Lý thuyết Điện tích. Định luật Cu-lông (hay, chi tiết nhất)
Bài viết Lý thuyết Điện tích. Định luật Cu-lông hay, chi tiết nhất giúp bạn nắm vững kiến thức trọng tâm về Điện tích. Định luật Cu-lông.
Lý thuyết Điện tích. Định luật Cu-lông
(199k) Xem Khóa học Vật Lí 11 KNTTXem Khóa học Vật Lí 11 CDXem Khóa học Vật Lí 11 CTST
Bài giảng: Bài 1: Điện tích. Định luật Culong - Cô Nguyễn Quyên (Giáo viên VietJack)
A. Tóm tắt lý thuyết
1. Sự nhiễm điện của các vật. Điện tích. Tương tác điện:
• Khi cọ xát những vật như thanh thủy tinh, thanh nhựa… vào dạ hoặc lụa.. thì những vật đó có thể hút những vật nhẹ như mẩu giấy, sợi bông… Ta nói rằng những vật đó đã bị nhiễm điện.
• Điện tích điểm là một vật tích điện có kích thước rất nhỏ so với khoảng cách tới điểm mà ta xét.
• Có 2 loại điện tích: điện tích dương (+) và điện tích âm (-).
• Các điện tích cùng loại (dấu) thì đẩy nhau.
• Các điện tích khác loại (dấu) thì hút nhau.
2. Định luật Cu-lông. Hằng số điện môi:
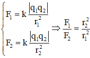
• Định luật Cu-lông: Lực hút hay đẩy giữa hai điện tích điểm đặt trong chân không có phương trùng với đường thẳng nối hai điện tích điểm đó, có độ lớn tỉ lệ thuận với tích độ lớn của hai điện tích và tỉ lệ nghịch với bình phương khoảng cách giữa chúng.
Trong đó:
F: lực tương tác (F)
k = 9.109: hệ số tỉ lệ (Nm2/C2)
q1, q2: điện tích của 2 điện tích (C)
r: khoảng cách giữa 2 điện tích (m)
• Điện môi là môi trường cách điện. Hằng số điện môi ε đặc trưng cho tính chất điện của một chất cách điện. Khi đặt điện tích trong điện môi, lực tương tác sẽ nhỏ đi ε so với đặt trong chân không.
3. Nguyên lý chồng chất lực điện:
Giả sử có n điện tích điểm q1, q2, ...,qn tác dụng lên điện tích điểm q những lực tương tác tĩnh điện F1→, F2→, ..., Fn→ thì lực điện tổng hợp do các điện tích điểm trên tác dụng lên điện tích q tuân theo nguyên lý chồng chất lực điện.
F→ = F1→ + F2→ + ... + Fn→
B. Kỹ năng giải bài tập
Dạng 1: Tính lực tương tác, điện tích hay khoảng cách giữa 2 điện tích.
Bước 1. Áp dụng định luật Cu-lông viết phương trình.
Bước 2. Giải phương trình
Bước 3. Kết luận.
Dạng 2: Tính lực tổng hợp tác dụng lên điện tích q
Bước 1. Xác định các lực tác dụng lên điện tích, biểu diễn chúng bằng các vecto có gốc là điện tích q.
Bước 2. Từ đó áp dụng nguyên lý chồng chất lực điện để tìm lực tổng hợp. Tính lực theo phương pháp hình học hoặc tổng hợp lực theo quy tắc hình bình hành.
Bước 3. Kết luận.
∗ Kiến thức liên quan
Quy tắc hình bình hành
F→ = F1→ + F2→
C. Bài tập trắc nghiệm
Câu 1: Có hai điện tích điểm q1 và q2, chúng đẩy nhau. Khẳng định nào sau đây là đúng?
A. q1 > 0 và q2 < 0. B. q1 < 0 và q2 > 0.
C. q1.q2 > 0. D. q1.q2 < 0.
Hướng dẫn:
Chọn C.
Hai điện tích đẩy nhau vậy chúng phải cùng dấu suy ra tích q1.q2 > 0.
Câu 2: Có bốn vật A, B, C, D kích thước nhỏ, nhiễm điện. Biết rằng vật A hút vật B nhưng lại đẩy C. Vật C hút vật D. Khẳng định nào sau đây là không đúng?
A. Điện tích của vật A và D trái dấu.
B. Điện tích của vật A và D cùng dấu.
C. Điện tích của vật B và D cùng dấu.
D. Điện tích của vật A và C cùng dấu.
Hướng dẫn:
Chọn câu B
Vật A hút vật B nhưng lại đẩy C ⇒ A và C cùng dấu, A và B trái dấu.
Vật C hút vật D ⇒ C và D trái dấu ⇒ A và C cùng dấu đồng thời trái dấu với B, D.
