đặc trưng cho
A. khả năng tác dụng lực của điện trường.
B. phương chiều của cường độ điện trường.
C. khả năng sinh công của điện trường.
D. độ lớn nhỏ của vùng không gian có điện trường.
Bài 3: Nếu chiều dài đường đi của điện tích trong điện trường tăng 2 lần thì công của lực điện trường
A. chưa đủ dữ kiện để xác định.
B. tăng 2 lần.
C. giảm 2 lần.
D. không thay đổi.
Bài 4: Công của lực điện trường khác 0 trong khi điện tích
A. dịch chuyển giữa 2 điểm khác nhau cắt các đường sức.
B. dịch chuyển vuông góc với các đường sức trong điện trường đều.
C. dịch chuyển hết quỹ đạo là đường cong kín trong điện trường.
D. dịch chuyển hết một quỹ đạo tròn trong điện trường.
Bài 5: Khi điện tích dich chuyển dọc theo một đường sức trong một điện trường đều, nếu quãng đường dịch chuyển tăng 2 lần thì công của lực điện trường
A. tăng 4 lần.
B. tăng 2 lần.
C. không đổi.
D. giảm 2 lần.
Bài 6: Nếu điện tích dịch chuyển trong điện trường sao cho thế năng của nó tăng thì công của của lực điện trường
A. âm.
B. dương.
C. bằng không.
D. chưa đủ dữ kiện để xác định.
Bài 7: Công của lực điện trường dịch chuyển một điện tích 1μC dọc theo chiều một đường sức trong một điện trường đều 1000 V/m trên quãng đường dài 1 m là
A. 1000 J.
B. 1 J.
C. 1 mJ.
D. 1 μJ.
Bài 8: Công của lực điện trường dịch chuyển một điện tích - 2μC ngược chiều một đường sức trong một điện trường đều 1000 V/m trên quãng đường dài 1 m là
A. 2000 J.
B. – 2000 J.
C. 2 mJ.
D. – 2 mJ.
Bài 9: Cho điện tích dịch chuyển giữa 2 điểm cố định trong một điện trường đều với cường độ 150 V/m thì công của lực điện trường là 60 mJ. Nếu cường độ điện trường là 200 V/m thì công của lực điện trường dịch chuyển điện tích giữa hai điểm đó là
A. 80 J.
B. 40 J.
C. 40 mJ.
D. 80 mJ.
Bài 10: Cho điện tích q = + 10-8C dịch chuyển giữa 2 điểm cố định trong một điện trường đều thì công của lực điện trường là 60 mJ. Nếu một điện điện tích q’ = + 4.10-9C dịch chuyển giữa hai điểm đó thì công của lực điện trường khi đó là
A. 24 mJ.
B. 20 mJ.
C. 240 mJ.
D. 120 mJ.
(199k) Xem Khóa học Vật Lí 11 KNTTXem Khóa học Vật Lí 11 CDXem Khóa học Vật Lí 11 CTST
Xem thêm tóm tắt lý thuyết Vật Lí lớp 11 hay, chi tiết khác:
- Lý thuyết Công của lực điện, Hiệu điện thế
- Dạng 1: Tính công của lực điện trường, điện thế, hiệu điện thế giữa hai điểm
- Trắc nghiệm Tính công của lực điện trường, điện thế, hiệu điện thế giữa hai điểm
- Dạng 2: Quỹ đạo của electron trong điện trường
- Trắc nghiệm Quỹ đạo của electron trong điện trường
Tủ sách VIETJACK shopee lớp 10-11 (cả 3 bộ sách):
Đã có app VietJack trên điện thoại, giải bài tập SGK, SBT Soạn văn, Văn mẫu, Thi online, Bài giảng....miễn phí. Tải ngay ứng dụng trên Android và iOS.
Theo dõi chúng tôi miễn phí trên mạng xã hội facebook và youtube:Nếu thấy hay, hãy động viên và chia sẻ nhé! Các bình luận không phù hợp với nội quy bình luận trang web sẽ bị cấm bình luận vĩnh viễn.
- Giải Tiếng Anh 11 Global Success
- Giải sgk Tiếng Anh 11 Smart World
- Giải sgk Tiếng Anh 11 Friends Global
- Lớp 11 - Kết nối tri thức
- Soạn văn 11 (hay nhất) - KNTT
- Soạn văn 11 (ngắn nhất) - KNTT
- Giải sgk Toán 11 - KNTT
- Giải sgk Vật Lí 11 - KNTT
- Giải sgk Hóa học 11 - KNTT
- Giải sgk Sinh học 11 - KNTT
- Giải sgk Lịch Sử 11 - KNTT
- Giải sgk Địa Lí 11 - KNTT
- Giải sgk Giáo dục KTPL 11 - KNTT
- Giải sgk Tin học 11 - KNTT
- Giải sgk Công nghệ 11 - KNTT
- Giải sgk Hoạt động trải nghiệm 11 - KNTT
- Giải sgk Giáo dục quốc phòng 11 - KNTT
- Giải sgk Âm nhạc 11 - KNTT
- Lớp 11 - Chân trời sáng tạo
- Soạn văn 11 (hay nhất) - CTST
- Soạn văn 11 (ngắn nhất) - CTST
- Giải sgk Toán 11 - CTST
- Giải sgk Vật Lí 11 - CTST
- Giải sgk Hóa học 11 - CTST
- Giải sgk Sinh học 11 - CTST
- Giải sgk Lịch Sử 11 - CTST
- Giải sgk Địa Lí 11 - CTST
- Giải sgk Giáo dục KTPL 11 - CTST
- Giải sgk Hoạt động trải nghiệm 11 - CTST
- Giải sgk Âm nhạc 11 - CTST
- Lớp 11 - Cánh diều
- Soạn văn 11 Cánh diều (hay nhất)
- Soạn văn 11 Cánh diều (ngắn nhất)
- Giải sgk Toán 11 - Cánh diều
- Giải sgk Vật Lí 11 - Cánh diều
- Giải sgk Hóa học 11 - Cánh diều
- Giải sgk Sinh học 11 - Cánh diều
- Giải sgk Lịch Sử 11 - Cánh diều
- Giải sgk Địa Lí 11 - Cánh diều
- Giải sgk Giáo dục KTPL 11 - Cánh diều
- Giải sgk Tin học 11 - Cánh diều
- Giải sgk Công nghệ 11 - Cánh diều
- Giải sgk Hoạt động trải nghiệm 11 - Cánh diều
- Giải sgk Giáo dục quốc phòng 11 - Cánh diều
- Giải sgk Âm nhạc 11 - Cánh diều


Giải bài tập SGK & SBT
Tài liệu giáo viên
Sách
Khóa học
Thi online
Hỏi đáp