Câu 3: Độ lớn của lực tương tác giữa hai điện tích điểm trong không khí:
A. tỉ lệ với bình phương khoảng cách giữa hai điện tích.
B. tỉ lệ với khoảng cách giữa hai điện tích.
C. tỉ lệ nghịch với bình phương khoảng cách giữa hai điện tích.
D. tỉ lệ nghịch với khoảng cách giữa hai điện tích.
Hướng dẫn:
Lực tương tác giữa 2 điện tích điểm trong không khí là:
⇒ lực tương tác tỉ lệ nghịch với bình phương khoảng cách giữa 2 điện tích
Câu 4: Hai quả cầu nhẹ cùng khối lượng được treo gần nhau bằng hai dây cách điện có cùng chiều dài và hai quả cầu không chạm vào nhau. Tích cho hai quả cầu điện tích cùng dấu nhưng có độ lớn khác nhau thì góc lệch so với phương thẳng đứng của hai quả cầu có đặc điểm gì?
A. Quả cầu nào tích điện có độ lớn điện tích lớn hơn thì có góc lệch lớn hơn
B. Bằng nhau
C. Quả cầu nào tích điện có độ lớn điện tích lớn hơn thì có góc lệch nhỏ hơn
D. Quả cầu nào tích điện có độ lớn điện tích nhỏ hơn thì có góc lệch nhỏ hơn
Hướng dẫn:
Chọn B.
Góc lệch của mỗi quả cầu so với phương thẳng đứng được xác định bởi công thức .
Mà P1 = P2, F1 = F2 nên góc lệch của hai quả cầu bằng nhau.
Câu 5: Khoảng cách giữa một prôton và một êlectron là r = 5.10-9 (cm), coi rằng prôton và êlectron là các điện tích điểm. Lực tương tác giữa chúng là:
A. lực hút với F = 9,216.10-12 (N).
B. lực đẩy với F = 9,216.10-12 (N).
C. lực hút với F = 9,216.10-8 (N).
D. lực đẩy với F = 9,216.10-8 (N).
Hướng dẫn:
Áp dụng định luật Cu-lông:
với q1 = +1,6.10-19 (C), q2 = -1,6.10-19 (C) và r = 5.10-9 (cm) = 5.10-11 (m)
⇒ F = 9,216.10-8 (N).
Mà 2 điện tích trái dấu nên lực tương tác là lực hút.
Câu 6: Hai điện tích điểm bằng nhau đặt trong chân không cách nhau một khoảng r = 2 (cm). Lực đẩy giữa chúng là F = 1,6.10-4 (N). Độ lớn của hai điện tích đó là:
A. q1 = q2 = 2,67.10-9 (μC).
B. q1 = q2 = 2,67.10-7 (μC).
C. q1 = q2 = 2,67.10-9 (C).
D. q1 = q2 = 2,67.10-7 (C).
Hướng dẫn:
Áp dụng định luật Cu-lông:
với q1 = q2 = q, r = 2 (cm) = 2.10-2 (m) và F = 1,6.10-4 (N)
⇒
⇒ |q1| = |q2| = 2,67.10-9C
Câu 7: Hai điện tích điểm bằng nhau đặt trong chân không cách nhau một khoảng r1 = 2 (cm). Lực đẩy giữa chúng là F1 = 1,6.10-4 (N). Để lực tương tác giữa hai điện tích đó bằng F2 = 2,5.10-4 (N) thì khoảng cách giữa chúng là:
A. r2 = 1,6 (m). B. r2 = 1,6 (cm).
C. r2 = 1,28 (m). D. r2 = 1,28 (cm).
Hướng dẫn:
Áp dụng định luật Cu-lông:
Ta có:
với F1 = 1,6.10-4 (N), F2 = 2,5.10-4 (N) , r1 = 2(cm)
⇒ r2 = 1,6 (cm).
Câu 8: Hai điện tích q1 và q2 đặt cách nhau 20 cm trong không khí, chúng đẩy nhau một lực F = 1,8 N. Biết q1 + q2 = -6.10-6 C và |q1| > |q2| . Điện tích q1 và q2 là:
A. q1 = -4.10-6; q2 = -2.10-6
B. q1 = -2.10-6; q2 = -4.10-6
C. q1 = 4.10-6; q2 = 2.10-6
D. q1 = 2.10-6; q2 = 4.10-6
Hướng dẫn:
Chọn A.
Hai điện tích đẩy nhau nên chúng cùng dấu, mặt khác tổng hai điện tích này là số âm
⇒ hai điện tích đều âm.
Ta có:
+ Kết hợp với q1 + q2 = -6.10-6C, ta có hệ phương trình
Vì
Câu 9: Tại hai điểm A và B cách nhau 20 cm trong không khí, đặt hai điện tích q1 = -3.10-6C, q2 = 8.10-6C. Biết AC = 12 cm, BC = 16 cm. Lực điện do hai điện tích này tác dụng lên q3 = 2.10-6 đặt tại C là:
A. 6,66 N. B. 6,76 N.
C. 7,66N. D. 5,67N.
Hướng dẫn:
Chọn B.
+ Các điện tích q1 và q2 tác dụng lên điện tích q3 các lực F13→ và F23→ có phương chiều như hình vẽ và độ lớn
+ Áp dụng quy tắc hình bình hành ta có lực tổng hợp tác dụng lên q3 có phương chiều như hình vẽ, và độ lớn
Câu 10: Cho hai điện tích q1 = 4 μC, q2 = 9 μC đặt tại hai điểm A và B trong chân không, AB = 1 m. Đặt tại C một điện tích q0 thì điện tích này nằm cân bằng. Vị trí của điểm C là:
A. AC = 40cm; CB = 60cm
B. AC = 60cm; CB = 40cm
C. AC = 40cm; CB = 150cm
D. AC = 150cm; CB = 60cm
Hướng dẫn:
+ Giả sử q0 > 0. Để q0 nằm cân bằng thì hợp lực tác dụng lên q0 phải bằng 0, ta có:
+ Vì q1 và q2 cùng dấu nên C thuộc đường thẳng AB
⇒ AC + BC = AB
Ta có hệ phương trình:
(199k) Xem Khóa học Vật Lí 11 KNTTXem Khóa học Vật Lí 11 CDXem Khóa học Vật Lí 11 CTST
Xem thêm tóm tắt lý thuyết Vật Lí lớp 11 hay, chi tiết khác:
- Lý thuyết Thuyết Êlectron. Định luật bảo toàn điện tích
- Lý thuyết Điện trường và cường độ điện trường. Đường sức điện
- Lý thuyết Công của lực điện
- Lý thuyết Điện thế. Hiệu điện thế
Tủ sách VIETJACK shopee lớp 10-11 (cả 3 bộ sách):
Đã có app VietJack trên điện thoại, giải bài tập SGK, SBT Soạn văn, Văn mẫu, Thi online, Bài giảng....miễn phí. Tải ngay ứng dụng trên Android và iOS.
Theo dõi chúng tôi miễn phí trên mạng xã hội facebook và youtube:Nếu thấy hay, hãy động viên và chia sẻ nhé! Các bình luận không phù hợp với nội quy bình luận trang web sẽ bị cấm bình luận vĩnh viễn.
- Giải Tiếng Anh 11 Global Success
- Giải sgk Tiếng Anh 11 Smart World
- Giải sgk Tiếng Anh 11 Friends Global
- Lớp 11 - Kết nối tri thức
- Soạn văn 11 (hay nhất) - KNTT
- Soạn văn 11 (ngắn nhất) - KNTT
- Giải sgk Toán 11 - KNTT
- Giải sgk Vật Lí 11 - KNTT
- Giải sgk Hóa học 11 - KNTT
- Giải sgk Sinh học 11 - KNTT
- Giải sgk Lịch Sử 11 - KNTT
- Giải sgk Địa Lí 11 - KNTT
- Giải sgk Giáo dục KTPL 11 - KNTT
- Giải sgk Tin học 11 - KNTT
- Giải sgk Công nghệ 11 - KNTT
- Giải sgk Hoạt động trải nghiệm 11 - KNTT
- Giải sgk Giáo dục quốc phòng 11 - KNTT
- Giải sgk Âm nhạc 11 - KNTT
- Lớp 11 - Chân trời sáng tạo
- Soạn văn 11 (hay nhất) - CTST
- Soạn văn 11 (ngắn nhất) - CTST
- Giải sgk Toán 11 - CTST
- Giải sgk Vật Lí 11 - CTST
- Giải sgk Hóa học 11 - CTST
- Giải sgk Sinh học 11 - CTST
- Giải sgk Lịch Sử 11 - CTST
- Giải sgk Địa Lí 11 - CTST
- Giải sgk Giáo dục KTPL 11 - CTST
- Giải sgk Hoạt động trải nghiệm 11 - CTST
- Giải sgk Âm nhạc 11 - CTST
- Lớp 11 - Cánh diều
- Soạn văn 11 Cánh diều (hay nhất)
- Soạn văn 11 Cánh diều (ngắn nhất)
- Giải sgk Toán 11 - Cánh diều
- Giải sgk Vật Lí 11 - Cánh diều
- Giải sgk Hóa học 11 - Cánh diều
- Giải sgk Sinh học 11 - Cánh diều
- Giải sgk Lịch Sử 11 - Cánh diều
- Giải sgk Địa Lí 11 - Cánh diều
- Giải sgk Giáo dục KTPL 11 - Cánh diều
- Giải sgk Tin học 11 - Cánh diều
- Giải sgk Công nghệ 11 - Cánh diều
- Giải sgk Hoạt động trải nghiệm 11 - Cánh diều
- Giải sgk Giáo dục quốc phòng 11 - Cánh diều
- Giải sgk Âm nhạc 11 - Cánh diều


Giải bài tập SGK & SBT
Tài liệu giáo viên
Sách
Khóa học
Thi online
Hỏi đáp

